Effect of Al2O3 on the Formation of Calcium Ferrite in the Solid State
Abstract
1. Introduction
2. Experiments
2.1. Starting Sinter Mixture Preparation
2.2. In-Situ XRD
2.3. Quantitative Method of the Mineralogical Phase
3. Results and Discussion
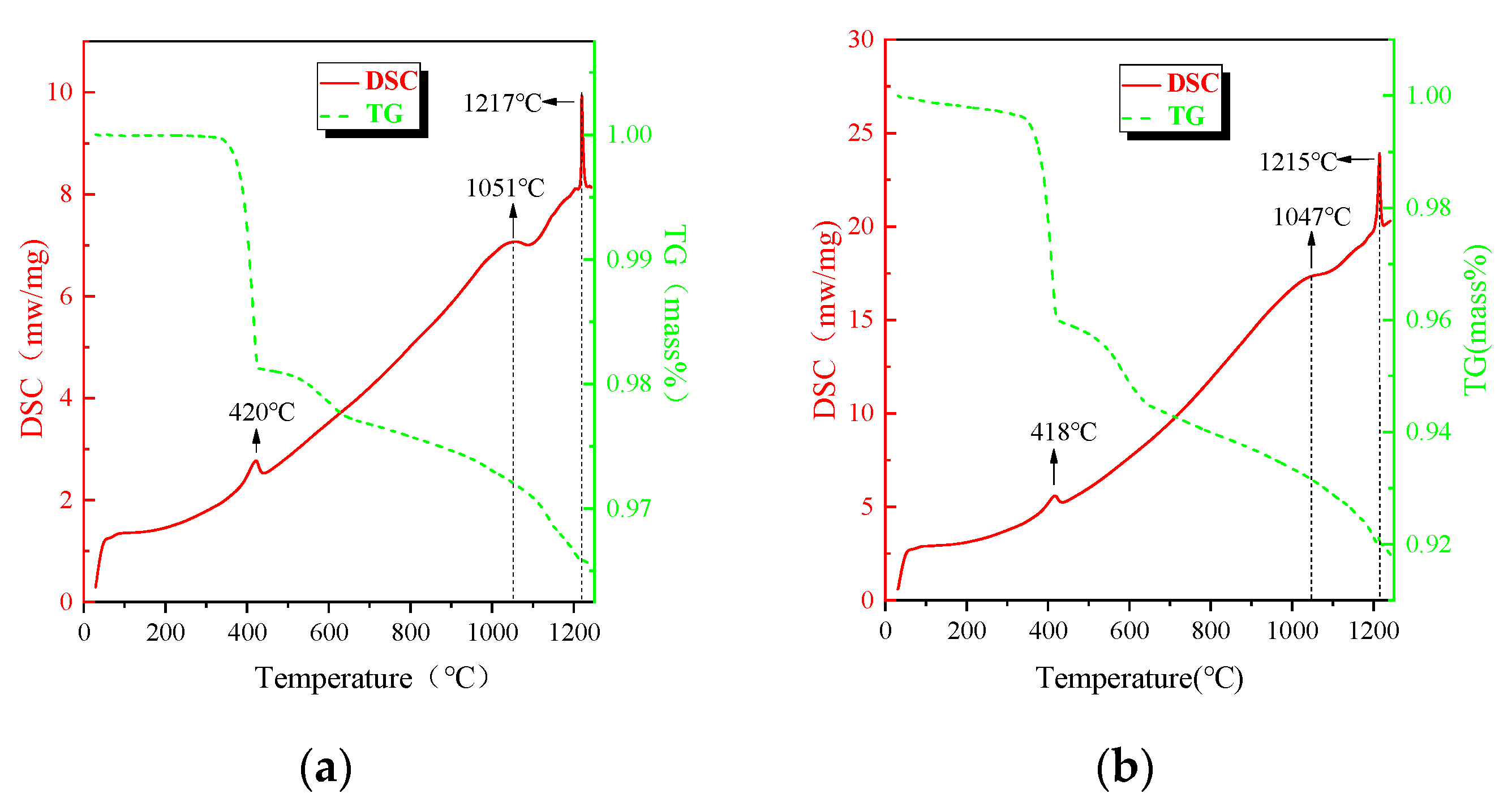
3.1. The TG-DSC Analysis of Sintering Mixture with Different Al2O3 Content
3.2. Phase Evolution
3.3. Effect of Al2O3 Content on Formation Rate of CF
4. Conclusions
- (1)
- Both Ca2Fe2O5 and CaFe2O4 were formed at different concentrations of Al2O3. The formation of Ca2Fe2O5 (C2F) occurred much earlier than CaFeO4(CF). The C2F and CF formed at approximately 600 °C and 700–800 °C, respectively. As Al2O3 increased, the melting temperature decreased.
- (2)
- Pt was used as an internal standard because the chemical properties of Pt at high temperatures are stable, allowing the application of the K-value method: XJ = , K = 0.112818.
- (3)
- The total amount of CF increased with an increase of Al2O3 concentration, and the Al2O3 content at the maximum value of CF was 1.4%. As the amount of Al2O3 increased from 1.4% to 2.8%, the total amount of CF reduced slightly. At greater than 2.8% Al2O3, the concentration of CF generated significantly decreased as Al2O3 increased.
- (4)
- The free energy of Gibbs decreased with increasing amounts of Al2O3 from the thermodynamic point of view. As the concentration of Al2O3 increased, there was increased formation of CF.
Author Contributions
Funding
Conflicts of Interest
References
- Zhang, Z.L.; Li, Q.; Zou, Z.S. Reduction properties of high alumina iron ore cold bonded pellet with CO–H2 mixtures. Ironmak. Steelmak. 2014, 41, 561–567. [Google Scholar] [CrossRef]
- Kumar, C.U.; Ramana, R.V.; Ali, S.; Das, A.K. Quality of sinter in the light of blast furnace performance. J. Technol. Adv. Tata Steel India 1995, 20–25. [Google Scholar]
- Hino, M.; Kumano, A.; Shimizuno, K.; Nagasaka, T. Simulation on the formation, dripping and penetration behavior of primary oxide melt in the pyrometallurgical process. Proceedings of Yazawa International Symposium on Metallurgical and Materials Processing: Principles and Technologies, San Diego, CA, Chile, 2–6 March 2003; pp. 861–880, ISBN 0-87339-546-8. WOS:000182493000071. [Google Scholar]
- Bristow, N.J.; Waters, A.G. Role of SFCA in promoting high-temperature reduction properties of iron ore sinters. Trans. Inst. Min. Metall., Sect. C 1991, 100, C1–C10. [Google Scholar]
- Shigaki, I.; Sawada, M.; Gennai, N. Increase in Low-temperature Reduction of Iron Ore Sinter due to Hematite-alumina Solid Solution and Columnar Calcium Ferite. Trans. Iron Steel Inst. Jpn. 1986, 26, 503–511. [Google Scholar] [CrossRef]
- Park, T.J.; Choi, J.S.; Min, D.J. In Situ Observation of Crystallization in CaO-Fe2O3 System with Different Cooling Rates and Chemical Compositions Using Confocal Laser Scanning Microscope. Metall. Mater. Trans. B 2018, 49, 2174–2181. [Google Scholar] [CrossRef]
- Pownceby, M.I.; Patrick, T.R.C. Stability of SFC (silico-ferrite of calcium) solid solution limits, thermal stability and selected phase relationships within the Fe2O3-CaO-SiO2 (FCS) system. Eur. J. Miner. 2000, 12, 455–468. [Google Scholar] [CrossRef]
- Patrick, T.R.C.; Pownceby, M.I. Stability of silico-ferrite of calcium and aluminum (SFCA) in air-solid solution limits between 1240 °C and 1390 °C and phase relationships within the Fe2O3-CaO-Al2O3-SiO2 (FCAS) system. Metall. Mater. Trans. B 2002, 33, 79–89. [Google Scholar] [CrossRef]
- Machida, S.; Nushiro, K.; Ichikawa, K.; Noda, H.; Sakai, H. Experimental evaluation of chemical composition and viscosity of melts during iron ore sintering. ISIJ Int. 2005, 45, 513–521. [Google Scholar] [CrossRef]
- Sukenaga, S.; Gonda, Y.; Yoshimura, S.; Saito, N.; Nakashima, K. Viscosity measurement of calcium ferrite based slags during structural relaxation process. ISIJ Int. 2010, 50, 195–199. [Google Scholar] [CrossRef]
- Scarlett, N.V.Y.; Pownceby, M.I.; Madsen, I.C.; Christensen, A.N. Reaction sequences in the formation of silico-ferrites of calcium and aluminum in iron ore sinter. Metall. Mater. Trans. B 2004, 35, 929–936. [Google Scholar] [CrossRef]
- Webster, N.A.S.; Pownceby, M.I.; Madsen, I.C.; Kimpton, J.A. Silico-ferrite of calcium and aluminum (SFCA) iron ore sinter bonding phases: new insights into their formation during heating and cooling. Metall. Mater. Trans. B 2012, 43, 1344–1357. [Google Scholar] [CrossRef]
- Kang, H.; Choi, S.; Yang, W.; Cho, B. Influence of oxygen supply in an iron ore sintering process. ISIJ Int. 2011, 51, 1065–1071. [Google Scholar] [CrossRef][Green Version]
- Ce, L.; Leung, W. Factors influencing the bonding phase structure of iron ore sinters. ISIJ Int. 2003, 43, 1393–1402. [Google Scholar] [CrossRef]
- Maeda, T.; Nishioka, K.; Nakashima, K.; Shimizu, M. Formation rate of calcium ferrite melt focusing on SiO2 and Al2O3 component. ISIJ Int. 2004, 44, 2046–2051. [Google Scholar] [CrossRef]
- Sinha, M. Effect of variation of alumina on the microhardness of iron ore sinter phases. ISIJ Int. 2009, 49, 719–721. [Google Scholar] [CrossRef]
- Lu, L.; Holmes, R.J.; Manuel, J.R. Effects of alumina on sintering performance of hematite iron ores. ISIJ Int. 2007, 47, 349–358. [Google Scholar] [CrossRef]
- Kasai, E.; Saito, F. Note differential thermal analysis of assimilation and melt-formation phenomena in the sintering process of iron ores. ISIJ Int. 1996, 36, 1109–1111. [Google Scholar] [CrossRef]
- Popović, S.; Gržeta-Plenković, B.; Balić-Žunić, T. The doping method in quantitative X-ray diffraction phase analysis. Adden. J. Appl. Crystallograph. 1983, 16, 505–507. [Google Scholar] [CrossRef]
- Yin, J.; Lv, X.; Xiang, S.; Bai, C.; Yu, B. Influence of CaO Source on the Formation Behavior of Calcium Ferrite in Solid State. ISIJ Int. 2013, 53, 1571–1579. [Google Scholar] [CrossRef]
- Dalun, Y. Handbook of Practical Inorganic Thermodynamic Data, 2nd ed.; Metallurgy Industry Press: Beijing, China, 2002; ISBN 7-5024-3055-5. [Google Scholar]
- Na, Y.; Chao, X.; Li, Wu. Z. Mineral phase composition of different Al content sinter and its influence on metallurgical properties (in Chinese). Multipurp. Utili. Miner. Res. 2018, 05, 143–146. [Google Scholar] [CrossRef]
- Ding, X.; Guo, X.M. The formation process of silico-ferrite of calcium (SFC) from binary calcium ferrite. Metall. Mater. Trans. B 2014, 45, 1221–1231. [Google Scholar] [CrossRef]
- Jibing, L.; Liaosha, L. Influence of Al2O3 on Sinter for Its Phase Compositions and Properties in Equilibrium (in Chinese). J. Anhui Univ. Technol. 2009, 26, 333–337. [Google Scholar] [CrossRef]
- Xingmin, G. Calcium Ferrite Formation and Its Mineralogy during Sintering (in Chinese); Metallurgical Industry Press: Beijing, China, 1999; ISBN 9787502423612. [Google Scholar]
- Price, C.; Wasse, D. In Developments in Ironmaking Practice; Iron and Steel Inst.: London, England, 1972; pp. 32–52. [Google Scholar]
- Matsuno, F.; Nishikida, S.; Ikesaki, H. Strength Deterioration of Samples of Iron Ore-5–10% CaO Systems during the Reduction at 550 °C in 30% CO-N2 Gas. Trans. Iron Steel Inst. Jpn. 1984, 24, 275–783. [Google Scholar] [CrossRef]














| Samples | Composition/g | wt(Fe2O3)/% | wt(Al2O3)/% | wt(CaO)/% | ||
|---|---|---|---|---|---|---|
| Fe2O3 | Al2O3 | Ca(OH)2 | ||||
| 1 | 0.5128 | 0 | 0.2372 | 68.37 | 0.00 | 31.63 |
| 2 | 0.5056 | 0.0105 | 0.2339 | 67.41 | 1.40 | 31.19 |
| 3 | 0.4985 | 0.0210 | 0.2305 | 66.47 | 2.80 | 30.73 |
| 4 | 0.4913 | 0.0315 | 0.2272 | 65.51 | 4.20 | 30.29 |
| 5 | 0.4841 | 0.0420 | 0.2239 | 64.55 | 5.60 | 29.85 |
| Chemical Composition/mass% | Sample 1 | Sample 2 | Sample 3 | Sample 4 | Sample 5 |
|---|---|---|---|---|---|
| CF | 70 | 60 | 50 | 40 | 30 |
| Fe2O3 | 10 | 20 | 30 | 40 | 50 |
| Pt | 20 | 20 | 20 | 20 | 20 |
© 2019 by the authors. Licensee MDPI, Basel, Switzerland. This article is an open access article distributed under the terms and conditions of the Creative Commons Attribution (CC BY) license (http://creativecommons.org/licenses/by/4.0/).
Share and Cite
Bai, K.; Shen, J.; Zhu, Z.; Zuo, H.; Pan, Y.; Wang, J.; Xue, Q. Effect of Al2O3 on the Formation of Calcium Ferrite in the Solid State. Metals 2019, 9, 681. https://doi.org/10.3390/met9060681
Bai K, Shen J, Zhu Z, Zuo H, Pan Y, Wang J, Xue Q. Effect of Al2O3 on the Formation of Calcium Ferrite in the Solid State. Metals. 2019; 9(6):681. https://doi.org/10.3390/met9060681
Chicago/Turabian StyleBai, Kaikai, Jiangwei Shen, Zhenglu Zhu, Haibin Zuo, Yuzhu Pan, Jingsong Wang, and Qingguo Xue. 2019. "Effect of Al2O3 on the Formation of Calcium Ferrite in the Solid State" Metals 9, no. 6: 681. https://doi.org/10.3390/met9060681
APA StyleBai, K., Shen, J., Zhu, Z., Zuo, H., Pan, Y., Wang, J., & Xue, Q. (2019). Effect of Al2O3 on the Formation of Calcium Ferrite in the Solid State. Metals, 9(6), 681. https://doi.org/10.3390/met9060681

