Evaluation of the Installation Effect on the Performance of a Granular Column
Abstract
:1. Introduction
2. Methodology
- As the secant stiffness for primary loading is minor-principal-stress-dependent in hardening soil model, the can be calculated as:where is the constitutive parameter at reference pressure and states the postinstallation stiffness at current minor principal stress which is defined as the minimum value of and after installation. In the same way, and are calculated. However, according to the HS model, the is dependent upon the major principal stress that reads the maximum value of and .
- The stiffness at the reference pressure that corresponds to post-installation stiffness can be obtained according to the initial geostatic stresses or and the stiffness calculated in the previous calculation step according to the HS model Equation (2):In the same way, and are calculated to be adopted in the second model.
2.1. Numerical Models
2.2. Mesh and Boundary Conditions
2.3. Modeling of Granular Column Installation
- The initial vertical stresses in the unimproved subsoil were determined by the soil unit weight and depth z (), whilst the horizontal stresses were defined as , where [20].
- This phase dealt with the creation of a cylindrical hole with an initial radius of that was filled with the dummy material (pure elastic material with low stiffness) to avoid discontinuity during the following radial expansion process [10]. In reality, the cavity expands from zero to its final radius in case of vibroflotation column installation. In contrast, according to [5], it is necessary to start from a radius of to have a finite circumferential strain in the numerical simulation.
- Applying the prescribed displacement from the initial radius to the final one along the entire column length, the main problem in modeling cavity expansion in an FEM framework is the amount of radial strain imposed in the model to mimic field conditions and, more critically, whether this expansion violates the FE theoretical assumptions [21]. Therefore, different displacement values were used (i.e., = 0.05, 0.1, 0.15 m), along with different initial radius values ( = 0.3, 0.25, and 0.20 m). The column radius () used was 0.35 m. Various expansion degrees have been investigated in order to determine the optimal degree of expansion cavity to obtain the necessary performance. In this research, the final column diameter was set at ( = + 2 = 0.7 m). Therefore, to satisfy three different degrees of applied expansion, the starting column diameter was (0.40, 0.5, and 0.6 m), representing the poker’s diameter.
- The dummy material inside the expanded column was substituted with the granular fill material in this phase to realistically simulate the interaction between the soil and granular column.
- The consolidation stage was the final phase in this analysis which allowed for dissipation of the pore pressure induced during the installation process. At the end of this calculation phase, the final postinstallation stiffness and stress fields were achieved. Figure 5 shows the detailed geometry for each step.
3. Description of the Case Study
3.1. Klagenfurt Project
3.2. Field Measurement
4. Results
4.1. Installation Stage (2D Model)
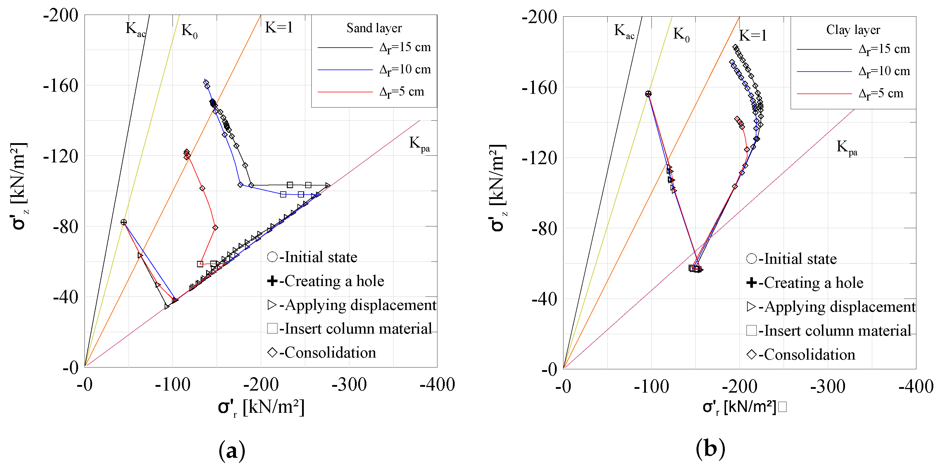
- Zone 1: Near the column, where and () significantly vary due to column installation. In contrast, there is a little improvement in , and this is only in a small zone near the column.
- Zone 2: The essential characteristic in this zone, the improvement in continues to decrease while shows a slight increase. The mean effective stress is practically unchanged. At the end of this zone, both and take values close to their initial values.
- Zone 3: All of the stresses are almost identical to their original values.
4.2. Construction Stage (3D Model)
5. Conclusions
- The results of the studies reveal that the lateral earth pressure coefficient, , rises considerably upon the installation of the column, with average values ranging from 1.30 to 2.05 for the clay and sand layers, respectively, under different expansion degrees.
- The improvement zone around the installed granular columns extends to a maximum distance of approximately 6 to 10 times the column diameter (), where the lateral pressure coefficients for the clay and sand layers are favourably influenced.
- In addition, the results show that the final radial earth pressure coefficient values are in the range between and .
- The study reveals that the granular column installation process increases the surrounding soil’s stiffness ( and ), where the improvement value is larger than 1.2 times the original stiffness value for all cases.
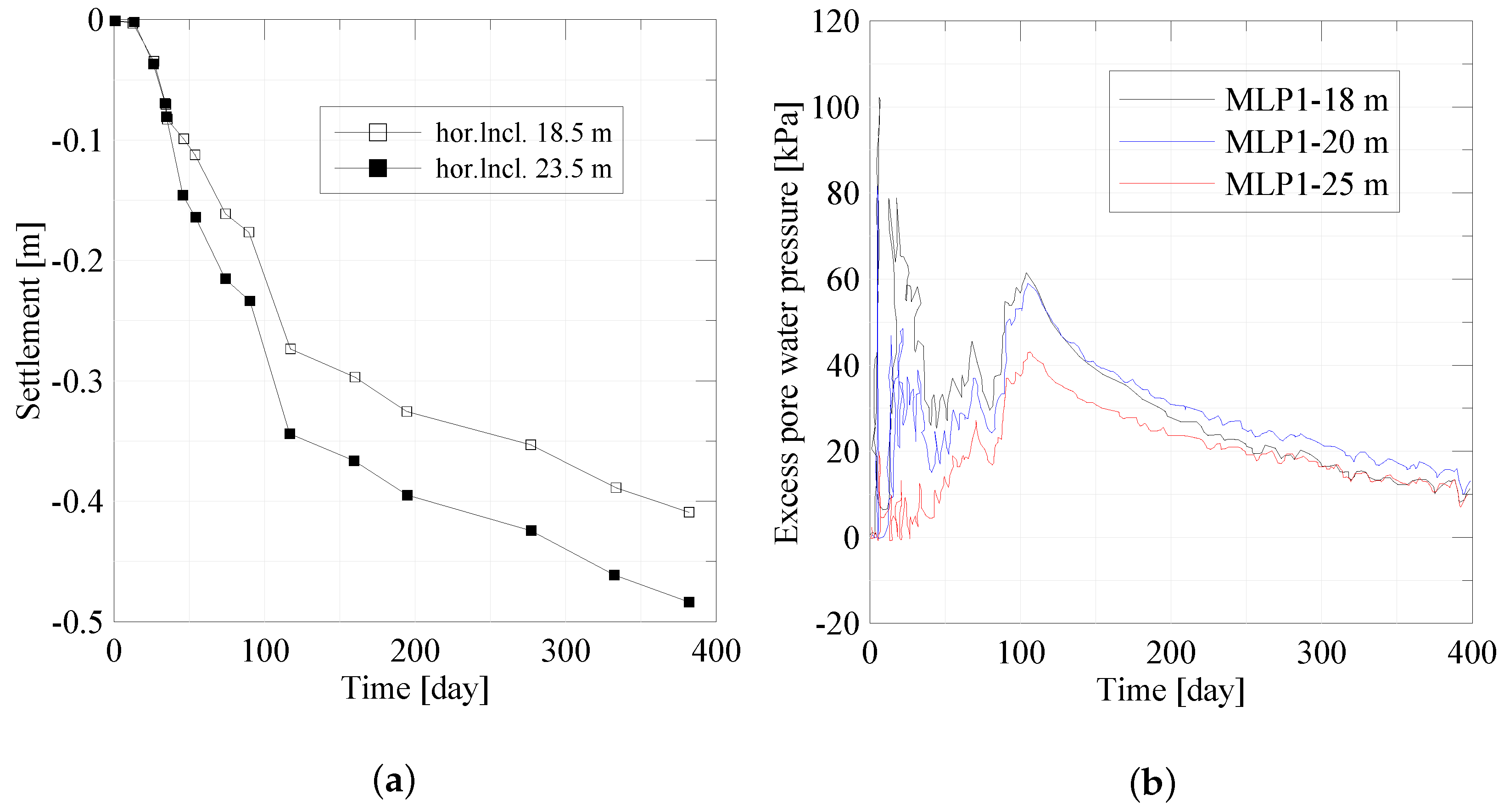
- The 3D model estimation showed reasonable compliance with field measurements for both settlement and excess pore pressure.
- The expansion degrees of 10 cm and 15 cm provide similar results to the field measurements in terms of settlement.
Author Contributions
Funding
Data Availability Statement
Conflicts of Interest
References
- Elshazly, H.; Hafez, D.; Mossaad, M. Back-calculating vibro-installation stresses in stone-column-reinforced soils. Proc. Inst. Civil Eng.-Ground Improv. 2006, 10, 47–53. [Google Scholar] [CrossRef]
- Kirsch, F. Vibro stone column installation and its effect on ground improvement. In Proceedings of the International Conference on Numerical Modelling of Construction Processes in Geotechnical Engineering for Urban Environment, Bochum, Germany, 23–24 March 2006; pp. 115–124. [Google Scholar]
- Gäb, M.; Schweiger, H.; Thurner, R.; Adam, D. Field trial to investigate the performance of a floating stone column foundation. In Proceedings of the 16th European Conference on Soil Mechanics and Geotechnical Engineering “Geotechnical Engineering for Infrastructure and Development”, Edinburgh, UK, 13–17 September 2015; Millpress: Bethlehem, PA, USA, 2007; pp. 1311–1316. [Google Scholar]
- Castro, J.; Sagaseta, C. Pore pressure during stone column installation. Proc. Inst. Civ. Eng.-Ground Improv. 2012, 165, 97–109. [Google Scholar] [CrossRef]
- Castro, J.; Karstunen, M. Numerical simulations of stone column installation. Can. Geotech. J. 2010, 47, 1127–1138. [Google Scholar] [CrossRef]
- Priebe, H. Design of vibro replacement. Ground Eng. 1995, 72, 183–191. [Google Scholar]
- Pitt, J.M.; Gaul, A.; Hoevelkamp, K.; White, D.J. Highway Applications for Rammed Aggregate Piers in Iowa Soils; Technical report, Iowa; Department of Transportation, Bureau of Research and Technology: Iowa, IA, USA, 2003. [Google Scholar]
- Goughnour, R. Settlement of Vertically Loaded Stone Columns in Soft Ground. 1983. Available online: https://eurekamag.com/research/020/004/020004475.php (accessed on 28 April 2022).
- Bishop, R.F.; Hill, R.; Mott, N.F. The theory of indentation and hardness tests. Proc. Phys. Soc. 1945, 57, 147–159. [Google Scholar] [CrossRef]
- Guetif, Z.; Bouassida, M.; Debats, J.M. Improved soft clay characteristics due to stone column installation. Comput. Geotech. 2007, 34, 104–111. [Google Scholar] [CrossRef]
- Sexton, B.; McCabe, B. A method of modelling stone column installation for use in conjunction with unit cell analyses. In Proceedings of the International Conference on Installation Effects in Geotechnical Engineering, Rotterdam, The Netherlands, 24–27 March 2013; p. 50. [Google Scholar]
- Al Ammari, K.; Clarke, B.G. Effect of vibro stone-column installation on the performance of reinforced soil. J. Geotech. Geoenviron. Eng. 2018, 144, 04018056. [Google Scholar] [CrossRef]
- Shien, N.K. Cavity expansion approach in modelling stone column installation effect. Int. J. Adv. Eng. Sci. Technol. 2013, 2, 252–260. [Google Scholar]
- Al Ammari, K.; Clarke, B. Predicting the effect of vibro stone column installation on performance of reinforced foundations. Int. J. Civ. Environ. Struct. Constr. Archit. Eng. World Acad. Sci. Eng. Technol. 2016, 10, 111–117. [Google Scholar]
- Biarez, J.; Gambin, M.; Gomes-Correia, A.; Flavigny, E.; Branque, D. Using pressuremeter to obtain parameters to elastic-plastic models for sands. In Proceedings of the Geotechnical Site Characterization, Atlanta, GA, USA, 9–22 April 1998; pp. 747–752. [Google Scholar]
- Gäb, M.; Schweiger, H.F.; Kamrat-Pietraszewska, D.; Karstunen, M. Numerical analysis of a floating stone column foundation using different constitutive models. In Proceedings of the 2nd International Workshop on Geotechnics of Soft Soils, Glasgow, UK, 3–5 September 2008; pp. 137–142. [Google Scholar]
- Castro, J.; Karstunen, M.; Sivasithamparam, N. Influence of stone column installation on settlement reduction. Comput. Geotech. 2014, 59, 87–97. [Google Scholar] [CrossRef] [Green Version]
- Sexton, B.G.; McCabe, B.A. Modeling stone column installation in an elasto-viscoplastic soil. Int. J. Geotech. Eng. 2015, 9, 500–512. [Google Scholar] [CrossRef]
- Schanz, T. Formulation and verification of the Hardening-Soil Model. In RBJ Brinkgreve, Beyond 2000 in Computational Geotechnics; CRC Press: Boca Raton, FL, USA, 1999; pp. 281–290. [Google Scholar]
- Jaky, J. The coefficient of earth pressure at rest. J. Soc. Hung. Archit. Eng. 1944, 78, 355–358. [Google Scholar]
- Egan, D.; Scott, W.; McCabe, B. Installation effects of vibro replacement stone columns in soft clay. In Proceedings of the Proceedings of the 2nd International Workshop on the Geotechnics of Soft Soils, Glasgow, UK, 3–5 September 2008; pp. 23–30. [Google Scholar]
- Adam, D.; Schweiger, H.; Markiewicz, R.; Knabe, T. Euro 2008 Stadium Klagenfurt-Prediction, Monitoring and Back Calculation of Settlement Behaviour. In From Research to Design in European Practice; Slovak University of Technology: Bratislava, Slovakia, 2010; pp. 217–230. [Google Scholar]
- Watts, K.S.; Johnson, D.; Wood, L.A.; Saadi, A. An instrumented trial of vibro ground treatment supporting strip foundations in a variable fill. Géotechnique 2000, 50, 699–708. [Google Scholar] [CrossRef]
- Schweiger, H.; Pande, G. Numerical analysis of stone column supported foundations. Comput. Geotech. 1986, 2, 347–372. [Google Scholar] [CrossRef]














| Symbol | Stone Columns | Clayey Silts | Sand Loose | Embankment |
|---|---|---|---|---|
| [kN/m] | 20/23 | 16/19 | 18/21 | 22/22 |
| [kN/m] | 70,000 | 7500 | 16,000 | 35,000 |
| [kN/m] | 70,000 | 5000 | 16,000 | 35,000 |
| [kN/m] | 225,000 | 30,000 | 80,000 | 105,000 |
| m [-] | 0.3 | 1.0 | 0.55 | 0.5 |
| [kN/m] | 100 | 100 | 100 | 100 |
| [ ] | 35 | 22.5 | 27.5 | 35 |
| [-] | 0.2 | 0.2 | 0.2 | 0.2 |
| [kN/m] | 0.1 | 10 | 0.1 | 10 |
| [ ] | 5 | 0 | 2 | 0 |
| Phase No. | Phase | Time Total |
|---|---|---|
| 1 | Granular columns (Part 1) | 2 days |
| 2 | No progress of construction | 8 days |
| 3 | Granular columns (Part 2) | 31 days |
| 4 | No progress of construction | 36 days |
| 5 | Embankment height 1 m | 43 days |
| 5 | Embankment height 2.5 m | 51 days |
| 5 | Embankment height 4.5 m | 65 days |
| 6 | No progress of construction | 80 days |
| 7 | Embankment height 6.5 m | 87 days |
| 7 | Embankment height 8.5 m | 99 days |
| 7 | Embankment height 10.5 m | 105 days |
| 8 | Last measurement | 379 days |
Publisher’s Note: MDPI stays neutral with regard to jurisdictional claims in published maps and institutional affiliations. |
© 2022 by the authors. Licensee MDPI, Basel, Switzerland. This article is an open access article distributed under the terms and conditions of the Creative Commons Attribution (CC BY) license (https://creativecommons.org/licenses/by/4.0/).
Share and Cite
Ghrairi, F.; Alimardani Lavasan, A.; Wichtmann, T. Evaluation of the Installation Effect on the Performance of a Granular Column. Geosciences 2022, 12, 216. https://doi.org/10.3390/geosciences12050216
Ghrairi F, Alimardani Lavasan A, Wichtmann T. Evaluation of the Installation Effect on the Performance of a Granular Column. Geosciences. 2022; 12(5):216. https://doi.org/10.3390/geosciences12050216
Chicago/Turabian StyleGhrairi, Firas, Arash Alimardani Lavasan, and Torsten Wichtmann. 2022. "Evaluation of the Installation Effect on the Performance of a Granular Column" Geosciences 12, no. 5: 216. https://doi.org/10.3390/geosciences12050216
APA StyleGhrairi, F., Alimardani Lavasan, A., & Wichtmann, T. (2022). Evaluation of the Installation Effect on the Performance of a Granular Column. Geosciences, 12(5), 216. https://doi.org/10.3390/geosciences12050216

