A Sustainable Option to Reuse Scaly Clays as Geomaterial for Earthworks
Abstract
1. Introduction
2. Materials and Methods
3. Results
3.1. Modification of the Soil Plasticity and Definition of the Minimum Lime Content
3.2. Modification of the Compaction Characteristics
3.3. Swelling Behaviour in 1D Condition
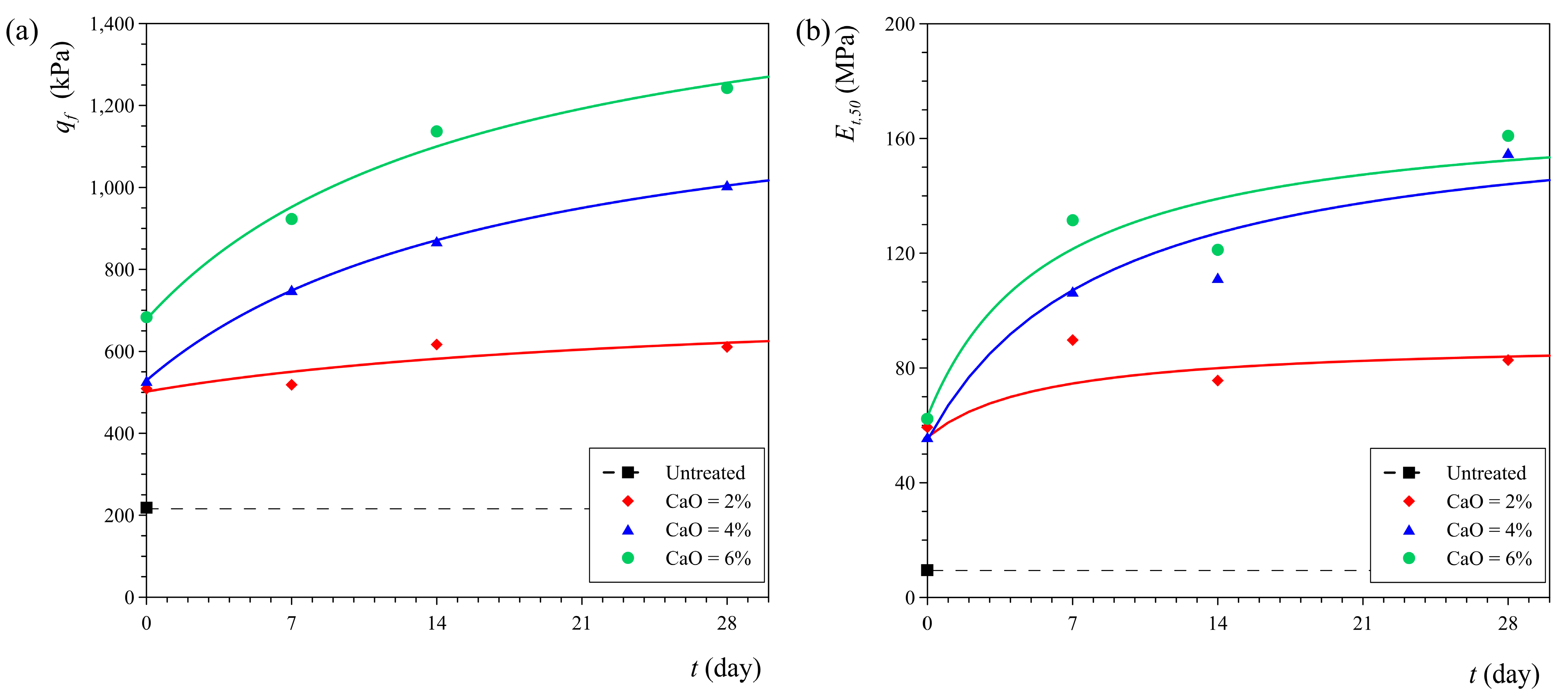
3.4. Unconfined Compression Tests
3.5. Triaxial Compression Tests
3.5.1. Unconsolidated–Undrained Triaxial Test
3.5.2. Resilient Modulus Tests
4. Discussion
5. Conclusions
Author Contributions
Funding
Data Availability Statement
Conflicts of Interest
References
- AGI, Associazione Geotecnica Italiana. Geotechnical properties and slope stability in structurally complex clay soils. Geotech. Eng. Italy 1985, 2, 189–225. [Google Scholar]
- Fearon, R.; Coop, M.R. The influence of landsliding on the behaviour of a structurally complex clay. Q. J. Eng. Geol. Hydrogeol. 2002, 35, 25–32. [Google Scholar] [CrossRef]
- Hight, D.W.; Gasparre, A.; Nishimura, S.; Minh, N.A.; Jardine, R.J.; Coop, M.R. Characteristics of the London Clay from the terminal 5 site at Heathrow airport. Géotechnique 2007, 57, 3–18. [Google Scholar] [CrossRef]
- Laurich, B.; Urai, J.L.; Nussbaum, C. Microstructures and deformation mechanisms in Opalinus Clay: Insights from scaly clay from the Main Fault in the Mont Terri Rock Laboratory (CH). Solid Earth 2017, 8, 27–44. [Google Scholar] [CrossRef]
- D’Onofrio, A.; Picarelli, L.; Santo, A.; Urciuoli, G. The Red Flysch Formation in Southern Apennines: Lithological and Structural Features and Challenges in Geotechnical Characterization and Modelling. Rock Mech. Rock Eng. 2023, 56, 8375–8393. [Google Scholar] [CrossRef]
- Airò Farulla, C.; Cafiso, F.; Calvi, F.; Rosone, M. Safeguarding historic towns on hilltops threatened by land sliding: The case of San Fratello in Sicily. Ital. Geotech. J. 2015, 49, 7–28. [Google Scholar]
- Cotecchia, F.; Vitone, C.; Santaloia, F.; Pedone, G.; Bottiglieri, O. Slope instability processes in intensely fissured clays: Case histories in the Southern Apennines. Landslides 2015, 12, 877–893. [Google Scholar] [CrossRef]
- Nardelli, V.; Coop, M.R.; Vitone, C.; Chen, S. The inter-scale behaviour of two natural scaly clays. Géotechnique Lett. 2016, 6, 205–210. [Google Scholar] [CrossRef]
- Rosone, M.; Airò Farulla, C.; Ferrari, A. Shear strength of a compacted scaly clay in variable saturation conditions. Acta Geotech. 2016, 11, 37–50. [Google Scholar] [CrossRef]
- Rosone, M.; Ferrari, A. Role of Stress History on the Swelling-Shrinkage Behavior of Compacted Scaly Clay. Int. J. Geomech. 2022, 22, 04022135. [Google Scholar] [CrossRef]
- Correia, A.G.; Winter, M.G.; Puppala, A.J. A review of sustainable approaches in transport infrastructure geotechnics. Transp. Geotech. 2016, 7, 21–28. [Google Scholar] [CrossRef]
- Locat, J.; Berube, M.A.; Choquette, M. Laboratory investigations on the lime stabilization of sensitive clays: Shear strength development. Can Geotech. J. 1990, 27, 294–304. [Google Scholar] [CrossRef]
- Boardman, D.I.; Glendinning, S.; Rogers, C.D.F. Development of stabilisation and solidification in lime-clay mixes. Geotechnique 2001, 51, 533–543. [Google Scholar] [CrossRef]
- Consoli, N.C.; Prietto, P.D.M.; Lopes, L.S.; Winter, D. Control factors for the long-term compressive strength of lime treated sandy clay soil. Transp. Geotech. 2014, 1, 129–136. [Google Scholar] [CrossRef]
- Poncelet, N.; François, B. Effect of laboratory compaction mode, density and suction on the tensile strength of a lime-treated silty soil. Transp. Geotech. 2022, 34, 100763. [Google Scholar] [CrossRef]
- Abdi, M.R.; Wild, S. Sulphate expansion of lime-stabilized kaolinite: I. Physical characteristics. Clay Miner. 1993, 28, 555–567. [Google Scholar] [CrossRef]
- Zhao, H.; Liu, J.; Guo, J.; Zhao, C.; Gong, B. Reexamination of lime stabilization mechanisms of expansive clay. J. Mater. Civ. Eng. 2015, 27, 04014108. [Google Scholar] [CrossRef]
- Metelková, Z.; Boháč, J.; Přikryl, R.; Sedlářová, I. Maturation of loess treated with variable lime admixture: Pore space textural evolution and related phase changes. Appl. Clay Sci. 2012, 61, 37–43. [Google Scholar] [CrossRef]
- Pomakhina, E.; Deneele, D.; Gaillot, A.C.; Paris, M.; Ouvrard, G. Si solid state NMR investigation of pozzolanic reaction occurring in lime-treated Ca-bentonite. Cem. Concr. Res. 2012, 42, 626–632. [Google Scholar] [CrossRef]
- Al-Mukhtar, M.; Khattab, S.; Alcover, J.F. Microstructure and geotechnical properties of lime-treated expansive clayey soil. Eng. Geol. 2012, 139–140, 17–27. [Google Scholar] [CrossRef]
- Chakraborty, S.; Nair, S. Impact of different hydrated cementitious phases on moisture-induced damage in lime-stabilized subgrade soils. Road Mater. Pavement Des. 2018, 19, 1389–1405. [Google Scholar] [CrossRef]
- Vitale, E.; Deneele, D.; Russo, G. Effects of carbonation on chemo-mechanical behaviour of lime-treated soils. Bull. Eng. Geol. Environ. 2021, 80, 2687–2700. [Google Scholar] [CrossRef]
- Kleib, J.; Lesueur, D.; Maherzi, W.; Benzerzour, M. Carbonation of a lime treated soil subjected to different curing conditions. Transp. Geotech. 2024, 44, 101174. [Google Scholar] [CrossRef]
- Bell, F.G. Lime stabilization of clay minerals and soils. Eng. Geol. 1996, 42, 223–237. [Google Scholar] [CrossRef]
- Puppala, A.J.; Mohammad, L.; Allen, A. Engineering behavior of lime-treated Louisiana subgrade soil. Transp. Res. Rec. 1996, 1546, 24–31. [Google Scholar] [CrossRef]
- Rosone, M.; Celauro, C.; Ferrari, A. Microstructure and shear strength evolution of a lime-treated clay for use in road construction. Int. J. Pavement Eng. 2020, 21, 1147–1158. [Google Scholar] [CrossRef]
- Khemissa, M.; Mahamedi, A.; Mekki, L. Laboratory investigation of the treatment effects by hydraulic binders on the physical and mechanical properties of an overconsolidated expansive clay. Int. J. Geotech. Eng. 2017, 13, 594–607. [Google Scholar] [CrossRef]
- Maubec, N.; Deneele, D.; Ouvrardb, G. Influence of the clay type on the strength evolution of lime treated material. Appl. Clay Sci. 2017, 135, 107–114. [Google Scholar] [CrossRef]
- Belal, T.; Ghembaza, M.S.; Bellia, Z. An investigation of the effects of cementation and temperature on the water retention curve of compacted silt. Int. J. Geotech. Eng. 2019, 16, 33–43. [Google Scholar] [CrossRef]
- Rosone, M.; Megna, B.; Celauro, C. Analysis of the chemical and microstructural modifications effects on the hydro-mechanical behaviour of a lime-treated clay. Int. J. Geotech. Eng. 2021, 15, 447–460. [Google Scholar] [CrossRef]
- Padmaraj, D.; Arnepalli, D.N. Mechanism of Carbonation in Lime-Stabilized Silty Clay from Chemical and Microstructure Perspectives. Int. J. Geosynth. Ground Eng. 2021, 7, 74. [Google Scholar] [CrossRef]
- Rosone, M.; Airò Farulla, C.; Ferrari, A.; Torta, C.; Celauro, C. Suction controlled drying and wetting cycle effects on the volumetric behaviour of a lime-treated high plasticity clay. E3S Web Conf. 2016, 9, 14020. [Google Scholar] [CrossRef]
- Di Sante, M.; Bernardo, D.; Bellezza, I.; Fratalocchi, E.; Mazzieri, F. Linking small-strain stiffness to development of chemical reactions in lime-treated soils. Transp. Geotech. 2022, 34, 100742. [Google Scholar] [CrossRef]
- Rosone, M.; Moscato, F.; Celauro, C.; Ziccarelli, M. Evaluation of the In-Situ Behaviour of a Lime-Treated Clay in a Real-Scale Experimental Embankment. In Geotechnical Engineering in the Digital and Technological Innovation Era. CNRIG 2023; Ferrari, A., Rosone, M., Ziccarelli, M., Gottardi, G., Eds.; Springer Series in Geomechanics and Geoengineering; Springer: Cham, Switzerland, 2023. [Google Scholar]
- EN 14227-11: 2006; Hydraulically Bound Mixtures Specifications, Part 11: Soil Treated by Lime. Comité Européen de Normalisation (CEN): Brussels, Belgium, 2006.
- Airò Farulla, C.; Celauro, B.; Celauro, C.; Rosone, M. Field test of lime treatment of clayey soils for railways and road works. Railway Eng. 2014, 69, 729–752. [Google Scholar]
- EN 459-1: 2015; Building Lime-Part 1: Definitions, Specifications, and Conformity Criteria. Comité Européen de Normalisation (CEN): Brussels, Belgium, 2015.
- C977:2003; Standard Specification for Quicklime and Hydrated Lime for Soil Stabilization. American Society for Testing Materials (ASTM): West Conshohocken, PA, USA, 2003.
- C911:2006; Standard Specification for Quicklime, Hydrated Lime, and Limestone for Chemical Uses and Industrial Uses. American Society for Testing Materials (ASTM): West Conshohocken, PA, USA, 2006.
- Bhuvaneshwari, S.; Robinson, R.; Gandhi, S. Behaviour of Lime Treated Cured Expansive Soil Composites. Indian Geotech. J. 2014, 44, 278–293. [Google Scholar] [CrossRef]
- AASHTO T307-99; Standard Method of Test for Determining the Resilient Modulus of Soils and Aggregate Materials. American Association of State Highway and Transportation Officials: Washington, DC, USA, 2003.
- Barman, D.; Dash, S.K. Stabilization of expansive soils using chemical additives: A review. J. Rock Mech. Geotech. Eng. 2022, 14, 1319–1342. [Google Scholar] [CrossRef]
- Eades, J.; Grim, R. A quick test to determine lime requirements of lime stabilization. Highway Res. Rec. 1996, 139, 61–72. [Google Scholar]
- D6276:19999; Standard Test Method for Using pH to Estimate the Soil-Lime Proportion Requirement for Soil Stabilization. American Society for Testing Materials (ASTM): West Conshohocken, PA, USA, 2021.
- D1883: 2021; Standard Test Method for California Bearing Ratio (CBR) of Laboratory-Compacted Soils. American Society for Testing Materials (ASTM): West Conshohocken, PA, USA, 2021.
- American Association of State Highway and Transportation Officials (AASTHO). M-E PDG, Mechanistic-Empirical Pavement Design Guide: A Manual of Practice, 3rd ed.; AASTHO: Washington, DC, USA, 2020. [Google Scholar]
- Consiglio Nazionale delle Ricerche (CNR). Catalogo Delle Pavimentazioni Stradali; B.U. n. 178; CNR: Roma, Italy, 1995. (In Italian)











| Natural Soil–Scaly Clay | |
|
|
| Lime (CaO) | |
|
|
| Lime–Soil Mixtures | |
| |
| wn (%) | e0 (−) | Sr,0 (−) | wh (%) | ws (%) | wp (%) | wl (%) | Gs (−) | fc (%) | fs (%) | CaCO3 (%) |
|---|---|---|---|---|---|---|---|---|---|---|
| 20 | 0.65 | 0.85 | 4.5 | 11 | 24 | 60 | 2.76 | 55 | 41 | 12 |
| CaO (%) | MgO (%) | t60 (min) | p2 (%) | p0.2 (%) | p0.09 (%) | p0.075 (%) |
|---|---|---|---|---|---|---|
| 94.5 | 1.3 | 4 | 100 | 99 | 86.2 | 81.3 |
Disclaimer/Publisher’s Note: The statements, opinions and data contained in all publications are solely those of the individual author(s) and contributor(s) and not of MDPI and/or the editor(s). MDPI and/or the editor(s) disclaim responsibility for any injury to people or property resulting from any ideas, methods, instructions or products referred to in the content. |
© 2024 by the authors. Licensee MDPI, Basel, Switzerland. This article is an open access article distributed under the terms and conditions of the Creative Commons Attribution (CC BY) license (https://creativecommons.org/licenses/by/4.0/).
Share and Cite
Rosone, M.; Celauro, C. A Sustainable Option to Reuse Scaly Clays as Geomaterial for Earthworks. Geosciences 2024, 14, 17. https://doi.org/10.3390/geosciences14010017
Rosone M, Celauro C. A Sustainable Option to Reuse Scaly Clays as Geomaterial for Earthworks. Geosciences. 2024; 14(1):17. https://doi.org/10.3390/geosciences14010017
Chicago/Turabian StyleRosone, Marco, and Clara Celauro. 2024. "A Sustainable Option to Reuse Scaly Clays as Geomaterial for Earthworks" Geosciences 14, no. 1: 17. https://doi.org/10.3390/geosciences14010017
APA StyleRosone, M., & Celauro, C. (2024). A Sustainable Option to Reuse Scaly Clays as Geomaterial for Earthworks. Geosciences, 14(1), 17. https://doi.org/10.3390/geosciences14010017
