Acoustic and Microstructural Properties of Partially Molten Samples in the Ice–Ammonia System
Abstract
1. Introduction
2. Materials and Methods
2.1. Sample Preparation
2.2. Ultrasonic Testing
2.3. Microstructural Characterization
2.4. Calculation of Melt Fraction
3. Results
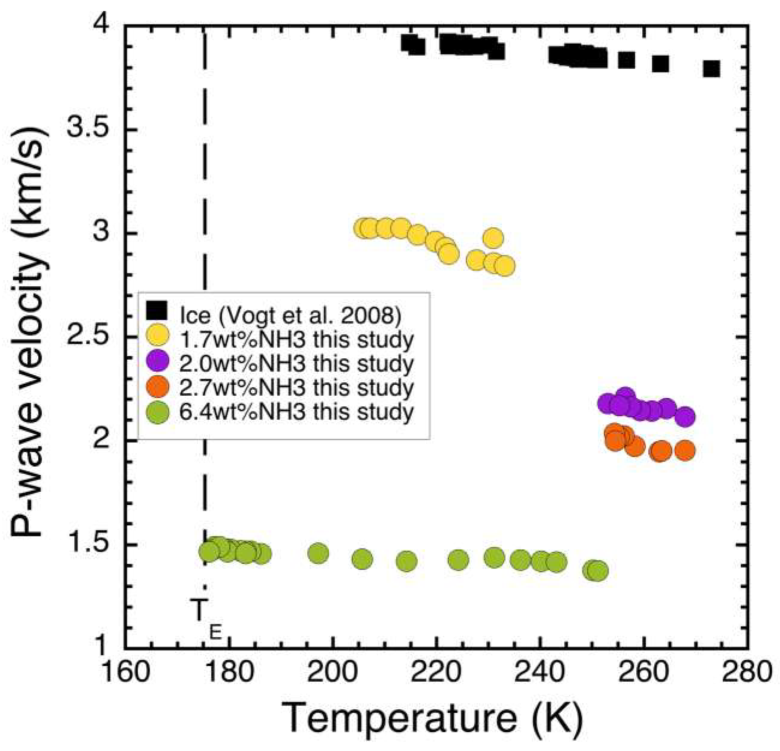
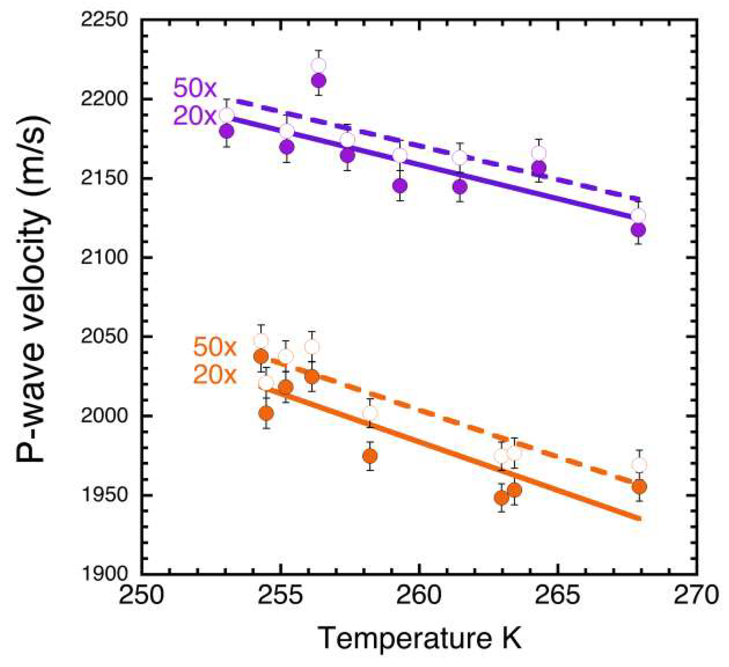
3.1. Ultrasonic Measurements
3.2. Microstructural Characteristics
4. Discussion
4.1. Effect of Partial Melt on Microstructure
4.2. Effect of Partial Melt on P-Wave Velocities
Normalization with Eutectic Temperatures
4.3. Applications to Icy Satellites
5. Conclusions
Author Contributions
Funding
Acknowledgments
Conflicts of Interest
Appendix A. Refractive Index

References
- Squyres, S.W.; Reynolds, R.T.; Cassen, P.M.; Peale, S.J. The Evolution of Enceladus. Icarus 1983, 53, 319–331. [Google Scholar] [CrossRef]
- Kargel, J.S. Ammonia-Water Volcanism on Icy Satellites: Phase Relations at 1 Atmosphere. Icarus 1992, 100, 556–574. [Google Scholar] [CrossRef]
- Kargel, J.S.; Pozio, S. The Volcanic and Tectonic History of Enceladus. Icarus 1996, 119, 385–404. [Google Scholar] [CrossRef]
- Emery, J.P.; Burr, D.M.; Cruikshank, D.P.; R. Brown, H.; Dalton, J.B. Near-Infrared (0.8–4.0 m) Spectroscopy of Mimas, Enceladus, Tethys, and Rhea. Astron. Astrophys. 2005, 435, 353–362. [Google Scholar] [CrossRef]
- Waite, J.H., Jr.; Lewis, W.S.; Magee, B.A.; Lunine, J.I.; McKinnon, W.B.; Glein, C.R.; Mousis, O.; Young, D.T.; Brockwell, T.; Westlake, J.; et al. Liquid water on Enceladus from observations of ammonia and 40Ar in the plume. Nature 2009, 460, 487–490. [Google Scholar] [CrossRef]
- Fortes, A.D.; Grindrod, P.M.; Trickett, S.K.; Vocadlo, L. Ammonium Sulfate on Titan: Possible Origin and Role in Cryovolcanism. Icarus 2007, 188, 139–153. [Google Scholar] [CrossRef]
- Hogenboom, D.L.; Kargel, J.S.; Consalmagno, G.J.; Holden, T.C.; Lee, L.; Buyounouski, M. The Ammonia-Water System and the Chemical Differentiation of Icy Satellites. Icarus 1997, 128, 171–180. [Google Scholar] [CrossRef]
- Brown, M.E.; Calvin, W.M. Evidence for Crystalline Water and Ammonia Ices on Pluto’s Satellite Charon. Science 2000, 287, 107–109. [Google Scholar] [CrossRef]
- Cruikshank, D.P.; Grundy, W.M.; DeMeo, F.E.; Buie, M.W.; Binzel, R.P.; Jennings, D.E.; Olkin, C.B.; Parker, J.W.; Reuter, D.C.; Spencer, J.R.; et al. The Surface Compositions of Pluto and Charon. Icarus 2015, 246, 82–92. [Google Scholar] [CrossRef]
- Bauer, J.M.; Roush, T.L.; Geballe, T.R.; Meech, K.J.; Owen, T.C.; Vacca, W.; Jim, K.T.; Rayner, J.T.; Jim, K.T.C. The Near Infrared Spectrum of Miranda: Evidence of Crystalline Water Ice. Icarus 2002, 158, 178–190. [Google Scholar] [CrossRef]
- Moore, M.H.; Ferrante, R.F.; Hudson, R.L.; Stone, J.N. Ammonia-Water Ice Laboratory Studies Relevant to Outer Solar System Surfaces. Icarus 2007, 190, 260–273. [Google Scholar] [CrossRef]
- Croft, S.K.; Lunine, J.I.; Kargel, J. Equation of State of Ammonia-Water Liquid: Derivation and Planetological Applications. Icarus 1988, 73, 279–293. [Google Scholar] [CrossRef]
- Jankowski, D.G.; Squyres, S.W. Solid-state ice volcanism on the satellites of Uranus. Science 1988, 241, 1322–1325. [Google Scholar] [CrossRef] [PubMed]
- Kargel, J.S.; Croft, S.K.; Lunnie, J.I.; Lewis, J.S. Rheological Properties of Ammonia-Water Liquids and Crystal-Liquid Slurries: Planetological Applications. Icarus 1991, 89, 93–112. [Google Scholar] [CrossRef]
- McCarthy, C.; Cooper, R.F.; Kirby, S.H.; Rieck, S.H.; Stern, L.A. Solidification and microstructures of binary ice I/hydrate eutectic aggregates. Am. Mineral. 2007, 92, 1550–1560. [Google Scholar] [CrossRef]
- Smith, C.; Grains, S. Phases and Interfaces—An Interpretation of Microstructure. Trans. Metall. Soc. AIME 1948, 175, 15–51. [Google Scholar]
- Bulau, J.R.; Waff, H.S. Mechanical and Thermodynamic Constraints on Fluid Distribution in Partial Melts. J. Geophys. Res. 1979, 84, 6102–6108. [Google Scholar] [CrossRef]
- Nye, J.F.; Frank, F.C. Hydrology of the Intergranular Veins in a Temperate Glacier. Assoc. Sci. Hydrol. Publ. 1973, 95, 157–161. [Google Scholar]
- Von Bargen, N.; Waff, H.S. Permeabilities, Interfacial Areas and Curvatures of Partially Molten Systems: Results of Numerical Computations of Equilibrium Microstructures. J. Geophys. Res. 1986, 91, 9261–9276. [Google Scholar] [CrossRef]
- Kawakatsu, H.; Kumar, P.; Takei, Y.; Shinohara, M.; Kanazawa, T.; Araki, E.; Suyehiro, K. Seismic Evidence for Sharp Lithosphere-Asthenosphere Boundaries of Oceanic Plates. Science 2009, 324, 499–502. [Google Scholar] [CrossRef]
- Rychert, C.A.; Shearer, P.M. A Global View of the Lithosphere-Asthenosphere Boundary. Science 2009, 324, 495–498. [Google Scholar] [CrossRef] [PubMed]
- Vidale, J.E.; Hedlin, M.A.H. Evidence for Partial Melt at the Core-Mantle Boundary North of Tonga from the Strong Scattering of Seismic Waves. Nature 1998, 391, 682–684. [Google Scholar] [CrossRef]
- Loper, D.E.; Fearn, D.R. A Seismic Model of a Partially Molten Inner Core. J. Geophys. Res. 1983, 88, 1235–1242. [Google Scholar] [CrossRef]
- Huguet, L.; Alboussiere, T.; Bergman, M.I.; Deguen, R.; Labrosse, S.; Lesoeur, G. Structure of a Mushy Layer under Hypergravity with Implications for Earth’s Inner Core. Geophys. J. Int. 2016, 204, 1729–1755. [Google Scholar] [CrossRef]
- Chantel, J.; Manthilake, G.; Andrault, D.; Novella, D.; Yu, T.; Wang, Y. Experimental evidence supports mantle partial melting in the asthenosphere. Sci. Adv. 2016, 2, e1600246. [Google Scholar] [CrossRef]
- Weidner, D.J.; Li, L.; Whitaker, M.L.; Triplett, R. Ultrasonic Acoustic Velocities during Partial Melting of a Mantle Peridotites KLB-1. J. Geophys. Res. Solid Earth 2018, 123, 1252–1261. [Google Scholar]
- Faul, U.H.; Jackson, I. Diffusion Creep of Dry, Melt-Free Olivine. J. Geophys. Res. 2007, 112, B04204. [Google Scholar] [CrossRef]
- Pharr, G.M.; Ashby, M.F. On Creep Enhanced by a Liquid Phase. Acta Metall. 1983, 31, 129–138. [Google Scholar] [CrossRef]
- McCarthy, C.; Takei, Y. Anelasticity and Viscosity of Partially Molten Rock Analogue: Toward Seismic Detection of Small Quantities of Melt. Geophys. Res. Lett. 2011, 38, L18306. [Google Scholar] [CrossRef]
- Duval, P. The Role of Water Content on the Creep of Polycrystalline Ice. IAHS-AISH 1977, 118, 29–33. [Google Scholar]
- Durham, W.B.; Kirby, S.H.; Stern, L.A. Flow of Ices in the Ammonia-Water System. J. Geophys. Res. 1993, 98, 17667–17682. [Google Scholar] [CrossRef]
- Arakawa, M.; Maeno, N. Effective viscosity of Partially Melted Ice in the Ammonia-Water System. Geophys. Res. Lett. 1994, 21, 1515–1518. [Google Scholar] [CrossRef]
- De La Chapelle, S.; Duval, P.; Baudelet, B. Compressive Creep of Polycrystalline Ice Containing a Liquid Phase. Scr. Met. Mater. 1995, 33, 447–450. [Google Scholar] [CrossRef]
- Hammonds, K.; Baker, I. The Effects of H2SO4 on the Mechanical Behavior and Microstructural Evolution of Polycrystalline Ice. J. Geophys. Res. Earth Surf. 2018, 123, 535–556. [Google Scholar] [CrossRef]
- Ghanbarzadeh, S.; Prodanovic, M.; Hesse, M.A. Percolation and Grain Boundary Wetting in Anisotropic Texturally Equilibrated Pore Networks. Phys. Rev. Lett. 2014, 113, 1–5. [Google Scholar] [CrossRef] [PubMed]
- Ghanbarzadeh, S.; Hesse, M.A.; Prodanovic, M. Percolative Core Formation in Planetesimals Enabled by Hysteresis in Metal Connectivity. Proc. Natl. Acad. Sci. USA 2017, 114, 13406–13411. [Google Scholar] [CrossRef] [PubMed]
- Jurewicz, S.R.; Jurewicz, A.J.G. Distribution of Apparent Angles on Random Sections With Emphasis on Dihedral Angle Measurements. J. Geophys. Res. 1986, 91, 9277–9282. [Google Scholar] [CrossRef]
- Takei, Y. Acoustic properties of partially molten media studied on a simple binary system with a controllable dihedral angle. J. Geophys. Res. 2000, 105, 16665–16682. [Google Scholar] [CrossRef]
- Waff, H.S.; Bulau, J.R. Equilibrium Fluid Distribution in an Ultramafic Partial Melt under Hydrostatic Conditions. J. Geophys. Res. 1979, 84, 6109–6114. [Google Scholar] [CrossRef]
- Zhu, W.; Gaetani, G.A.; Fusseis, F.; Montesi, L.G.J.; De Carlo, F. Microtomography of Partially Molten Rocks: Three-Dimensional Melt Distribution in Mantle Peridotite. Science 2011, 332, 88–91. [Google Scholar] [CrossRef]
- Skemer, P.; Chaney, M.M.; Emmerich, A.L.; Miller, K.J.; Zhu, W. Network Topology of Olivine-Basalt Partial Melts. Geophys. J. Int. 2017, 210, 284–290. [Google Scholar] [CrossRef]
- Vaughan, P.J.; Kohlstedt, D.L. Distribution of the glass phase in hot-pressed, olivine-basalt aggregates: An electron microscopy study. Contrib. Miner. Petrol. 1982, 81, 253–261. [Google Scholar] [CrossRef]
- Cooper, R.F.; Kohlstedt, D.L. Interfacial energies in the olivine-basalt system. In Advances in Earth and Planetary Sciences, Vol. 12: High Pressure Research in Geophysics; Akimoto, S., Manghnani, M.H., Eds.; Center for Academic Publications: Tokyo, Japan, 1982; pp. 217–228. [Google Scholar]
- Takafuji, N.; Hirose, K.; Ono, S.; Xu, F.; Mitome, M.; Bando, Y. Segregation of Core Melts by Permeable Flow in the Lower Mantle. Earth Planet. Sci. Lett. 2004, 224, 249–257. [Google Scholar] [CrossRef]
- Terasaki, H.; Frost, D.J.; Rubie, D.C.; Langenhorst, F. The effect of oxygen and sulphur on the dihedral angle between Fe-O-S melt and silicate minerals at high pressure: Implications for Martian core formation. Earth Planet. Sci. Lett. 2005, 232, 379–392. [Google Scholar] [CrossRef]
- Ketcham, W.M.; Hobbs, P.V. An experimental determination of surface energies of ice. Philos. Mag. 1969, 19, 1161–1173. [Google Scholar] [CrossRef]
- Walford, M.E.R.; Roberts, D.W.; Hill, I. Optical Measurements of Water Lenses in Ice. J. Glaciol. 1987, 33, 159–161. [Google Scholar] [CrossRef][Green Version]
- Walford, M.E.R.; Nye, J.F. Measuring the Dihedral Angle of Water at a Grain Boundary in Ice by an Optical Diffraction Method. J. Glaciol. 1991, 37, 107–112. [Google Scholar] [CrossRef]
- Mader, H.M. The Thermal Behaviour of the Water-Vein System in Polycrystalline Ice. J. Glaciol. 1992, 38, 379–394. [Google Scholar] [CrossRef]
- Blackford, J.R.; Jeffree, C.E.; Noake, D.F.J.; Marmo, B.A. Microstructural Evolution in Sintered Ice Particles Containing NaCl Observed by Low-Temperature Scanning Electron Microscope. Proc. Inst. Mech. Eng. Part L J. Mater. Des. Appl. 2007, 221, 151–156. [Google Scholar] [CrossRef]
- Watanabe, T.; Kurita, K. Simultaneous Measurements of the Compressional-Wave Velocity and the Electrical Conductivity in a Partially Molten Material. J. Phys. Earth 1994, 42, 69–87. [Google Scholar] [CrossRef]
- McCarthy, C.; Blackford, J.R.; Jeffree, C.E. Low-Temperature-SEM Study of Dihedral Angles in the Ice-I/sulfuric Acid Partially Molten System. J. Microsc. 2013, 249, 150–157. [Google Scholar] [CrossRef]
- Cole, D.M. Preparation of Polycrystalline Ice Specimens for Laboratory Experiments. Cold Reg. Sci. Technol. 1979, 1, 153–159. [Google Scholar] [CrossRef]
- Birch, F. The Velocity of Compressional Waves in Rocks to 10 Kilobars, Part 1. J. Geophys. Res. 1960, 65, 1083–1102. [Google Scholar] [CrossRef]
- McCarthy, C.; Savage, H.; Nettles, M. Temperature Dependence of Ice-on-Rock Friction at Realistic Glacier Conditions. Philoso. Trans. R. Soc. A 2017, 375, 20150348. [Google Scholar] [CrossRef] [PubMed]
- Stickels, C.A.; Hucke, E.E. Measurement of Dihedral Angles. Trans. Metal. Soc. AIME 1964, 230, 795. [Google Scholar]
- Harker, D.; Parker, E.R. Grain Shape and Grain Growth. Trans. Am. Soc. Met. 1945, 34, 156–195. [Google Scholar]
- Vogt, C.; Laihem, K.; Wiebusch, C. Speed of Sound in Bubble-Free Ice. J. Acoust. Soc. Am. 2008, 124, 1–6. [Google Scholar] [CrossRef] [PubMed]
- Ku, H.H. Notes on the Use of Propagation of Error Formulas. J. Res. Natl. Bur. Stand. 1966, 70, 263–273. [Google Scholar] [CrossRef]
- Nasello, O.B.; Di Prinzio, C.L.; Guzman, P.G. Temperature dependence of “pure” ice grain boundary mobility. Acta Materialia 2005, 53, 4863–4869. [Google Scholar] [CrossRef]
- Goldsby, D.L.; Kohlstedt, D.L. Structure and Rheology of Partially Molten Ammonia-Water Ices. In Proceedings of the 25th Lunar and Planetary Science Conference, Houston, TX, USA, 14–18 March 1994. [Google Scholar]
- Ambler, M.; Vorselaars, B.; Allen, M.P.; Quigley, D. Solid-liquid interfacial free energy of ice Ih, ice Ic, and ice 0 within a mono-atomic model of water via the capillary wave method. J. Chem. Phys. 2017, 146, 074701. [Google Scholar] [CrossRef]
- Spetzler, H.; Anderson, D.L. The Effect of Temperature and Partial Melting on Velocity and Attenuation in a Simple Binary System. J. Geophys. Res. 1968, 73, 6051–6060. [Google Scholar] [CrossRef]
- Freitas, D.; Manthilake, G.; Chantel, J.; Bouhifd, M.A.; Andrault, D. Simultaneous Measurements of Electrical Conductivity and Seismic Wave Velocity of Partially Molten Geological Materials: Effect of Evolving Melt Texture. Phys. Chem. Miner. 2019, 46, 535–551. [Google Scholar] [CrossRef]
- Holtzman, B.K.; Groebner, N.J.; Zimmerman, M.E.; Ginsberg, S.B.; Kohlstedt, D.L. Stress-Driven Melt Segreations in Partially Molten Rocks. Geochem. Geophys. Geosyst. 2003, 4, 8607. [Google Scholar] [CrossRef]
- Russell, M.J.; Murray, A.E.; Hand, K.P. The Possible Emergence of Life and Differentiation of a Shallow Biosphere on Irradiated Icy Worlds: The Example of Europa. Astrobiology 2017, 17, 1265–1273. [Google Scholar] [CrossRef] [PubMed]
- Zhu, J.; Jabini, A.; Golden, K.M.; Eicken, H.; Morris, M. A Network Model for Fluid Transport through Sea Ice. Ann. Glaciol. 2006, 44, 129–133. [Google Scholar] [CrossRef][Green Version]
- Grasset, O.; Sotin, C.; Deschamps, F. On the internal structure and dynamics of Titan. Planet. Space Sci. 2000, 48, 617–636. [Google Scholar] [CrossRef]
- Hesse, M.A.; Castillo-Rogez, J.C. Thermal Evolution of the Impact-Induced Cryomagma Chamber beneath Occator Crater on Ceres. Geophys. Res. Lett. 2018, 46, 1213–1221. [Google Scholar] [CrossRef]
- McCarthy, C.; Caswell, T.; Domingos, A.; Katz, A.O.; Newtown, D.C.; Zhang, D.; Savage, H.M. Friction of Ice Partial Melt Systems: A Possible Source of Seismicity on Icy Satellite Faults. In Proceedings of the 49th Lunar and Planetary Science Conference, The Woodlands, TX, USA, 19–23 March 2018. [Google Scholar]
- Hammond, N.P.; Barr, A.C.; Cooper, R.F.; Caswell, T.E.; Hirth, G. Experimental Constraints on the Fatigue of Icy Satellites Lithospheres by Tidal Forces. J. Geophys. Res. Planets 2018, 123, 390–404. [Google Scholar] [CrossRef]








| Sample# | Composition wt % NH3 | Composition Error | Length (cm) | Average nD | Std Deviation |
|---|---|---|---|---|---|
| 1 | 2.7 | ±1.3 | 4.42 | 1.33330 | 5.77 × 10−5 |
| 2 | 2.0 | ±1.1 | 5.19 | 1.33320 | 5.16 × 10−5 |
| 3 | 6.4 | ±2.1 | 5.15 | 1.33385 | 5.16 × 10−5 |
| 4 | 1.7 | ±1.1 | 5.68 | 1.33315 | 5.77 × 10-5 |
| Composition wt % NH3 | Composition Error | Number (Digital) | Mean (Digital) | 95% | Number (Hand) | Mean (Hand) | 95% | nD |
|---|---|---|---|---|---|---|---|---|
| 1.4 | ±1.0 | 325 | 71.5 | 65–76 | 50 | 50.8 | 40–54 | 1.3331 |
| 2.7 | ±1.3 | 215 | 71.6 | 64–76 | 38 | 53.1 | 44–55 | 1.3333 |
| 3.4 | ±1.4 | 347 | 60.2 | 53–64 | 78 | 49.7 | 42–53 | 1.3334 |
© 2019 by the authors. Licensee MDPI, Basel, Switzerland. This article is an open access article distributed under the terms and conditions of the Creative Commons Attribution (CC BY) license (http://creativecommons.org/licenses/by/4.0/).
Share and Cite
McCarthy, C.; Nielson, M.A.; Coonin, A.N.; Minker, J.S.; Domingos, A.A. Acoustic and Microstructural Properties of Partially Molten Samples in the Ice–Ammonia System. Geosciences 2019, 9, 327. https://doi.org/10.3390/geosciences9080327
McCarthy C, Nielson MA, Coonin AN, Minker JS, Domingos AA. Acoustic and Microstructural Properties of Partially Molten Samples in the Ice–Ammonia System. Geosciences. 2019; 9(8):327. https://doi.org/10.3390/geosciences9080327
Chicago/Turabian StyleMcCarthy, Christine, Michael A. Nielson, Allie N. Coonin, Jessica Shea Minker, and Armando A. Domingos. 2019. "Acoustic and Microstructural Properties of Partially Molten Samples in the Ice–Ammonia System" Geosciences 9, no. 8: 327. https://doi.org/10.3390/geosciences9080327
APA StyleMcCarthy, C., Nielson, M. A., Coonin, A. N., Minker, J. S., & Domingos, A. A. (2019). Acoustic and Microstructural Properties of Partially Molten Samples in the Ice–Ammonia System. Geosciences, 9(8), 327. https://doi.org/10.3390/geosciences9080327

