Structural Changes Induced by Resveratrol in Monounsaturated and Polyunsaturated Phosphatidylcholine-Enriched Model Membranes
Abstract
1. Introduction
2. Materials
3. Methods
3.1. Liposome Preparation
3.2. Laurdan Fluorescence Measurements
3.3. DPH-TEMPO Fluorescence Spectroscopy
3.4. Dynamic Light Scattering (DLS) Size Measurements
4. Results
4.1. Laurdan Fluorescence Spectroscopy
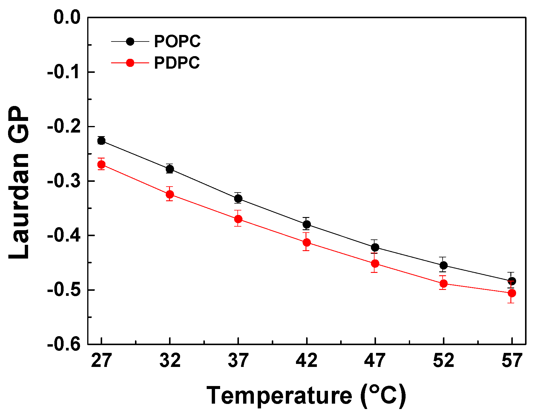
4.1.1. Pure POPC and PDPC Liposomes
4.1.2. Binary PC/Chol Mixtures
4.1.3. Pure SM Vesicles
4.1.4. Binary SM/Chol (50/50 mol/mol) Mixture
4.1.5. Ternary PC/SM/Chol Mixtures (PC/SM Equimolar Ratio with Variable Chol Concentration (10, 20 or 34 mol%)
4.2. DPH-TEMPO Fluorescence Spectroscopy of Ternary Mixtures
4.2.1. Ternary PC/SM/Chol Mixtures
4.2.2. Calculation of the Domain Radius in Ternary PC/SM/Chol Mixtures upon Resv Addition
4.3. Hydrodynamic Diameter and Polydispersity Index Measurements of Ternary PC/SM/Chol LUVs upon Resv Addition
5. Discussion
5.1. Pure PC LUVs
5.2. Binary PC/Chol Mixtures
5.3. Ternary PC/SM/Chol Mixtures
6. Conclusions
Author Contributions
Funding
Data Availability Statement
Conflicts of Interest
References
- Weiskirchen, S.; Weiskirchen, R. Resveratrol: How Much Wine Do You Have to Drink to Stay Healthy? Adv. Nutr. 2016, 7, 706–718. [Google Scholar] [CrossRef] [PubMed]
- Pervaiz, S. Resveratrol: From grapevines to mammalian biology. FASEB J. 2003, 17, 1975–1985. [Google Scholar] [CrossRef] [PubMed]
- Renaud, S.; de Lorgeril, M. Wine, alcohol, platelets, and the French paradox for coronary heart disease. Lancet 1992, 339, 1523–1526. [Google Scholar] [CrossRef] [PubMed]
- Brisdelli, F.; D’Andrea, G.; Bozzi, A. Resveratrol: A natural polyphenol with multiple chemopreventive properties. Curr. Drug Metab. 2009, 10, 530–546. [Google Scholar] [CrossRef] [PubMed]
- Sadowska-Bartosz, I.; Bartosz, G. Effect of antioxidants supplementation on aging and longevity. Biomed. Res. Int. 2014, 2014, 404680. [Google Scholar] [CrossRef] [PubMed]
- Yeh, C.B.; Hsieh, M.J.; Lin, C.W.; Chiou, H.L.; Lin, P.Y.; Chen, T.Y.; Yang, S.F. Correction: The Antimetastatic Effects of Resveratrol on Hepatocellular Carcinoma through the Downregulation of a Metastasis-Associated Protease by SP-1 Modulation. PLoS ONE 2017, 12, e0174494. [Google Scholar] [CrossRef]
- Sattarinezhad, A.; Roozbeh, J.; Shirazi Yeganeh, B.; Omrani, G.R.; Shams, M. Resveratrol reduces albuminuria in diabetic nephropathy: A randomized double-blind placebo-controlled clinical trial. Diabetes Metab. 2019, 45, 53–59. [Google Scholar] [CrossRef]
- Higashi, Y.; Higashi, K.; Mori, A.; Sakamoto, K.; Ishii, K.; Nakahara, T. Anti-cataract Effect of Resveratrol in High-Glucose-Treated Streptozotocin-Induced Diabetic Rats. Biol. Pharm. Bull. 2018, 41, 1586–1592. [Google Scholar] [CrossRef]
- Erkan, S.O.; Tuhanioglu, B.; Gurgen, S.G.; Ozdas, T.; Tastekin, B.; Pelit, A.; Gorgulu, O. The effect of resveratrol on the histologic characteristics of the cochlea in diabetic rats. Laryngoscope 2019, 129, E1–E6. [Google Scholar] [CrossRef]
- Frankel, E.N.; Waterhouse, A.L.; Kinsella, J.E. Inhibition of human LDL oxidation by resveratrol. Lancet 1993, 341, 1103–1104. [Google Scholar] [CrossRef]
- Liu, Y.; He, X.Q.; Huang, X.; Ding, L.; Xu, L.; Shen, Y.T.; Zhang, F.; Zhu, M.B.; Xu, B.H.; Qi, Z.Q.; et al. Resveratrol protects mouse oocytes from methylglyoxal-induced oxidative damage. PLoS ONE 2013, 8, e77960. [Google Scholar] [CrossRef] [PubMed]
- Liguori, I.; Russo, G.; Curcio, F.; Bulli, G.; Aran, L.; Della-Morte, D.; Gargiulo, G.; Testa, G.; Cacciatore, F.; Bonaduce, D.; et al. Oxidative stress, aging, and diseases. Clin. Interv. Aging 2018, 13, 757–772. [Google Scholar] [CrossRef] [PubMed]
- Ohtsu, A.; Shibutani, Y.; Seno, K.; Iwata, H.; Kuwayama, T.; Shirasuna, K. Advanced glycation end products and lipopolysaccharides stimulate interleukin-6 secretion via the RAGE/TLR4-NF-kappaB-ROS pathways and resveratrol attenuates these inflammatory responses in mouse macrophages. Exp. Ther. Med. 2017, 14, 4363–4370. [Google Scholar] [CrossRef] [PubMed]
- Pinheiro, D.M.L.; de Oliveira, A.H.S.; Coutinho, L.G.; Fontes, F.L.; de Medeiros Oliveira, R.K.; Oliveira, T.T.; Faustino, A.L.F.; Lira da Silva, V.; de Melo Campos, J.T.A.; Lajus, T.B.P.; et al. Resveratrol decreases the expression of genes involved in inflammation through transcriptional regulation. Free Radic. Biol. Med. 2019, 130, 8–22. [Google Scholar] [CrossRef] [PubMed]
- Sharma, C.; Suhalka, P.; Bhatnagar, M. Curcumin and resveratrol rescue cortical-hippocampal system from chronic fluoride-induced neurodegeneration and enhance memory retrieval. Int. J. Neurosci. 2018, 128, 1007–1021. [Google Scholar] [CrossRef] [PubMed]
- Ma, X.; Sun, Z.; Liu, Y.; Jia, Y.; Zhang, B.; Zhang, J. Resveratrol improves cognition and reduces oxidative stress in rats with vascular dementia. Neural Regen. Res. 2013, 8, 2050–2059. [Google Scholar] [CrossRef]
- Repossi, G.; Das, U.N.; Eynard, A.R. Molecular Basis of the Beneficial Actions of Resveratrol. Arch. Med. Res. 2020, 51, 105–114. [Google Scholar] [CrossRef]
- Marier, J.F.; Vachon, P.; Gritsas, A.; Zhang, J.; Moreau, J.P.; Ducharme, M.P. Metabolism and disposition of resveratrol in rats: Extent of absorption, glucuronidation, and enterohepatic recirculation evidenced by a linked-rat model. J. Pharmacol. Exp. Ther. 2002, 302, 369–373. [Google Scholar] [CrossRef]
- Gokce, E.H.; Korkmaz, E.; Dellera, E.; Sandri, G.; Bonferoni, M.C.; Ozer, O. Resveratrol-loaded solid lipid nanoparticles versus nanostructured lipid carriers: Evaluation of antioxidant potential for dermal applications. Int. J. Nanomed. 2012, 7, 1841–1850. [Google Scholar] [CrossRef]
- Penalva, R.; Morales, J.; Gonzalez-Navarro, C.J.; Larraneta, E.; Quincoces, G.; Penuelas, I.; Irache, J.M. Increased Oral Bioavailability of Resveratrol by Its Encapsulation in Casein Nanoparticles. Int. J. Mol. Sci. 2018, 19, 2816. [Google Scholar] [CrossRef]
- Escriba, P.V.; Nicolson, G.L. Membrane structure and function: Relevance of lipid and protein structures in cellular physiology, pathology and therapy. Biochim. Biophys. Acta 2014, 1838, 1449–1450. [Google Scholar] [CrossRef] [PubMed]
- Simons, K.; Ikonen, E. Functional rafts in cell membranes. Nature 1997, 387, 569–572. [Google Scholar] [CrossRef] [PubMed]
- Brown, D.A.; London, E. Structure and function of sphingolipid- and cholesterol-rich membrane rafts. J. Biol. Chem. 2000, 275, 17221–17224. [Google Scholar] [CrossRef] [PubMed]
- Longo, E.; Ciuchi, F.; Guzzi, R.; Rizzuti, B.; Bartucci, R. Resveratrol induces chain interdigitation in DPPC cell membrane model systems. Colloids Surf. B Biointerfaces 2016, 148, 615–621. [Google Scholar] [CrossRef] [PubMed]
- Neves, A.R.; Nunes, C.; Reis, S. New Insights on the Biophysical Interaction of Resveratrol with Biomembrane Models: Relevance for Its Biological Effects. J. Phys. Chem. B 2015, 119, 11664–11672. [Google Scholar] [CrossRef] [PubMed]
- Neves, A.R.; Nunes, C.; Reis, S. Resveratrol induces ordered domains formation in biomembranes: Implication for its pleiotropic action. Biochim. Et Biophys. Acta (BBA) Biomembr. 2016, 1858, 12–18. [Google Scholar] [CrossRef] [PubMed]
- Yammine, A.; Auezova, L.; Lizard, G.; Greige-Gerges, H. Activity of Na(+)/K(+)- and Ca(2+)-ATPases in human erythrocyte membranes: Protocol improvement, relation to cholesterol content, and effects of polyphenols. Biochimie 2023, 212, 95–105. [Google Scholar] [CrossRef]
- Vitkova, V.; Mitkova, D.; Yordanova, V.; Pohl, P.; Bakowsky, U.; Staneva, G.; Batishchev, O. Elasticity and phase behaviour of biomimetic membrane systems containing tetraether archaeal lipids. Colloids Surf. A Physicochem. Eng. Asp. 2020, 601, 124974. [Google Scholar] [CrossRef]
- Parasassi, T.; De Stasio, G.; Ravagnan, G.; Rusch, R.M.; Gratton, E. Quantitation of lipid phases in phospholipid vesicles by the generalized polarization of Laurdan fluorescence. Biophys. J. 1991, 60, 179–189. [Google Scholar] [CrossRef]
- Parasassi, T.; Gratton, E. Membrane lipid domains and dynamics as detected by Laurdan fluorescence. J. Fluoresc. 1995, 5, 59–69. [Google Scholar] [CrossRef]
- Parasassi, T.; Krasnowska, E.K.; Bagatolli, L.; Gratton, E. Laurdan and Prodan as Polarity-Sensitive Fluorescent Membrane Probes. J. Fluoresc. 1998, 8, 365–373. [Google Scholar] [CrossRef]
- de Almeida, R.F.; Fedorov, A.; Prieto, M. Sphingomyelin/phosphatidylcholine/cholesterol phase diagram: Boundaries and composition of lipid rafts. Biophys. J. 2003, 85, 2406–2416. [Google Scholar] [CrossRef] [PubMed]
- Georgieva, R.; Chachaty, C.; Hazarosova, R.; Tessier, C.; Nuss, P.; Momchilova, A.; Staneva, G. Docosahexaenoic acid promotes micron scale liquid-ordered domains. A comparison study of docosahexaenoic versus oleic acid containing phosphatidylcholine in raft-like mixtures. Biochim. Biophys. Acta 2015, 1848, 1424–1435. [Google Scholar] [CrossRef] [PubMed]
- Chattopadhyay, A.; London, E. Parallax method for direct measurement of membrane penetration depth utilizing fluorescence quenching by spin-labeled phospholipids. Biochemistry 1987, 26, 39–45. [Google Scholar] [CrossRef] [PubMed]
- Zhu, P.; Clamme, J.P.; Deniz, A.A. Fluorescence quenching by TEMPO: A sub-30 A single-molecule ruler. Biophys. J. 2005, 89, L37–L39. [Google Scholar] [CrossRef][Green Version]
- Johnson, D.A.; Nguyen, B.; Bohorquez, A.F.; Valenzuela, C.F. Paramagnetic fluorescence quenching in a model membrane: A consideration of lifetime and temperature. Biophys. Chem. 1999, 79, 1–9. [Google Scholar] [CrossRef]
- Suga, K.; Umakoshi, H. Detection of nanosized ordered domains in DOPC/DPPC and DOPC/Ch binary lipid mixture systems of large unilamellar vesicles using a TEMPO quenching method. Langmuir 2013, 29, 4830–4838. [Google Scholar] [CrossRef] [PubMed]
- Fei, Q.; Kent, D.; Botello-Smith, W.M.; Nur, F.; Nur, S.; Alsamarah, A.; Chatterjee, P.; Lambros, M.; Luo, Y. Molecular Mechanism of Resveratrol’s Lipid Membrane Protection. Sci. Rep. 2018, 8, 1587. [Google Scholar] [CrossRef]
- Wesolowska, O.; Kuzdzal, M.; Strancar, J.; Michalak, K. Interaction of the chemopreventive agent resveratrol and its metabolite, piceatannol, with model membranes. Biochim. Biophys. Acta 2009, 1788, 1851–1860. [Google Scholar] [CrossRef]
- de Ghellinck, A.; Shen, C.; Fragneto, G.; Klosgen, B. Probing the position of resveratrol in lipid bilayers: A neutron reflectivity study. Colloids Surf. B Biointerfaces 2015, 134, 65–72. [Google Scholar] [CrossRef]
- Balanč, B.D.; Ota, A.; Djordjević, V.B.; Šentjurc, M.; Nedović, V.A.; Bugarski, B.M.; Ulrih, N.P. Resveratrol-loaded liposomes: Interaction of resveratrol with phospholipids. Eur. J. Lipid Sci. Technol. 2015, 117, 1615–1626. [Google Scholar] [CrossRef]
- Phan, H.T.T.; Yoda, T.; Chahal, B.; Morita, M.; Takagi, M.; Vestergaard, M.d.C. Structure-dependent interactions of polyphenols with a biomimetic membrane system. Biochim. Et Biophys. Acta (BBA) Biomembr. 2014, 1838, 2670–2677. [Google Scholar] [CrossRef] [PubMed]
- Meleleo, D. Study of Resveratrol’s Interaction with Planar Lipid Models: Insights into Its Location in Lipid Bilayers. Membranes 2021, 11, 132. [Google Scholar] [CrossRef] [PubMed]
- Selvaraj, S.; Mohan, A.; Narayanan, S.; Sethuraman, S.; Krishnan, U.M. Dose-dependent interaction of trans-resveratrol with biomembranes: Effects on antioxidant property. J. Med. Chem. 2013, 56, 970–981. [Google Scholar] [CrossRef] [PubMed]
- Hashemzadeh, H.; Hanafi-Bojd, M.Y.; Iranshahy, M.; Zarban, A.; Raissi, H. The combination of polyphenols and phospholipids as an efficient platform for delivery of natural products. Sci. Rep. 2023, 13, 2501. [Google Scholar] [CrossRef] [PubMed]
- Ceja-Vega, J.; Perez, E.; Scollan, P.; Rosario, J.; Gamez Hernandez, A.; Ivanchenko, K.; Gudyka, J.; Lee, S. Trans-Resveratrol Decreases Membrane Water Permeability: A Study of Cholesterol-Dependent Interactions. J. Membr. Biol. 2022, 255, 575–590. [Google Scholar] [CrossRef] [PubMed]
- Usery, R.D.; Enoki, T.A.; Wickramasinghe, S.P.; Weiner, M.D.; Tsai, W.C.; Kim, M.B.; Wang, S.; Torng, T.L.; Ackerman, D.G.; Heberle, F.A.; et al. Line Tension Controls Liquid-Disordered + Liquid-Ordered Domain Size Transition in Lipid Bilayers. Biophys. J. 2017, 112, 1431–1443. [Google Scholar] [CrossRef]
- Marquardt, D.; Heberle, F.A.; Greathouse, D.V.; Koeppe, R.E.; Standaert, R.F.; Van Oosten, B.J.; Harroun, T.A.; Kinnun, J.J.; Williams, J.A.; Wassall, S.R.; et al. Lipid bilayer thickness determines cholesterol’s location in model membranes. Soft Matter 2016, 12, 9417–9428. [Google Scholar] [CrossRef]
- Kopec, W.; Telenius, J.; Khandelia, H. Molecular dynamics simulations of the interactions of medicinal plant extracts and drugs with lipid bilayer membranes. FEBS J. 2013, 280, 2785–2805. [Google Scholar] [CrossRef]
- Colin, D.; Limagne, E.; Jeanningros, S.; Jacquel, A.; Lizard, G.; Athias, A.; Gambert, P.; Hichami, A.; Latruffe, N.; Solary, E.; et al. Endocytosis of resveratrol via lipid rafts and activation of downstream signaling pathways in cancer cells. Cancer Prev. Res. 2011, 4, 1095–1106. [Google Scholar] [CrossRef]
- Delmas, D.; Rebe, C.; Micheau, O.; Athias, A.; Gambert, P.; Grazide, S.; Laurent, G.; Latruffe, N.; Solary, E. Redistribution of CD95, DR4 and DR5 in rafts accounts for the synergistic toxicity of resveratrol and death receptor ligands in colon carcinoma cells. Oncogene 2004, 23, 8979–8986. [Google Scholar] [CrossRef] [PubMed]
- Baillat, G.; Siret, C.; Delamarre, E.; Luis, J. Early adhesion induces interaction of FAK and Fyn in lipid domains and activates raft-dependent Akt signaling in SW480 colon cancer cells. Biochim. Biophys. Acta 2008, 1783, 2323–2331. [Google Scholar] [CrossRef] [PubMed][Green Version]
- Su, J.L.; Lin, M.T.; Hong, C.C.; Chang, C.C.; Shiah, S.G.; Wu, C.W.; Chen, S.T.; Chau, Y.P.; Kuo, M.L. Resveratrol induces FasL-related apoptosis through Cdc42 activation of ASK1/JNK-dependent signaling pathway in human leukemia HL-60 cells. Carcinogenesis 2005, 26, 1–10. [Google Scholar] [CrossRef] [PubMed]
- Delmas, D.; Aires, V.; Colin, D.J.; Limagne, E.; Scagliarini, A.; Cotte, A.K.; Ghiringhelli, F. Importance of lipid microdomains, rafts, in absorption, delivery, and biological effects of resveratrol. Ann. N. Y. Acad. Sci. 2013, 1290, 90–97. [Google Scholar] [CrossRef]












| Sample Resv (µM) | Tm (Sigmoidal Fit) | Tm (First Derivative of Sigmoid, Lorentzian Fit) | Width of Lorentzian | R2 |
|---|---|---|---|---|
| 0 | 38.5 ± 0.3 | 38.5 | 11.4 | 0.998 |
| 50 | 37.9 ± 0.4 | 37.9 | 13.8 | 0.998 |
| 100 | 37.7 ± 0.4 | 37.7 | 13.1 | 0.998 |
| 200 | 37.6 ± 0.4 | 37.6 | 14.4 | 0.999 |
| 500 | 37.4 ± 0.5 | 37.4 | 17.4 | 0.999 |
| Scheme 40 | POPC/SM/Chol (40/40/20) | PDPC/SM/Chol (40/40/20) | POPC/SM/Chol (33/33/34) | PDPC/SM/Chol (33/33/34) |
|---|---|---|---|---|
| 0 | 24.3 ± 2.2 | 42.9 ± 0.5 | 30.9 ± 0.7 | 43.1 ± 1.9 |
| 50 | 25.2 ± 1.3 | 43.2 ± 0.9 | 32.6 ± 0.9 | 45.2 ± 2.3 |
| 100 | 26.7 ± 1.2 | 43.3 ± 0.4 | 33.9 ± 1.0 | 45.7 ± 2.1 |
| 200 | 30.2 ± 1.3 | 42.5 ± 0.4 | 35.7 ± 0.8 | 45.0 ± 1.9 |
| 500 | 34.4 ± 1.1 | 40.7 ± 2.1 | 36.1 ± 1.1 | 44.4 ± 2.2 |
| Sample Resv (µM) | POPC/SM/Chol (40/40/20) | PDPC/SM/Chol (40/40/20) | POPC/SM/Chol (33/33/34) | PDPC/SM/Chol (33/33/34) |
|---|---|---|---|---|
| 0 | 173 ± 1 | 177 ± 4 | 188 ± 5 | 169 ± 3 |
| 100 | 167 ± 2 | 180 ± 4 | 169 ± 2 | 176 ± 3 |
| 500 | 165 ± 1 | 176 ± 1 | 177 ± 3 | 199 ± 4 |
| Sample Resv (µM) | POPC/SM/Chol (40/40/20 | PDPC/SM/Chol (40/40/20) | POPC/SM/Chol (33/33/34) | PDPC/SM/Chol (33/33/34) |
|---|---|---|---|---|
| 0 | 0.11 ± 0.03 | 0.19 ± 0.03 | 0.19 ± 0.01 | 0.20 ± 0.02 |
| 100 | 0.16 ± 0.01 | 0.22 ± 0.04 | 0.20 ± 0.02 | 0.18 ± 0.04 |
| 500 | 0.20 ± 0.02 | 0.26 ± 0.03 | 0.25 ± 0.01 | 0.34 ± 0.02 |
Disclaimer/Publisher’s Note: The statements, opinions and data contained in all publications are solely those of the individual author(s) and contributor(s) and not of MDPI and/or the editor(s). MDPI and/or the editor(s) disclaim responsibility for any injury to people or property resulting from any ideas, methods, instructions or products referred to in the content. |
© 2023 by the authors. Licensee MDPI, Basel, Switzerland. This article is an open access article distributed under the terms and conditions of the Creative Commons Attribution (CC BY) license (https://creativecommons.org/licenses/by/4.0/).
Share and Cite
Hazarosova, R.; Momchilova, A.; Vitkova, V.; Yordanova, V.; Kostadinova, A.; Angelova, M.I.; Tessier, C.; Nuss, P.; Staneva, G. Structural Changes Induced by Resveratrol in Monounsaturated and Polyunsaturated Phosphatidylcholine-Enriched Model Membranes. Membranes 2023, 13, 909. https://doi.org/10.3390/membranes13120909
Hazarosova R, Momchilova A, Vitkova V, Yordanova V, Kostadinova A, Angelova MI, Tessier C, Nuss P, Staneva G. Structural Changes Induced by Resveratrol in Monounsaturated and Polyunsaturated Phosphatidylcholine-Enriched Model Membranes. Membranes. 2023; 13(12):909. https://doi.org/10.3390/membranes13120909
Chicago/Turabian StyleHazarosova, Rusina, Albena Momchilova, Victoria Vitkova, Vesela Yordanova, Aneliya Kostadinova, Miglena I. Angelova, Cedric Tessier, Philippe Nuss, and Galya Staneva. 2023. "Structural Changes Induced by Resveratrol in Monounsaturated and Polyunsaturated Phosphatidylcholine-Enriched Model Membranes" Membranes 13, no. 12: 909. https://doi.org/10.3390/membranes13120909
APA StyleHazarosova, R., Momchilova, A., Vitkova, V., Yordanova, V., Kostadinova, A., Angelova, M. I., Tessier, C., Nuss, P., & Staneva, G. (2023). Structural Changes Induced by Resveratrol in Monounsaturated and Polyunsaturated Phosphatidylcholine-Enriched Model Membranes. Membranes, 13(12), 909. https://doi.org/10.3390/membranes13120909

