Kinetic Effects of Ciprofloxacin, Carbamazepine, and Bisphenol on Biomass in Membrane Bioreactor System at Low Temperatures to Treat Urban Wastewater
Abstract
1. Introduction
2. Materials and Methods
2.1. Pilot Plant
2.2. Reagents
2.3. Respirometric Assays
2.4. Kinetic Modelling
3. Results and Discussion
3.1. Dynamic and Static Oxygen Uptake Rates
3.2. Heterotrophic Kinetic Modelling
4. Conclusions
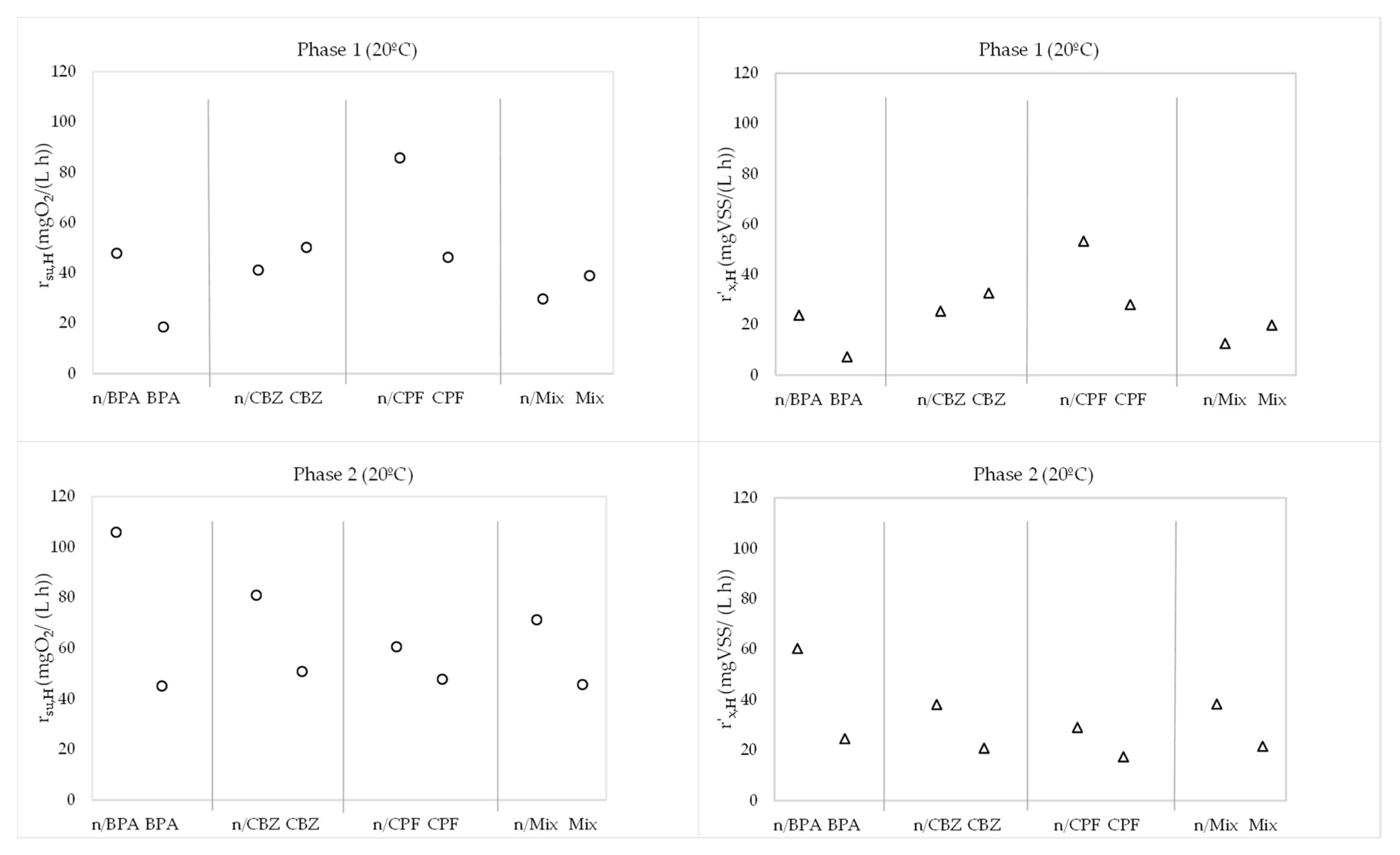
- In general, the shocks of high-concentration bisphenol A, carbamazepine, and ciprofloxacin worsened the degradation rate of organic matter and the net heterotrophic biomass growth rate, with the exception of carbamazepine and the mix of micropollutants over the 12 h HRT, which caused the reactivation of biomass with values of 52.1435 mgO2/(L·h) and 21.1980 mgVSS/(L·h) with carbamazepine at 8 °C, and 40.1192 mgO2/(L·h) and 11.9389 mgVSS/(L·h) with the mix of emerging pollutants at 6 °C. This could have been due to higher biomass activity over a lower HRT.
- The three-compound synergic effect did not worsen the biomass performance compared with the effect of single-compound shocks, independently of temperature, with values of 40.1192 mgO2/(L·h) with the mix in relation to the range 18.6876–52.1435 mgO2/(L·h) with the individual shocks over the 12 h HRT and at operation temperature. Over the 18 h HRT, the values of single doping ranging from 45.9095 to 52.8674 mgO2/(L·h) also encompassed the value of the mix (46.6750 mgO2/(L·h)) at operation temperature. The trend of r’x,H was similar to that observed for rsu,H.
- Low temperatures mainly inhibited the net heterotrophic biomass growth rate, with reductions from 19.8848 to 11.9389 mgVSS/(L·h) and from 21.5082 to 12.3083 mgVSS/(L·h) in the presence of the mix of emerging pollutants over the 12 h and 18 h HRTs, respectively.
- The hydraulic retention time was the most influential variable regarding the degradation rate of organic matter, independently of temperature, with faster biodegradation rates over 18 h compared with 12 h with similar doping. Thus, hydraulic retention time plays an important role in biomass performance even at low temperatures, allowing membrane bioreactors to work under such extreme temperature conditions under the shock of micropollutants by increasing its value.
Author Contributions
Funding
Informed Consent Statement
Data Availability Statement
Conflicts of Interest
Abbreviations
References
- Antiñolo Bermúdez, L.; Pascual, J.M.; del Mar Muñio Martínez, M.; Manuel, J.; Capilla, P. Effectiveness of Advanced Oxidation Processes in Wastewater Treatment: State of the Art. Water 2021, 13, 2094. [Google Scholar] [CrossRef]
- Tran, N.H.; Reinhard, M.; Gin, K.Y.H. Occurrence and fate of emerging contaminants in municipal wastewater treatment plants from different geographical regions-a review. Water Res. 2018, 133, 182–207. [Google Scholar] [CrossRef] [PubMed]
- Verlicchi, P.; Zambello, E. Pharmaceuticals and personal care products in untreated and treated sewage sludge: Occurrence and environmental risk in the case of application on soil—A critical review. Sci. Total Environ. 2015, 538, 750–767. [Google Scholar] [CrossRef] [PubMed]
- Palma, P.; Fialho, S.; Lima, A.; Novais, M.H.; Costa, M.J.; Montemurro, N.; Pérez, S.; de Alda, M.L. Pharmaceuticals in a Mediterranean Basin: The influence of temporal and hydrological patterns in environmental risk assessment. Sci. Total Environ. 2020, 709, 136205. [Google Scholar] [CrossRef] [PubMed]
- Verlicchi, P.; Al Aukidy, M.; Zambello, E. Occurrence of pharmaceutical compounds in urban wastewater: Removal, mass load and environmental risk after a secondary treatment—A review. Sci. Total Environ. 2012, 429, 123–155. [Google Scholar] [CrossRef]
- Verlicchi, P.; Galletti, A.; Petrovic, M.; Barceló, D. Hospital effluents as a source of emerging pollutants: An overview of micropollutants and sustainable treatment options. J. Hydrol. 2010, 389, 416–428. [Google Scholar] [CrossRef]
- Launay, M.A.; Dittmer, U.; Steinmetz, H. Organic micropollutants discharged by combined sewer overflows—Characterisation of pollutant sources and stormwater-related processes. Water Res. 2016, 104, 82–92. [Google Scholar] [CrossRef]
- Yi, X.; Tran, N.H.; Yin, T.; He, Y.; Gin, K.Y.H. Removal of selected PPCPs, EDCs, and antibiotic resistance genes in landfill leachate by a full-scale constructed wetlands system. Water Res. 2017, 121, 46–60. [Google Scholar] [CrossRef]
- Antiñolo Bermúdez, L.; Leyva Díaz, J.C.; Martín Pascual, J.; Muñío Martínez, M.D.M.; Poyatos Capilla, J.M. Study of the Potential for Agricultural Reuse of Urban Wastewater with Membrane Bioreactor Technology in the Circular Economy Framework. Agronomy 2022, 12, 1877. [Google Scholar] [CrossRef]
- Tran, N.H.; Hu, J.; Ong, S.L. Simultaneous determination of PPCPs, EDCs, and artificial sweeteners in environmental water samples using a single-step SPE coupled with HPLC–MS/MS and isotope dilution. Talanta 2013, 113, 82–92. [Google Scholar] [CrossRef]
- Liu, H.-Q.; Lam, J.C.W.; Li, W.-W.; Yu, H.-Q.; Lam, P.K.S. Spatial distribution and removal performance of pharmaceuticals in municipal wastewater treatment plants in China. Sci. Total Environ. 2017, 586, 1162–1169. [Google Scholar] [CrossRef]
- Omoike, A.; Wacker, T.; Navidonski, M. Biodegradation of bisphenol A by Heliscus lugdunensis, a naturally occurring hyphomycete in freshwater environments. Chemosphere 2013, 91, 1643–1647. [Google Scholar] [CrossRef] [PubMed]
- Takayanagi, S.; Tokunaga, T.; Liu, X.; Okada, H.; Matsushima, A.; Shimohigashi, Y. Endocrine disruptor bisphenol A strongly binds to human estrogen-related receptor γ (ERRγ) with high constitutive activity. Toxicol. Lett. 2006, 167, 95–105. [Google Scholar] [CrossRef] [PubMed]
- Furuya, M.; Adachi, K.; Kuwahara, S.; Ogawa, K.; Tsukamoto, Y. Inhibition of male chick phenotypes and spermatogenesis by Bisphenol-A. Life Sci. 2006, 78, 1767–1776. [Google Scholar] [CrossRef] [PubMed]
- Yu, C.; Lan, S.; Cheng, S.; Zeng, L.; Zhu, M. Ba substituted SrTiO3 induced lattice deformation for enhanced piezocatalytic removal of carbamazepine from water. J. Hazard. Mater. 2022, 424, 127440. [Google Scholar] [CrossRef]
- Yuan, X.; Li, S.; Hu, J.; Yu, M.; Li, Y.; Wang, Z. Experiments and numerical simulation on the degradation processes of carbamazepine and triclosan in surface water: A case study for the Shahe Stream, South China. Sci. Total Environ. 2019, 655, 1125–1138. [Google Scholar] [CrossRef]
- Duan, Z.; Deng, L.; Shi, Z.; Zhang, H.; Zeng, H.; Crittenden, J. In situ growth of Ag-SnO2 quantum dots on silver phosphate for photocatalytic degradation of carbamazepine: Performance, mechanism and intermediates toxicity assessment. J. Colloid Interface Sci. 2019, 534, 270–278. [Google Scholar] [CrossRef]
- Wu, S.; Zhao, X.; Li, Y.; Zhao, C.; Du, Q.; Sun, J.; Wang, Y.; Peng, X.; Xia, Y.; Wang, Z.; et al. Adsorption of ciprofloxacin onto biocomposite fibers of graphene oxide/calcium alginate. Chem. Eng. J. 2013, 230, 389–395. [Google Scholar] [CrossRef]
- Malakootian, M.; Nasiri, A.; Amiri Gharaghani, M. Photocatalytic degradation of ciprofloxacin antibiotic by TiO2 nanoparticles immobilized on a glass plate. Chem. Eng. Commun. 2019, 207, 56–72. [Google Scholar] [CrossRef]
- Díaz, V.; Antiñolo, L.; Poyatos Capilla, J.M.; Almécija, M.C.; Muñío, M.D.M.; Martín-Pascual, J. Nutrient Removal and Membrane Performance of an Algae Membrane Photobioreactor in Urban Wastewater Regeneration. Membranes 2022, 12, 982. [Google Scholar] [CrossRef]
- Santos, A.; Ma, W.; Judd, S.J. Membrane bioreactors: Two decades of research and implementation. Desalination 2011, 273, 148–154. [Google Scholar] [CrossRef]
- Li, C.; Cabassud, C.; Guigui, C. Evaluation of membrane bioreactor on removal of pharmaceutical micropollutants: A review. Desalin. Water Treat. 2014, 55, 845–858. [Google Scholar] [CrossRef]
- Ganiyu, S.O.; van Hullebusch, E.D.; Cretin, M.; Esposito, G.; Oturan, M.A. Coupling of membrane filtration and advanced oxidation processes for removal of pharmaceutical residues: A critical review. Sep Purif. Technol. 2015, 156, 891–914. [Google Scholar] [CrossRef]
- Lesjean, B.; Huisjes, E.H. Survey of the European MBR market: Trends and perspectives. Desalination 2008, 231, 71–81. [Google Scholar] [CrossRef]
- Stasinakis, A.S.; Petalas, A.V.; Mamais, D.; Thomaidis, N.S. Application of the OECD 301F respirometric test for the biodegradability assessment of various potential endocrine disrupting chemicals. Bioresour. Technol. 2008, 99, 3458–3467. [Google Scholar] [CrossRef]
- Rivero, M.J.; Alonso, E.; Dominguez, S.; Ribao, P.; Ibañez, R.; Ortiz, I.; Irabien, A. Kinetic analysis and biodegradability of the Fenton mineralization of bisphenol A. J. Chem. Technol. Biotechnol. 2014, 89, 1228–1234. [Google Scholar] [CrossRef]
- Zielińska, M.; Cydzik-Kwiatkowska, A.; Bernat, K.; Bułkowska, K.; Wojnowska-Baryła, I. Removal of bisphenol A (BPA) in a nitrifying system with immobilized biomass. Bioresour. Technol. 2014, 171, 305–313. [Google Scholar] [CrossRef]
- Leyva-Díaz, J.C.; Calero-Díaz, G.; López-López, C.; Martín-Pascual, J.; Torres, J.C.; Poyatos, J.M. Kinetic study of the effect of bisphenol A on the rates of organic matter removal, decay and biomass generation in a membrane bioreactor. Biochem. Eng. J. 2017, 128, 45–53. [Google Scholar] [CrossRef]
- Aubenneau, M.; Tahar, A.; Casellas, C.; Wisniewski, C. Membrane bioreactor for pharmaceutically active compounds removal: Effects of carbamazepine on mixed microbial communities implied in the treatment. Process. Biochem. 2010, 45, 1826–1831. [Google Scholar] [CrossRef]
- Zhang, Y.; Geißen, S.U. In vitro degradation of carbamazepine and diclofenac by crude lignin peroxidase. J. Hazard. Mater. 2010, 176, 1089–1092. [Google Scholar] [CrossRef]
- Zhang, Y.; Geißen, S.U.; Gal, C. Carbamazepine and diclofenac: Removal in wastewater treatment plants and occurrence in water bodies. Chemosphere 2008, 73, 1151–1161. [Google Scholar] [CrossRef] [PubMed]
- Nas, B.; Dolu, T.; Koyuncu, S. Behavior and Removal of Ciprofloxacin and Sulfamethoxazole Antibiotics in Three Different Types of Full-Scale Wastewater Treatment Plants: A Comparative Study. Water Air Soil Pollut. 2021, 232, 1–15. [Google Scholar] [CrossRef]
- Yi, K.; Wang, D.; Yang, Q.; Li, X.; Chen, H.; Sun, J.; An, H.; Wang, L.; Deng, Y.; Liu, J.; et al. Effect of ciprofloxacin on biological nitrogen and phosphorus removal from wastewater. Sci. Total Environ. 2017, 605, 368–375. [Google Scholar] [CrossRef] [PubMed]
- Pan, L.J.; Li, J.; Li, C.X.; Tang, X.D.; Yu, G.W.; Wang, Y. Study of ciprofloxacin biodegradation by a Thermus sp. isolated from pharmaceutical sludge. J. Hazard. Mater. 2018, 343, 59–67. [Google Scholar] [CrossRef] [PubMed]
- Pei, S.; Teng, J.; Ren, N.; You, S. Low-Temperature Removal of Refractory Organic Pollutants by Electrochemical Oxidation: Role of Interfacial Joule Heating Effect. Environ. Sci. Technol. 2020, 54, 4573–4582. [Google Scholar] [CrossRef] [PubMed]
- Hülsen, T.; Barry, E.M.; Lu, Y.; Puyol, D.; Batstone, D.J. Low temperature treatment of domestic wastewater by purple phototrophic bacteria: Performance, activity, and community. Water Res. 2016, 100, 537–545. [Google Scholar] [CrossRef]
- Dorival-García, N.; Zafra-Gómez, A.; Oliver-Rodríguez, B.; Navalón, A.; González-López, J.; Vílchez, J.L. Effect of the injection of pure oxygen into a membrane bioreactor on the elimination of bisphenol A. Int. J. Environ. Sci. Technol. 2014, 11, 9–20. [Google Scholar] [CrossRef]
- Calero-Díaz, G.; Monteoliva-García, A.; SLeyva-Díaz, J.C.; López-López, C.; Martín-Pascual, J.; Torres, J.C.; Poyatos, J.M. Impact of ciprofloxacin, carbamazepine and ibuprofen on a membrane bioreactor system: Kinetic study and biodegradation capacity. J. Chem. Technol. Biotechnol. 2017, 92, 2944–2951. [Google Scholar] [CrossRef]
- Leyva-Díaz, J.C.; Calderón, K.; Rodríguez, F.A.; González-López, J.; Hontoria, E.; Poyatos, J.M. Comparative kinetic study between moving bed biofilm reactor-membrane bioreactor and membrane bioreactor systems and their influence on organic matter and nutrients removal. Biochem. Eng. J. 2013, 77, 28–40. [Google Scholar] [CrossRef]
- Metcalf, L.; Eddy, H.P.; Tchobanoglous, G. Wastewater Energy: Treatment and Reuse; McGraw-Hill: New York, NY, USA, 2004; p. 1819. [Google Scholar]
- Monteoliva-García, A.; Leyva-Díaz, J.C.; López-López, C.; Poyatos, J.M.; del Mar Muñío, M.; Martín-Pascual, J. Heterotrophic Kinetic Study and Nitrogen Removal of a Membrane Bioreactor System Treating Real Urban Wastewater under a Pharmaceutical Compounds Shock: Effect of the Operative Variables. Water 2019, 11, 1785. [Google Scholar] [CrossRef]














| Pressure (bar) | ∆TMP (bar) | Permeability (m3/(m2 h bar)) | Permeability (L/(m2 h bar)) | |||
|---|---|---|---|---|---|---|
| 12 HRT | December | Suction | 0.05 | 0.95 | 0.001986 | 1.99 |
| Backwashing | 0.15 | 0.85 | 0.002190 | 2.22 | ||
| December | Suction | 0.20 | 0.80 | 0.002358 | 2.36 | |
| Backwashing | 0.15 | 0.85 | 0.002219 | 2.22 | ||
| 18 HRT | January | Suction | 0.10 | 0.90 | 0.001395 | 1.39 |
| Backwashing | 0.25 | 0.75 | 0.001674 | 1.67 | ||
| January | Suction | 0.03 | 0.97 | 0.001287 | 1.29 | |
| Backwashing | 0.25 | 0.75 | 0.001674 | 1.67 |
| Respirometry | Sample | SSs (mg/L) | VSSs (mg/L) | pH | Conductivity (μS/cm) | COD (mgO2/L) | BOD5 (mgO2/L) |
|---|---|---|---|---|---|---|---|
| 1 | Influent | 70 | 62 | 7.65 | 1087 | 448 | 240 |
| 2 | Influent | 28 | 4 | 7.94 | 1235 | 465 | 300 |
| 3 | Influent | 80 | 59 | 7.50 | 1122 | 388 | 230 |
| 4 | Influent | 94 | 75 | 7.63 | 1274 | N/D* | 310 |
| 5 | Influent | 78 | 75 | 7.68 | 1178 | 441 | 280 |
| 6 | Influent | 77 | 64 | 7.48 | 1020 | 404 | 310 |
| 7 | Influent | 49 | 38 | 7.80 | 1030 | N/D* | 310 |
| 8 | Influent | 109 | 91 | 7.66 | 1178 | 461 | 320 |
| 1 | Effluent | 2 | 1 | 7.74 | 974 | 54 | 36 |
| 2 | Effluent | 1 | Non detected | 7.34 | 886 | 46 | 29 |
| 3 | Effluent | 9 | 4 | 7.04 | 886 | 47 | 13 |
| 4 | Effluent | 10 | 1 | 6.98 | 918 | 47 | 13 |
| 5 | Effluent | 13 | 11 | 7.58 | 1149 | 46 | 9 |
| 6 | Effluent | 11 | 8 | 8.06 | 1045 | 47 | 36 |
| 7 | Effluent | 4 | Non detected | 8.23 | 1078 | 46 | 44 |
| 8 | Effluent | 8 | 3 | 8.10 | 1085 | 48 | 19 |
| Respirometric Assay | Emerging Compound | MLSSs (mg/L) | HRT (h) | F/M (kg BOD5/(kg MLSS day)) | T (°C) | pH | Conductivity (μS/cm) |
|---|---|---|---|---|---|---|---|
| 1 | Bisphenol A | 2033 | 12 | 0.010 | 5 | 7.07 | 895 |
| 2 | Carbamazepine | 1633 | 12 | 0.015 | 8 | 7.11 | 898 |
| 3 | Ciprofloxacin | 2333 | 12 | 0.008 | 7 | 7.50 | 880 |
| 4 | Mixture | 2166 | 12 | 0.012 | 6 | 7.00 | 908 |
| 5 | Bisphenol A | 2400 | 18 | 0.006 | 6 | 8.31 | 1055 |
| 6 | Carbamazepine | 2333 | 18 | 0.007 | 5 | 7.92 | 1058 |
| 7 | Ciprofloxacin | 2000 | 18 | 0.009 | 5 | 7.85 | 1083 |
| 8 | Mixture | 2866 | 18 | 0.006 | 5 | 7.98 | 973 |
| Emerging Pollutant | Condition | μm (h−1) | KM (mgO2/L) | YH (mgVSS/mgO2) | bH (day−1) | rsu,H (mgO2/(L h)) | r’x,H (mgVSS/(L h)) |
|---|---|---|---|---|---|---|---|
| BPA (1) | Control | 0.0224 | 3.6823 | 0.6243 | 0.1011 | 47.8169 | 23.8453 |
| Doped | 0.0084 | 1.1049 | 0.6367 | 0.0761 | 18.5209 | 7.27150 | |
| Carbamazepine (1) | Control | 0.0259 | 4.0224 | 0.6868 | 0.0573 | 41.1775 | 25.4455 |
| Doped | 0.0314 | 5.1148 | 0.6691 | 0.0192 | 50.1847 | 32.6281 | |
| Ciprofloxacin (1) | Control | 0.0378 | 7.8164 | 0.6616 | 0.0478 | 85.7522 | 53.2429 |
| Doped | 0.0189 | 3.9671 | 0.6624 | 0.0351 | 46.2222 | 28.0582 | |
| Mixture (1) | Control | 0.0136 | 1.5602 | 0.6597 | 0.1132 | 29.6647 | 12.5654 |
| Doped | 0.0187 | 3.5492 | 0.6634 | 0.0960 | 38.9290 | 19.8848 | |
| BPA (2) | Control | 0.0455 | 9.2084 | 0.6597 | 0.1240 | 105.8741 | 60.3232 |
| Doped | 0.0172 | 2.0704 | 0.6720 | 0.0748 | 45.0740 | 24.5512 | |
| Carbamazepine (2) | Control | 0.0290 | 6.8468 | 0.6031 | 0.1336 | 80.9733 | 38.0842 |
| Doped | 0.0172 | 4.5470 | 0.5948 | 0.1172 | 50.7934 | 20.7853 | |
| Ciprofloxacin (2) | Control | 0.0283 | 6.3899 | 0.6083 | 0.1273 | 60.6133 | 28.9932 |
| Doped | 0.0201 | 4.5200 | 0.5699 | 0.1585 | 47.7319 | 17.3922 | |
| Mixture (2) | Control | 0.0215 | 5.4844 | 0.6281 | 0.0668 | 71.2456 | 38.3015 |
| Doped | 0.0132 | 2.5114 | 0.6378 | 0.0788 | 45.6430 | 21.5082 |
| Emerging Pollutant | Condition | μm (h−1) | KM (mgO2/L) | YH (mgVSS/mgO2) | bH (day−1) | rsu,H (mgO2/(L h)) | r’x,H (mgVSS/(L h)) |
|---|---|---|---|---|---|---|---|
| BPA (1) | Control | 0.0124 | 2.0447 | 0.3467 | 0.0562 | 49.2141 | 13.7248 |
| Doped | 0.0047 | 0.6135 | 0.3535 | 0.0423 | 18.6876 | 4.0965 | |
| Carbamazepine (1) | Control | 0.0162 | 2.5124 | 0.4290 | 0.0358 | 42.4592 | 16.4430 |
| Doped | 0.0196 | 3.1947 | 0.4179 | 0.0120 | 52.1435 | 21.1980 | |
| Ciprofloxacin (1) | Control | 0.0227 | 4.6943 | 0.3974 | 0.0287 | 90.9312 | 34.0342 |
| Doped | 0.0114 | 2.3825 | 0.3978 | 0.0211 | 47.7053 | 17.4411 | |
| Mixture (1) | Control | 0.0079 | 0.9010 | 0.3809 | 0.0653 | 30.0730 | 7.4117 |
| Doped | 0.0108 | 2.0496 | 0.3831 | 0.0554 | 40.1192 | 11.9389 | |
| BPA (2) | Control | 0.0263 | 5.3176 | 0.3809 | 0.0716 | 113.9012 | 37.8930 |
| Doped | 0.0099 | 1.1956 | 0.3881 | 0.0432 | 45.9095 | 15.5019 | |
| Carbamazepine (2) | Control | 0.0161 | 3.8018 | 0.3349 | 0.0742 | 85.8267 | 22.7722 |
| Doped | 0.0095 | 2.5248 | 0.3303 | 0.0651 | 52.8674 | 12.2263 | |
| Ciprofloxacin (2) | Control | 0.0157 | 3.5481 | 0.3378 | 0.0707 | 64.0897 | 17.2732 |
| Doped | 0.0112 | 2.5098 | 0.3164 | 0.0880 | 49.7099 | 10.2832 | |
| Mixture (2) | Control | 0.0119 | 3.0453 | 0.3488 | 0.0371 | 74.6500 | 22.4548 |
| Doped | 0.0073 | 1.3945 | 0.3542 | 0.0437 | 46.6750 | 12.3083 |
Disclaimer/Publisher’s Note: The statements, opinions and data contained in all publications are solely those of the individual author(s) and contributor(s) and not of MDPI and/or the editor(s). MDPI and/or the editor(s) disclaim responsibility for any injury to people or property resulting from any ideas, methods, instructions or products referred to in the content. |
© 2023 by the authors. Licensee MDPI, Basel, Switzerland. This article is an open access article distributed under the terms and conditions of the Creative Commons Attribution (CC BY) license (https://creativecommons.org/licenses/by/4.0/).
Share and Cite
Antiñolo Bermúdez, L.; Martín-Luis, A.; Leyva Díaz, J.C.; Muñío Martínez, M.d.M.; Poyatos Capilla, J.M. Kinetic Effects of Ciprofloxacin, Carbamazepine, and Bisphenol on Biomass in Membrane Bioreactor System at Low Temperatures to Treat Urban Wastewater. Membranes 2023, 13, 419. https://doi.org/10.3390/membranes13040419
Antiñolo Bermúdez L, Martín-Luis A, Leyva Díaz JC, Muñío Martínez MdM, Poyatos Capilla JM. Kinetic Effects of Ciprofloxacin, Carbamazepine, and Bisphenol on Biomass in Membrane Bioreactor System at Low Temperatures to Treat Urban Wastewater. Membranes. 2023; 13(4):419. https://doi.org/10.3390/membranes13040419
Chicago/Turabian StyleAntiñolo Bermúdez, Laura, Antonio Martín-Luis, Juan Carlos Leyva Díaz, María del Mar Muñío Martínez, and José Manuel Poyatos Capilla. 2023. "Kinetic Effects of Ciprofloxacin, Carbamazepine, and Bisphenol on Biomass in Membrane Bioreactor System at Low Temperatures to Treat Urban Wastewater" Membranes 13, no. 4: 419. https://doi.org/10.3390/membranes13040419
APA StyleAntiñolo Bermúdez, L., Martín-Luis, A., Leyva Díaz, J. C., Muñío Martínez, M. d. M., & Poyatos Capilla, J. M. (2023). Kinetic Effects of Ciprofloxacin, Carbamazepine, and Bisphenol on Biomass in Membrane Bioreactor System at Low Temperatures to Treat Urban Wastewater. Membranes, 13(4), 419. https://doi.org/10.3390/membranes13040419

