Study on Efficient Operating Conditions for Bipolar Membrane Electrodialysis Using Different Ion Species and Anion-Exchange Membranes
Abstract
1. Introduction
2. Materials and Methods
2.1. Materials
2.2. Characterization of Ion-Exchange Membrane
2.3. Measurement of Membrane Water Content
2.4. Measurement of Ion-Exchange Capacity (IEC)
2.5. Measurement of Membrane Resistance
2.6. Measurement of Dynamic State Transport Number
2.7. Measurement Condition of Small-Cell ED Test
2.8. BMED Test
3. Results
3.1. Characteristics of the IEMs
3.2. Small-Cell ED Test
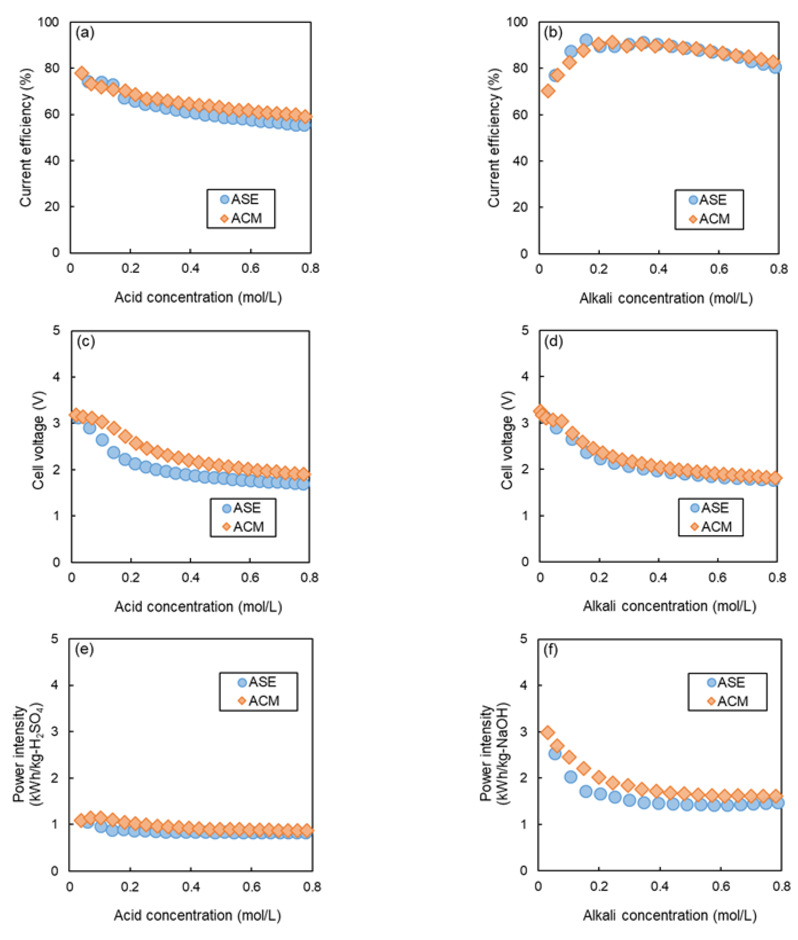
3.3. BMED Test with NaCl
3.4. BMED Test Using Na2SO4 as Feed Salt Solution
4. Conclusions
Author Contributions
Funding
Data Availability Statement
Acknowledgments
Conflicts of Interest
References
- The Intergovernmental Panel on Climate Change, Assessment Report 6th. Available online: https://www.ipcc.ch/report/ar6/wg1/ (accessed on 7 June 2024).
- International Energy Agency. CO2 Emissions in 2023—A New Record High, but Is There Light at the End of the Tunnel? Available online: https://www.iea.org/reports/co2-emissions-in-2023 (accessed on 7 June 2024).
- Japan Cement Association. Available online: https://www.jcassoc.or.jp/cement/2eng/e_02a.html (accessed on 7 June 2024).
- Dziejarski, B.; Krzyżyńska, R.; Andersson, K. Current status of carbon capture, utilization, and storage technologies in the global economy: A survey of technical assessment. Fuel 2023, 342, 127776. [Google Scholar] [CrossRef]
- Nakao, S.; Yogo, K.; Goto, K.; Kai, T.; Yamada, H. Advanced CO2 Capture Technologies Absorption, Adsorption, and Membrane Separation Methods; Springer: New York, NY, USA, 2019. [Google Scholar]
- Garcia, J.A.; Villen-Guzman, M.; Rodriguez-Maroto, J.M.; Paz-Garcia, J.M. Technical analysis of CO2 capture pathways and technologies. J. Environ. Chem. Eng. 2022, 10, 108470. [Google Scholar] [CrossRef]
- Soo, X.Y.D.; Lee, J.J.C.; Wu, W.-Y.; Tao, L.; Wang, C.; Zhu, Q.; Bu, J. Advancements in CO2 capture by absorption and adsorption: A comprehensive review. J. CO2 Util. 2024, 81, 102727. [Google Scholar] [CrossRef]
- Ho, M.T.; Allinson, G.W.; Wiley, D.E. Reducing the cost of CO2 capture from flue gases using membrane technology. Ind. Eng. Chem. Res. 2008, 47, 1562–1568. [Google Scholar] [CrossRef]
- Strathmann, H. Ion-Exchange Membrane Separation Processes; Elsevier: Amsterdam, The Netherlands, 2004; Volume 9. [Google Scholar]
- Sata, T. Ion Exchange Membranes: Preparation, Characterization, Modification and Application; The Royal Society of Chemistry: London, UK, 2004. [Google Scholar]
- Nagasubramanian, K.; Chlanda, F.P.; Liu, K.-J. Use of bipolar membranes for generation of acid and base—An engineering and economic analysis. J. Membr. Sci. 1977, 2, 109–124. [Google Scholar] [CrossRef]
- Jiang, C.; Wang, Y.; Wang, Q.; Feng, H.; Xu, T. Production of lithium hydroxide from lake brines through electro-electrodialysis with bipolar membranes (EEDBM). Ind. Eng. Chem. Res. 2014, 53, 6103–6112. [Google Scholar] [CrossRef]
- Battaglia, G.; Berkemeyer, L.; Cipollina, A.; Cortina, J.L.; Labastida, M.F.; Rodriguez, J.L.; Winter, D. Recovery of lithium carbonate from dilute Li-Rich brine via homogenous and heterogeneous precipitation. Ind. Eng. Chem. Res. 2022, 61, 13589–13602. [Google Scholar] [CrossRef] [PubMed]
- Schlichter, B.; Mavrov, V.; Erwe, T.; Chmiel, H. Regeneration of bonding agents loaded with heavy metals by electrodialysis with bipolar membranes. J. Membr. Sci. 2004, 232, 99–105. [Google Scholar] [CrossRef]
- New Energy and Industrial Technology Development Organization. Available online: https://green-innovation.nedo.go.jp/en/ (accessed on 7 June 2024).
- Sumitomo Osaka Cement. Available online: https://www.soc.co.jp/news/63859/ (accessed on 11 November 2024).
- Koivisto, E.S.; Reuter, T.; Zevenhoven, R. Performance optimization of bipolar membrane electrodialysis of ammonium sulfate/bisulfate reagents for CO2 mineralization. ACS EST Water 2023, 3, 1953–1962. [Google Scholar] [CrossRef]
- Chen, T.; Bi, J.; Ji, Z.; Yuan, J.; Zhao, Y. Application of bipolar membrane electrodialysis for simultaneous recovery of high-value acid/alkali from saline wastewater: An in-depth review. Water Res. 2022, 226, 119274. [Google Scholar] [CrossRef] [PubMed]
- Raucq, D.; Pourcelly, G.; Gavach, C. Production of sulphuric acid and caustic soda from sodium sulphate by electromembrane processes. Comparison between electro-electrodialysis and electrodialysis on bipolar membrane. Desalination 1993, 91, 163–175. [Google Scholar] [CrossRef]
- Higa, M.; Nishimura, M.; Kinoshita, K.; Jikihara, A. Characterization of cation-exchange membranes prepared from poly(vinyl alcohol) and poly(vinyl alcohol-b-styrene sulfonic acid). Int. J. Hydrogen Energy 2012, 37, 6161–6168. [Google Scholar] [CrossRef]
- Kakihana, Y.; Hashim, N.A.; Mizuno, T.; Anno, M.; Higa, M. Ionic transport properties of cation-exchange membranes prepared from poly(vinyl alcohol-b-sodium styrene sulfonate). Membranes 2021, 11, 452. [Google Scholar] [CrossRef] [PubMed]
- Wang, L.; Li, Z.; Xu, Z.; Zhang, F.; Efome, J.E.; Li, N. Proton blockage membrane with tertiary amine groups for concentration of sulfonic acid in electrodialysis. J. Membr. Sci. 2018, 555, 78–87. [Google Scholar] [CrossRef]
- Filingeri, A.; Lopez, J.; Culcasi, A.; Leon, T.; Tamburini, A.; Cortina, J.L.; Micale, G.; Cipollina, A. In-depth insights on multi-ionic transport in electrodialysis with bipolar membrane systems. Chem. Eng. J. 2023, 468, 143673. [Google Scholar] [CrossRef]










| Salt Compartment | Acid Compartment | ||
|---|---|---|---|
| Solution | Conc. (mol/L) | Solution | Conc. (mol/L) | 
| NaCl | 1.0 | HCl | 0.2 | 
| 0.5 | |||
| Na2SO4 | 1.0 | H2SO4 | 0.2 | 
| 0.5 | |||
| AEM | Electrode Compartment | Salt Compartment | Acid Compartment | Alkali Compartment | ||||
|---|---|---|---|---|---|---|---|---|
| Solution | Conc. (mol/L) | Solution | Conc. (mol/L) | Solution | Conc. (mol/L) | Solution | Conc. (mol/L) | |
| ASE | NaOH | 1.0 | NaCl | 1.0 | NaCl | 0.001 | NaCl | 0.001 | 
| ACM | ||||||||
| ASE | NaOH | 1.0 | Na2SO4 | 1.0 | Na2SO4 | 0.001 | Na2SO4 | 0.001 | 
| ACM | ||||||||
| t (−) | R (Ωcm2) | W (%) | IEC (meq/g) | d (µm) | ||
|---|---|---|---|---|---|---|
| CEM | CSE | 0.99 | 2.03 | 27.0 | 1.98 | 148 | 
| AEM | ASE | 0.99 | 2.77 | 16.0 | 1.96 | 150 | 
| ACM | 0.94 | 3.23 | 15.0 | 1.45 | 110 | 
| AEM | Salt Compartment | Acid Compartment | Alkali Compartment | |||||||||
|---|---|---|---|---|---|---|---|---|---|---|---|---|
| Solution | Conc. (mol/L) | Solution | Conc. (mol/L) | Current Efficiency (%−HCl) | Power Intensity (kWh/kg−HCl) | Solution | Conc. (mol/L) | Current Efficiency (%−NaOH) | Power Intensity (kWh/kg−NaOH) | Cell Voltage (V) | ||
| ASE | NaCl | 1.0 | HCl | 0.2 | 89.7 | 1.54 | NaOH | 0.2 | 95.5 | 1.31 | 1.86 | |
| 0.5 | 85.7 | 1.42 | 0.5 | 87.4 | 1.26 | 1.64 | ||||||
| ACM | NaCl | 1.0 | HCl | 0.2 | 90.6 | 1.57 | NaOH | 0.2 | 97.6 | 1.32 | 1.92 | |
| 0.5 | 98.1 | 1.31 | 0.5 | 92.0 | 1.27 | 1.74 | ||||||
| AEM | Salt Compartment | Acid Compartment | Alkali Compartment | ||||||||
|---|---|---|---|---|---|---|---|---|---|---|---|
| Solution | Conc. (mol/L) | Solution | Conc. (mol/L) | Current Efficiency (%−H2SO4) | Power Intensity (kWh/kg−H2SO4) | Solution | Conc. (mol/L) | Current Efficiency (%−NaOH) | Power Intensity (kWh/kg−NaOH) | Cell Voltage(V) | |
| ASE | Na2SO4 | 1.0 | H2SO4 | 0.2 | 67.3 | 0.90 | NaOH | 0.2 | 89.6 | 1.67 | 2.23 | 
| 0.5 | 61.2 | 0.84 | 0.5 | 88.9 | 1.44 | 1.91 | |||||
| ACM | Na2SO4 | 1.0 | H2SO4 | 0.2 | 70.3 | 1.04 | NaOH | 0.2 | 90.4 | 2.02 | 2.72 | 
| 0.5 | 64.6 | 0.92 | 0.5 | 88.9 | 1.66 | 2.20 | |||||
| Disclaimer/Publisher’s Note: The statements, opinions and data contained in all publications are solely those of the individual author(s) and contributor(s) and not of MDPI and/or the editor(s). MDPI and/or the editor(s) disclaim responsibility for any injury to people or property resulting from any ideas, methods, instructions or products referred to in the content. | 
© 2024 by the authors. Licensee MDPI, Basel, Switzerland. This article is an open access article distributed under the terms and conditions of the Creative Commons Attribution (CC BY) license (https://creativecommons.org/licenses/by/4.0/).
Share and Cite
Kikuchi, S.; Hirao, S.; Kayakiri, S.; Kakihana, Y.; Higa, M. Study on Efficient Operating Conditions for Bipolar Membrane Electrodialysis Using Different Ion Species and Anion-Exchange Membranes. Membranes 2024, 14, 262. https://doi.org/10.3390/membranes14120262
Kikuchi S, Hirao S, Kayakiri S, Kakihana Y, Higa M. Study on Efficient Operating Conditions for Bipolar Membrane Electrodialysis Using Different Ion Species and Anion-Exchange Membranes. Membranes. 2024; 14(12):262. https://doi.org/10.3390/membranes14120262
Chicago/Turabian StyleKikuchi, Sadato, Souichiro Hirao, Shunya Kayakiri, Yuriko Kakihana, and Mitsuru Higa. 2024. "Study on Efficient Operating Conditions for Bipolar Membrane Electrodialysis Using Different Ion Species and Anion-Exchange Membranes" Membranes 14, no. 12: 262. https://doi.org/10.3390/membranes14120262
APA StyleKikuchi, S., Hirao, S., Kayakiri, S., Kakihana, Y., & Higa, M. (2024). Study on Efficient Operating Conditions for Bipolar Membrane Electrodialysis Using Different Ion Species and Anion-Exchange Membranes. Membranes, 14(12), 262. https://doi.org/10.3390/membranes14120262
 
        



 
       