Next Article in Journal
Test Study on Vortex-Induced Vibration of Deep-Sea Riser under Bidirectional Shear Flow
Previous Article in Journal
Rostral Geometric Morphometrics in a Hippolytid Shrimp: Are There Elements That Reflect the Homozygous/Heterozygous State of Its Morphotypes?
 
 
Font Type:
Arial Georgia Verdana
Font Size:
Aa Aa Aa
Line Spacing:
Column Width:
Background:
Article

COLREGS-Complied Automatic Collision Avoidance for the Encounter Situations of Multiple Vessels

College of Navigation, Dalian Maritime University, Dalian 116026, China
*
Author to whom correspondence should be addressed.
J. Mar. Sci. Eng. 2022, 10(11), 1688; https://doi.org/10.3390/jmse10111688
Submission received: 10 October 2022 / Revised: 28 October 2022 / Accepted: 29 October 2022 / Published: 7 November 2022
(This article belongs to the Section Ocean Engineering)

Abstract

In crowded waters, the incidence of collision accidents of multiple vessels has increased significantly, most of which can be ascribed to human factors, particularly, human decision-making failures and inobservance with International Regulations for Preventing Collisions at Sea (COLREGS). On this basis, an automatic collision avoidance strategy for the encounter situations of multiple vessels is proposed herein. First of all, a COLREGS-complied evasive action decision-making mechanism is established, which can determine the evasive action from the give-way vessel and stand-on vessel separately. It is worth emphasizing that the situation of vessels against COLREGS is taken into consideration herein. Furthermore, a novel automatic collision avoidance controller of multiple vessels on account of model predictive control (MPC) is devised, which can carry out control action ahead of time and handle the problem of rudder saturation. Finally, the effectiveness of the proposed automatic collision avoidance strategy of multiple vessels is illustrated via extensive simulations.

1. Introduction

Over the years, the incidence of ship collision accidents has taken a large proportion in all kinds of marine accidents, causing environmental contamination, economic losses, and casualties. In the light of the exiting statistics, over 80% of ship collision accidents are ascribed to human factors, namely, human decision-making failures and inobservance with COLREGS [1,2,3,4]. Therefore, to eliminate or alleviate the influence of human factors on navigation safety, scholars have paid more attention into improving the automation level of autonomous surface vehicles (ASVs), which can solve the problem of poor human judgment and the inability to react quickly [5,6,7,8]. Meanwhile, under the premise of fully considering COLREGS, the automatic collision avoidance control of ASV will be realized, which can decrease the collision accident rate and guarantee navigation safety.
Although the automation level of ASV is improving, most of the existing research is limited to the automatic collision avoidance control between two vessels [9,10,11,12,13,14]. With the increasing congestion of marine traffic, the collision probability among multiple vessels is likely to increase drastically, which makes the decision-making for collision avoidance more complicated. Therefore, scholars have begun to concentrate on the studies of automatic collision avoidance control of multiple vessels and achieved a series of results [1,15,16,17,18]. Nevertheless, COLREGS were not considered in the above-mentioned studies, and in the actual marine navigation, vessels need to abide by COLREGS put forward by International Maritime Organization (IMO) in 1972. Firstly, it represents the underlying collision situations between encountering vessels and supplies a sequence of guidelines to guarantee navigation safety; secondly, owing to the complication of the actual marine environment, it is difficult to depict all probable situations in the form of guidelines [16]. It is worth noting that COLREGS are set out for the operators on board, and there are no detailed and specific rules about the decision-making of automatic collision avoidance, especially in the case of the encounter situations of multiple ships. After all, it is still a huge challenge to implement automatic collision avoidance of multiple vessels whether under the premise of considering or ignoring COLREGS, which needs further research.
For decades, most previous research about the automatic collision avoidance of multiple vessels have focused on the determination of evasive action, however, the influence of ship maneuverability on the automatic collision avoidance control is normally ignored [19,20,21,22,23]. In fact, owing to the large inertia and input constraints of ship motion, if ship maneuverability is not fully considered, it will lead to the failure of collision avoidance, which causes collision accidents and threatens navigation safety. MPC is increasingly used for ship motion control because of its advantages in forecasting ability and handling input constraints [24,25,26]. In particular, the forecasting ability of MPC can predict the future state of ships in advance, which can alleviate the influence of large inertia; and input constraints can be incorporated into the optimization process of MPC. Therefore, inspired by the above work, we will consider the ship maneuverability and use the advantages of MPC to achieve automatic collision avoidance control of multiple vessels herein.
Inspired by the aforementioned research, a COLREGS-complied automatic collision avoidance strategy for encounter situations of multiple vessels based on MPC is proposed herein. A COLREGS-complied real-time evasive action decision-making mechanism is firstly set up to determine the evasive action from the give-way vessel and stand-on vessel separately. Furthermore, it is worth emphasizing that the situation of ships against COLREGS is considered herein. Moreover, an automatic collision avoidance controller on account of MPC is devised, presenting the advantages of forecasting ability and solving input constraints, with the ability to carry out control action beforehand and solve the problem of rudder saturation.
The main contributions of this paper are summarized as follows:
(1)
A COLREGS-complied real-time evasive action decision-making mechanism is established to determine the evasive action from the give-way vessel and stand-on vessel separately, and the situation of vessels disregarding COLREGS is taken into account herein;
(2)
Taking the large inertia and input constraints into account, an automatic collision avoidance controller on the strength of MPC for multiple vessels is devised, which can carry out the control action beforehand and solve the problem of rudder saturation.
The rest of this paper is organized as follows. Section 2 provides the preliminaries and problem formulation. Section 3 presents the controller design. Section 4 proposes the simulation results and analysis. Section 5 draws the conclusions.

2. Preliminaries and Problem Formulation

2.1. The Ship Simulation Model

For the purpose of depicting the ship motion accurately, a sophisticated ship model is applied to simulate the ship motion in the collision avoidance of multiple vessels, and the specific form is depicted as in Ref. [27].
[ u ˙ i v ˙ i r ˙ i ψ ˙ i x ˙ i y ˙ i δ ˙ i ] = [ X ¯ i m ¯ 11 U ¯ i 2 L ¯ i ( m ¯ 33 Y ¯ i + m ¯ 23 N ¯ ) ( m ¯ 22 m ¯ 33 m ¯ 23 m ¯ 32 ) U ¯ i 2 L ¯ i ( m ¯ 32 Y ¯ i + m ¯ 22 N ¯ ) ( m ¯ 22 m ¯ 33 m ¯ 23 m ¯ 32 ) U ¯ i 2 L ¯ i 2 r i U ¯ i L ¯ i ( cos ( ψ i ) ( U ¯ 0 U ¯ i + u i ) sin ( ψ i ) v i ) U ¯ i ( sin ( ψ i ) ( U ¯ 0 U ¯ i + u i ) + cos ( ψ i ) v i ) U ¯ i ( δ i c - δ i ) T n ]
here i denotes the numbers of ships in collision avoidance; x i , y i , and ψ i are the position and orientation; u i , v i , and r i represent velocities of 3-DoF; L ¯ i and U ¯ i are the length and velocity of ship; δ i and δ i c are rudder angle and command rudder angle; U ¯ 0 and T n are constants; X ¯ and Y ¯ are forces; N ¯ is the moment; m ¯ 11 = m X u ˙ , m ¯ 22 = m Y v ˙ , m ¯ 23 = m X g Y r ˙ , m ¯ 32 = m X g N v ˙ , m ¯ 33 = I z N r ˙ ; X u ˙ , Y v ˙ , and et al. are the hydrodynamic parameters.

2.2. The COLREGS-Complied Evasive Action Decision-Making Mechanism

2.2.1. Estimate the Collision Risk of Multiple Vessels

The estimate of collision risk is the prerequisite to realize the automatic collision avoidance of multiple vessels. Most studies have poured more attention into the distance to the closest point of approach (DCPA) and the time to the closest point of approach (TCPA) to estimate the collision risk [28,29]. On this basis, the collision risk of multiple vessels is estimated via DCPA and TCPA. The D C P A i j and T C P A i j between s h i p i and s h i p j is calculated as follows.
According to the position and velocity of s h i p i and s h i p j , the velocity and course of s h i p j relative to s h i p i can be described as
V R i j = [ ( V j cos ψ j V i cos ψ i ) 2 + ( V j sin ψ j V i sin ψ i ) 2 ] 1 2 , ψ R i j = atan 2 [ ( V j sin ψ j V i sin ψ i ) , ( V j cos ψ j V i cos ψ i ) ]
where V R i j and ψ R i j indicate the velocity and course of s h i p j relative to s h i p i ; V i and ψ i are the velocity and course of s h i p i ; V j and ψ j are the velocity and course of s h i p j .
Then, the true bearing of s h i p j relative to s h i p i is calculated
α i j = a tan 2 [ ( y j y i ) , ( x j x i ) ]
here ( x i , y i ) and ( x j , y j ) denote the position of s h i p i and s h i p j ; the value range of function atan2 is ( π , π ] , but the value range of ψ R i j and α i j is [ 0 , 2 π ) , i.e., if the calculated value ψ R i j and α i j are negative, ψ R i j and α i j need to plus 2 π .
Furthermore, the D C P A i j and T C P A i j is obtained
D C P A i j = R i j × sin ( ψ R i j α i j π ) T C P A i j = R i j × cos ( ψ R i j α i j π ) / V R i j
On account of Equation (4), the collision risk can be estimated by the D C P A i j and T C P A i j . D C P A i j indicates the minimal distance of two vessels in approach, and T C P A i j denotes the time required for two vessels to reach the closest point. If D C P A i j is smaller than the threshold value, namely, the distance at the safety point of approach (DSPA) and T C P A i j is positive, it means two vessels are approaching and the minimal distance of two vessels in approach cannot ensure navigation safety, which cause the collision risk between s h i p i and s h i p j .

2.2.2. Distinguish the Collision Situation and Collision Avoidance Responsibility on Account of COLREGS

In the encounter situation of multiple vessels, there are no specific rules to regulate the evasive action of each vessel. However, the problem of the encounter situation of multiple vessels is separated into the multiple encounter situation of two vessels to handle. Therefore, the collision situation and collision avoidance responsibility of two vessels can be distinguished by rules 13–17 of COLREGS [21]. Among them, the encounter situation of two vessels is classified as three categories: head-on situation, crossing situation, and overtaking; and two ships in collision are distinguished as the give-way vessel and stand-on vessel [30,31]. The detailed distinguishing process is shown in Figure 1.
where α j i is the true bearing of s h i p i relative to s h i p j
α j i = { α i j + π , if   α i j < π α i j π , if   α i j π
R B i j represents the bearing of s h i p j relative to s h i p i , and R B j i is contrary to R B i j . The specific form of R B i j and R B j i is depicted as
R B i j = { α i j ψ i , if   α i j ψ i α i j ψ i + 2 π , if   α i j < ψ i R B j i = { α j i ψ j , if   α j i ψ j α j i ψ j + 2 π , if   α j i < ψ j
In accordance with COLREGS, the ships in collision are distinguished as the give-way vessel and stand-on vessel, and they require to take actions to avert collision respectively. The give-way vessel ought to take evasive action as early as possible to ensure that the stand-on vessel can understand its intention. In addition, the urgency of collision avoidance should be considered in the evasive action taken by the give-way vessel and stand-on vessel. According to the distance between two vessels, the area around the ship is divided into four concentric circles zones: safety zone, alerting zone, action zone, and emergency zone separately [11], as shown in Figure 2. Safety zone refers to the zone with a distance of more than 10 miles from own ship, and the collision risk between vessels is not considered. Alerting zone denotes the zone with a distance between 6 miles and 10 miles from own ship, where the collision risk between vessels may increase as ships get closer. Action zone means that the distance from own ship is less than 6 miles, and if there is the collision risk between two vessels, the give-way vessel demands to take evasive action. Emergency zone refers to the zone with a distance less than 4 miles from own ship, if the collision risk is existing, the stand-on vessel ought to take evasive action to ensure navigation safety. To sum up, combining the urgency of collision avoidance with DCPA and TCPA, the evasive action can be determined as the following two situations.
(1)
In the action zone, if D C P A < D S P A , T C P A > 0 , the give-way vessel requires to take evasive action;
(2)
In the emergency zone, if D C P A < D S P A , T C P A > 0 , the stand-on vessel demands to take evasive action to guarantee navigation safety.

2.2.3. The Evasive Action of the Give-Way Vessel

According to COLREGS, the evasive action taken by the give-way vessel requires to be timely and clearly to be detected by the stand-on vessel. If the give-way vessel alters course to avert collision, the course alteration ought to be dramatic. The evasive action of the give-way vessel is described in Figure 3. The OS and TS represent own ship and target ship; θ is the optional course alteration; n is the number of the TS that OS requires to give way; n n is the course difference between the current ship course and the true bearing.
The evasive action of the give-way vessel is described as
(1)
Distinguish the give-way vessel and stand-on vessel. In the alerting zone and action zone, the OS is regarded as the give-way vessel, the TS which has collision risk with OS is deemed as the stand-on vessel;
(2)
Calculate D C P A j ( θ ) and D C P A j ( θ ) . After own ship turns θ degrees, the D C P A j ( θ ) between OS and each TS is recalculated; if θ > n n , the D C P A j ( θ ) between OS and each TS after OS turns θ degrees is calculated;
(3)
Determine the safe course alteration based on DSPA. If D C P A j ( θ ) > D S P A , then θ is the safe course alteration; similarly, if D C P A j ( θ ) > D S P A , then θ is the safe course alteration; otherwise, the course alteration θ will increase 0.25 degrees, and back to step 2.

2.2.4. The Evasive Action of the Stand-On Vessel

Based on COLREGS, the stand-on vessel requires to maintain the velocity at the beginning of collision avoidance, however, if the give-way vessel breaches the rules, the stand-on vessel demands to take the appropriate evasive action. In this paper, if the give-way vessel enters the emergency zone of the stand-on vessel and the collision risk still exists, at the point, the stand-on vessel ought to take the evasive action. The detailed steps of the stand-on vessel to decide the evasive action is described in Figure 4. Similarly, the evasive action of the stand-on vessel is described as three steps as well as the give-way vessel, however, there is no limit of portside turning, because the ship can turn to portside or starboard side in the emergency zone.

2.3. Problem Formulation

A COLREGS-complied automatic collision avoidance strategy of multiple vessels is presented herein, and the design block diagram is shown in Figure 5. A COLREGS-complied real-time evasive action decision-making mechanism is firstly established. Specifically, the collision risk of multiple vessels is evaluated by the real-time DCPA and TCPA, and if there is collision risk, path-following of multiple vessels is achieved based on the LOS algorithm, which can calculate the desired course ψ i L O S to make ship- i follow the planned route before collision avoidance. Then, if there is collision risk, based on COLREGS, the evasive action can be determined from the give-way vessel and stand-on vessel. Meanwhile, on the strength of the current position ( x i c , y i c ) and the desired position ( x i d , y i d ) after collision avoidance, the desired course ψ i P after collision avoidance is calculated by atan2 function. Furthermore, the situation which ships against COLREGS is taken into consideration herein. Finally, a novel automatic collision avoidance controller on account of MPC is devised, which can carry out control action beforehand and solve the problem of rudder saturation.

3. Controller Design

The desired course ψ i d is described as follows
ψ i d = { ψ i L O S , Without   the   action   of   collisoin   avoidance ψ i P , With   the   action   of   collisoin   avoidance  
here ψ i L O S represents the desired course before collision avoidance, which can be calculated by the LOS algorithm [32,33,34].
ψ i L O S = a tan 2 ( y i L O S y i , x i L O S x i )
where, ( x i L O S , y i L O S ) denotes the position of LOS point; ( x i , y i ) is the current position of s h i p i before collision avoidance.
ψ i P = a tan 2 ( y i d y i c , x i d x i c )
here, ψ i P denotes the desired course after collision avoidance; ( x i d , y i d ) represents the position of desired point; ( x i c , y i c ) is the current position of s h i p i after collision avoidance.
Generally, each ship should alter the course to the desired angle in the fastest way. Because the range of desired course and ship course is [ 0 , 2 π ) , Equation (7) is transformed as.
ψ i d = { ψ i d + 2 π , if   ψ i ψ i d > π ψ i d 2 π , if   ψ i ψ i d < π
To alleviate the influence of large inertia and input constraints in collision avoidance, a novel automatic collision avoidance controller on the strength of MPC is devised, owing to its virtues of the forecasting ability and solving input constraints, which can carry out the control action beforehand and solve the input saturation [35,36].
By linearizing Equation (1), the s h i p i model is transformed as
ζ ˙ i ( t ) = P ζ i ( t ) + Q δ i ( t ) y i ( t ) = A ζ i ( t )
here ζ i = [ ψ ˜ i r i ] R 2 × 1 , ψ ˜ i = ψ i ψ i d , before collision avoidance ψ ˜ i = ψ i ψ i L O S , and ψ ˜ i = ψ i a ψ i P after collision avoidance, here, ψ i a is the current course with the action of collision avoidance, and ψ i a = m + ψ i , here, m is the course alteration of give-way and stand-on vessel determined by Figure 3 and Figure 4; A = [ 1 0 ] , P = [ 0 1 0 p ] R 2 × 2 , Q = [ 0 q ] R 2 × 1 , p and q are constants; δ i ( t ) is rudder input.
On account of a sampling time, Equation (11) is discretized as
ζ i ( Τ + 1 ) = P ¯ ζ i ( Τ ) + Q ¯ δ i ( Τ ) y i ( Τ ) = A ¯ ζ i ( Τ )
Given N c as input horizon, N p as prediction horizon, and the future input U i = [ δ i ( Τ ) , δ i ( Τ + 1 ) , , δ i ( Τ + N c 1 ) ] . The future state sequence is expressed as
ζ i ( Τ + 1 | Τ ) = P ¯ ζ i ( Τ ) + Q ¯ δ i ( Τ ) ζ i ( Τ + 2 | Τ ) = P ¯ ζ i ( Τ + 1 | Τ ) + Q ¯ δ i ( Τ + 1 ) = P ¯ 2 ζ i ( Τ ) + P ¯ Q ¯ ζ i ( Τ ) + Q ¯ ζ i ( Τ + 1 ) ζ i ( Τ + N p | Τ ) = P ¯ N p ζ i ( Τ ) + P ¯ N p 1 Q ¯ δ i ( Τ ) + + P ¯ N p N c Q ¯ δ i ( Τ + N c 1 )
According to the future state sequence, the future output sequence is described as
y i ( Τ + 1 | Τ ) = A ¯ P ¯ ζ i ( Τ ) + A ¯ Q ¯ δ i ( Τ ) y i ( Τ + 2 | Τ ) = A ¯ P ¯ ζ i ( Τ + 1 | Τ ) + A ¯ Q ¯ δ i ( Τ + 1 ) = A ¯ P ¯ 2 ζ i ( Τ ) + A ¯ P ¯ Q ¯ δ i ( Τ ) + A ¯ Q ¯ δ i ( Τ + 1 ) y i ( Τ + N p | Τ ) = A ¯ P ¯ N p ζ i ( Τ ) + A ¯ P ¯ N p 1 Q ¯ δ i ( Τ ) + + A ¯ P ¯ N p N c Q ¯ δ i ( Τ + N c 1 )
The following vector is described as
Y i = [ y i ( Τ + 1 | Τ ) , y i ( Τ + 2 | Τ ) ,     ,   y i ( Τ + N p | Τ ) ] T R N p × 1
For convenience, Equation (15) is expressed as
Y i = F ζ i ( Τ ) + Φ U i
where Φ = [ A ¯ P ¯ Q ¯ 0 0 A ¯ P ¯ Q ¯ P ¯ Q ¯ 0 A ¯ P ¯ N p 1 Q ¯ A ¯ P ¯ N p 2 Q ¯ A ¯ P ¯ N p N c Q ¯ ] R N p × N c , F = [ A ¯ P ¯ A ¯ P ¯ 2 A ¯ P ¯ N p ] R N p × 2 .
The cost function can be written as
J i = Ζ ι T Q W Ζ ι + U i T R W U i
here, Z i = R i s Y i , R i s = [ 1 1 1 ] N p T ψ i d ; Q W and R W are the weighting matrices.
It is worth noting that Equation (17) is subjected to the following condition.
δ min δ i ( Τ + j ) δ max ,   j = 0 , 1 , N c 1

4. Simulation Results

In this part, the simulations of four different scenarios in encounter situations of four ships are carried out to testify the effectiveness of the presented COLREGS-complied automatic collision avoidance strategy of multiple vessels. Specifically, the first simulation scenario is that all ships in the encounter situation follow the presented strategy; the second scenario is that all ships observe the presented strategy, except for ship-4; and the third simulation scenario is that only ship-1 abides by the presented strategy and the other ships keep the velocity and course; the last simulation is carried out in scenario 3 under environment disturbances. Note that a high-fidelity ship model is used in the simulations and the specific parameters are described in Ref. [27]. The parameters of the presented controller are set as N p = 30 , N c = 5 , a = 0.0093 , and b = 0.0017 .

4.1. The Effectiveness of the Presented Strategy in Scenario 1

In this part, the simulation in scenario 1 is conducted to validate the effectiveness of the presented strategy, in which all ships in the encounter situation are required to follow the presented strategy. The initial state of the four ships is described in Table 1 and the initial velocity of all ships is 15 knots.
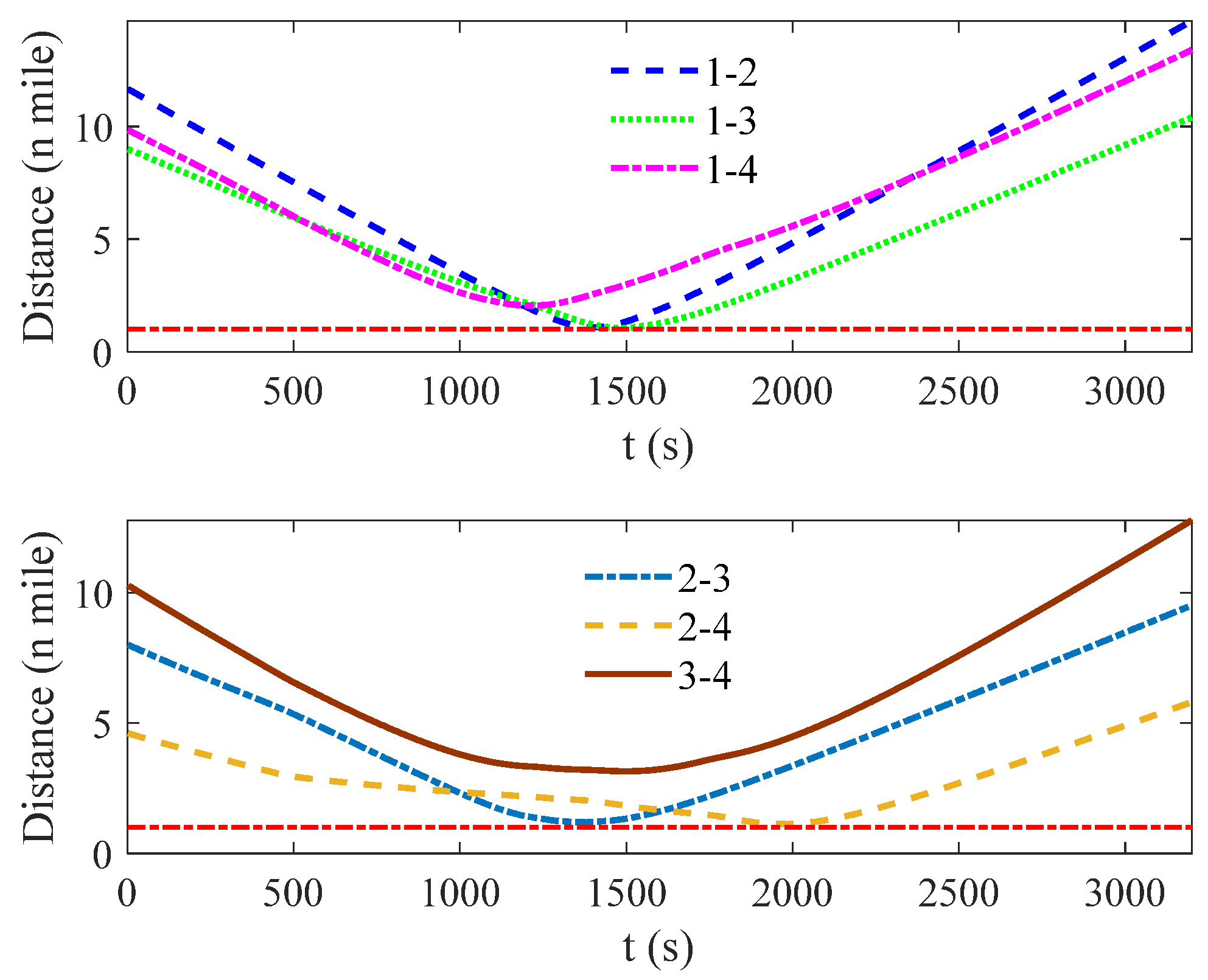
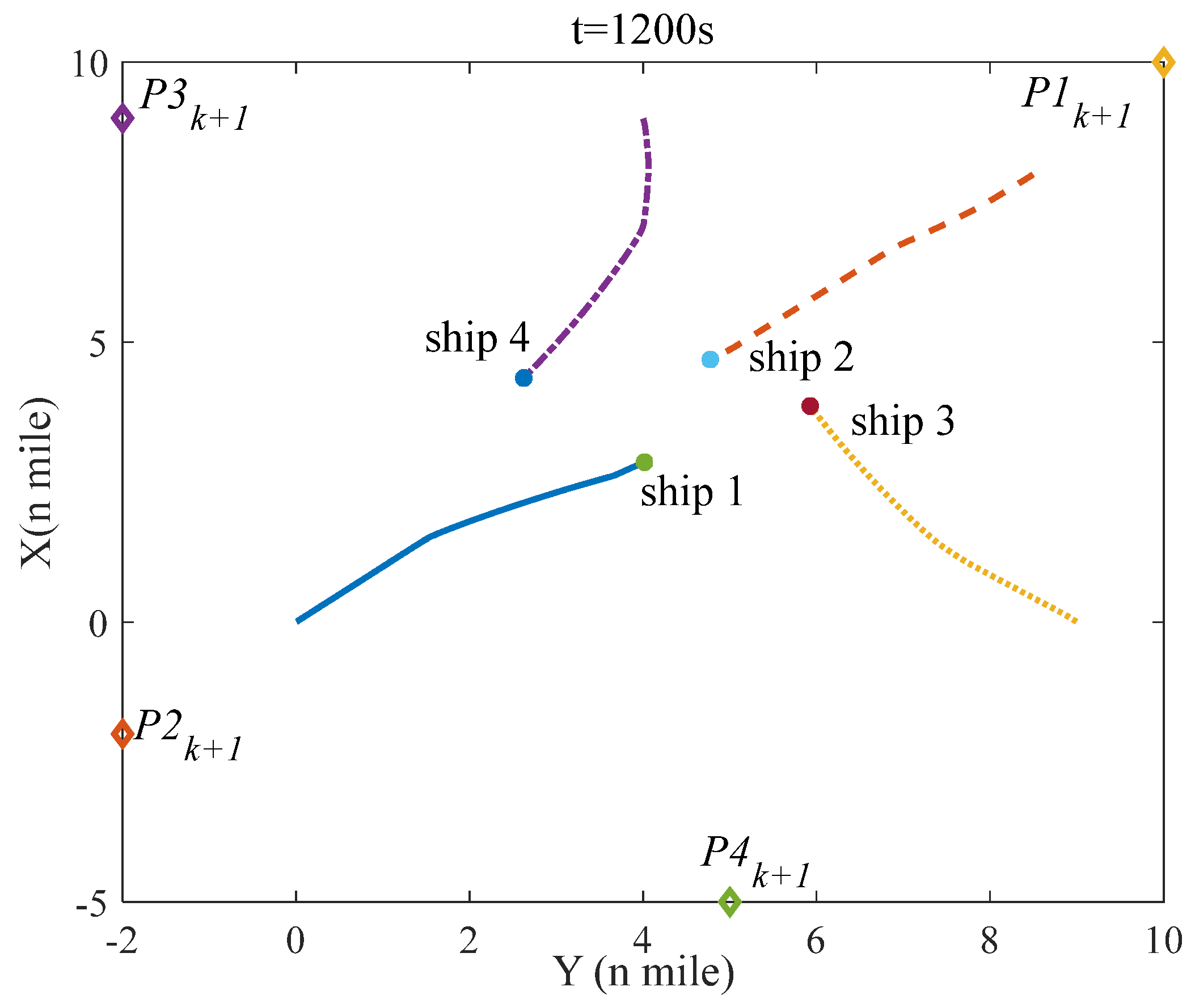
Figure 6 denotes the initial situation of four ships in scenario 1; Figure 7, Figure 8, Figure 9 and Figure 10 show the situation of four ships in scenario 1 at 600 s, 1200 s, 2400 s, and 3200 s; and Figure 11 indicates the distance between two ships. As seen in Figure 6, the distance between any two ships is more than 6 miles, which means that no evasive action is required to be taken and four ships in scenario 1 sail on the planned route. However, with time going on, the distance is decreasing, which can raise the collision risk, and once the collision risk is higher than the threshold value, the evasive action ought to be taken. According to the rule 15 of COLREGS, ship-1 and ship-3 are in a crossing situation and ship-1 should give way to ship-3; similarly, ship-3 demands to keep away from ship-2, ship-2 requires to remove from ship-4, and ship-4 should stand off ship-1. It is shown in the simulation results that each ship in scenario 1 takes evasive action based on COLREGS, and in Figure 11, the minimal distance between any two ships is not less than 1 mile, which means that the navigation safety of each ship can be guaranteed. Furthermore, whether before or after collision avoidance, four ships can navigate to the next waypoint ( P k + 1 i ).

4.2. The Effectiveness of the Presented Strategy in Scenario 2

In scenario 2, all ships in the encounter situation comply with the presented strategy, except for ship–4. The initial state of the four ships is described in Table 2 and the initial velocity of all ships is 15 knots.
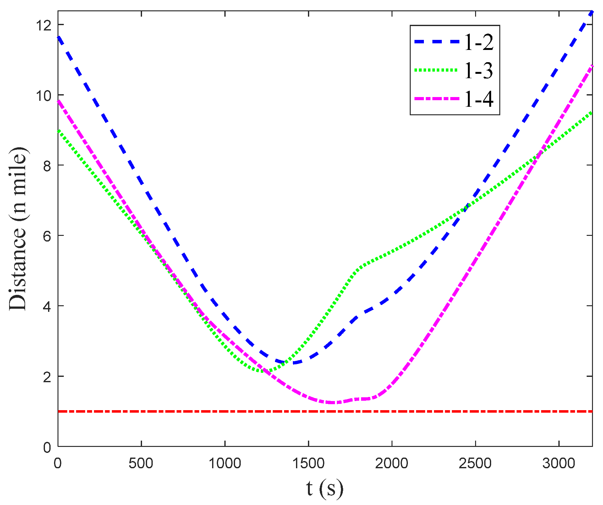
Figure 12 shows the initial situation of four ships in scenario 2; Figure 13, Figure 14, Figure 15 and Figure 16 indicate the situation of four ships at 600 s, 1200 s, 2400 s, and 3200 s; and Figure 17 denotes the distance between two ships in scenario 2. The initial situation is the same as scenario 1, thus, the responsibility for collision avoidance of each ship is also the same. However, unlike scenario 1, ship–4 breaches COLREGS in scenario 2, and ship–4 is a give–way vessel but does not take evasive action and sails on the current velocity and course. Owing to the violations of ship–4, ship–1 as a stand–on vessel in a crossing situation ought to take evasive action based on rule 17 of COLREGS. As shown in the simulation results, ship–1 has taken the appropriate evasive action to keep away from ship–2 and ship–4, and Figure 17 shows that the minimal distance of any two ships is more than 1 mile, which ensures the navigation safety of each ship, and each ship can sail to the next waypoint ( P k + 1 i ).

4.3. The Effectiveness of the Presented Strategy in Scenario 3

The simulation in scenario 3 is carried out to validate the effectiveness of the presented COLREGS–complied automatic collision avoidance strategy in case some ships disregard the rules, in which only ship–1 complies with the presented strategy. The initial state of the four ships is described in Table 2, and the initial velocity of all ships is 15 knots.
Figure 18 indicates the initial situation of four ships in scenario 3; Figure 19, Figure 20 and Figure 21 denote the situation of the four ships in scenario 3 at 600 s, 2400 s, and 3200 s separately; Figure 22 denotes the distance between ship–1 and other ships; and Figure 23 indicates the course and rudder angle of ship–1. As we can see in Figure 19, Figure 20, Figure 21 and Figure 22, the distance between ship–1 and other ships is more than 1 mile, which means that the collision avoidance between ship–1 and other ships can be achieved, and after collision avoidance, ship–1 can navigate to the destination. From Figure 23, it can be concluded that the rudder angle of ship–1 is within the limitation.
In summary, the effectiveness of the presented COLREGS–complied automatic collision avoidance strategy for the encounter situations of multiple vessels has been illustrated in the above simulations.

4.4. The Effectiveness of the Presented Strategy in Scenario 3 under Environment Disturbance

Taking the environment disturbances into account [37,38], the simulation based on scenario 3 is carried out to validate the effectiveness of the presented strategy under environment disturbance. The disturbance is set as 0.00001 sin ( 0.1 t ) .
Figure 24 indicates the initial situation of four ships in scenario 3; Figure 25, Figure 26 and Figure 27 denote the situation of four ships in scenario 3 at 600 s, 2400 s, and 3200 s separately; Figure 28 denotes the distance between ship–1 and other ships; and Figure 29 indicates the course and rudder angle of ship–1. As we can see in Figure 24, Figure 25, Figure 26, Figure 27 and Figure 28, the distance between ship–1 and other ships is more than 1 mile, which means that the collision avoidance between ship–1 and other ships can be achieved, and after collision avoidance, ship–1 can navigate to the destination. From Figure 29, it can be concluded that the rudder angle of ship–1 is within the limitation.
In summary, the effectiveness of the presented COLREGS–complied automatic collision avoidance strategy for the encounter situations of multiple vessels has been illustrated in scenario 3 under environment disturbance.

5. Conclusions

In this paper, a COLREGS–complied automatic collision avoidance strategy for encounter situations of multiple vessels is presented. Firstly, a COLREGS–complied evasive action real–time decision–making mechanism is established, which can determine the evasive action from the give–way vessel and stand–on vessel separately. Furthermore, it is worth noting that the situation of ships against COLREGS is considered herein. Moreover, a novel automatic collision avoidance controller of multiple vessels on account of MPC is devised, presenting the advantages of forecasting ability and solving input constraints, with the ability to carry out control action beforehand and solve the problem of rudder saturation. Finally, the multiple simulations have validated the effectiveness of the presented COLREGS–complied automatic collision avoidance strategy.

Author Contributions

Conceptualization, C.L. (Cheng Liu), T.S., Q.H., S.X., and C.L. (Cheng Li); methodology, C.L. (Cheng Liu), T.S., C.L. (Cheng Li), and Q.H.; software, C.L. (Cheng Liu), Q.H., and C.L. (Cheng Li); validation, C.L. (Cheng Liu), T.S., and Q.H.; formal analysis, T.S., Q.H., and C.L. (Cheng Li); investigation, C.L. (Cheng Liu); resources, C.L. (Cheng Liu); data curation, T.S., Q.H., S.X., and C.L. (Cheng Li); writing—original draft preparation, T.S. and C.L. (Cheng Liu); writing—review and editing, T.S., C.L. (Cheng Liu) and S.X.; visualization, C.L. (Cheng Liu), T.S. and Q.H.; supervision, C.L. (Cheng Liu); project administration, C.L. (Cheng Liu); funding acquisition, C.L. (Cheng Liu) All authors have read and agreed to the published version of the manuscript.

Funding

This research was funded by the National Natural Science Foundation of China, grant number 52101397, U1813203, U1801262, and 51879024; Funds for Dalian Distinguished Young Scholar, grant number 2020RQ014; Natural Science Foundation of Liaoning, grant number 20180520034; National Postdoctoral Program for Innovative Talent, grant number BX201700041 and Fundamental Research Funds of Central Universities, grant number 3132022127 and 3132021139.

Institutional Review Board Statement

Not applicable.

Informed Consent Statement

Not applicable.

Data Availability Statement

Not applicable.

Conflicts of Interest

The authors declare no conflict of interest.

References

  1. Li, J.X.; Wang, H.B.; Guan, Z.Y.; Chong, P. Distributed Multi-Objective Algorithm for Preventing Multi-Ship Collisions at Sea. J. Navig. 2020, 73, 971–990. [Google Scholar] [CrossRef]
  2. Zhao, L.M.; Roh, M.L.; Lee, S.J. Control mothed for path following and collision avoidance of autonomous ship based on deep reinforcement learning. J. Mar. Sci. Technol. 2019, 27, 293–310. [Google Scholar]
  3. Tu, E.M.; Zhang, G.H.; Rachmawati, L.; Rajabally, E.; Huang, G.B. Exploiting AIS Data for Intelligent Maritime Navigation: A Comprehensive Survey. IEEE Trans. Intell. Transp. Syst. 2018, 19, 1559–1582. [Google Scholar] [CrossRef]
  4. Wang, Y.; Zhang, J.F.; Chen, X.Q.; Chu, X.M.; Yan, X.P. A spatial-temporal forensic analysis for inland-water ship collisions using AIS data. Saf. Sci. 2013, 57, 187–202. [Google Scholar] [CrossRef]
  5. Pietrzykowski, Z.; Wołejsza, P.; Nozdrzykowski, Ł.; Borkowski, P. The autonomous navigation system of a sea-going vessel. Ocean Eng. 2022, 261, 112104. [Google Scholar] [CrossRef]
  6. Ramos, M.A.; Utne, I.B.; Mosleh, A. Collision avoidance on maritime autonomous surface ships: Operators’ tasks and human failure events. Saf. Sci. 2019, 116, 33–44. [Google Scholar] [CrossRef]
  7. Campbell, S.; Naeem, W.; Irwin, G.W. A review on improving the autonomy of unmanned surface vehicles through intelligent collision avoidance manoeuvres. Annu. Rev. Control 2012, 36, 267–283. [Google Scholar] [CrossRef]
  8. Li, Y.; Zheng, J. Real-time collision avoidance planning for unmanned surface vessels based on field theory. ISA Trans. 2020, 106, 233–242. [Google Scholar] [CrossRef]
  9. Woo, J.H.; Kim, N.K. Collision avoidance for an unmanned surface vehicle using deep reinforcement learning. Ocean Eng. 2020, 199, 107001. [Google Scholar] [CrossRef]
  10. Huang, Y.M.; Chen, L.Y.; Chen, P.F.; Negenborn, R.R.; van Gelder, P.H.A.J.M. Ship collision avoidance methods: State-of-the-art. Saf. Sci. 2020, 121, 451–473. [Google Scholar] [CrossRef]
  11. Lyu, H.G.; Yin, Y. COLREGS-Constrained Real-time Path Planning for Autonomous Ships Using Modified Artificial Potential Fields. J. Navig. 2018, 72, 588–608. [Google Scholar] [CrossRef]
  12. Polvara, R.; Sharma, S.; Wan, J.; Manning, A.; Sutton, R. Obstacle Avoidance Approaches for Autonomous Navigation of Unmanned Surface Vehicles. J. Navig. 2018, 71, 241–256. [Google Scholar] [CrossRef]
  13. Liu, Z.X.; Zhang, Y.M.; Yu, X.; Yuan, C. Unmanned surface vehicles: An overview of developments and challenges. Annu. Rev. Control 2016, 41, 71–93. [Google Scholar] [CrossRef]
  14. Zhang, R.B.; Tang, P.P.; Su, Y.M.; Li, X.Y.; Yang, G.; Shi, C.T. An Adaptive Obstacle Avoidance Algorithm for Unmanned Surface Vehicle in Complicated Marine Environments. IEEE/CAA J. Autom. Sin. 2014, 1, 385–396. [Google Scholar]
  15. Li, S.J.; Liu, J.L.; Negenborn, R.R. Distributed coordination for collision avoidance of multiple ships considering ship maneuverability. Ocean Eng. 2019, 181, 212–226. [Google Scholar] [CrossRef]
  16. Kim, D.; Hirayama, K.; Okimoto, T. Distributed Stochastic Search Algorithm for Multi-ship Encounter Situations. J. Navig. 2017, 70, 699–718. [Google Scholar] [CrossRef]
  17. Praczyk, T. Neural anti-collision system for Autonomous Surface Vehicle. Neurocomputing 2015, 149, 559–572. [Google Scholar] [CrossRef]
  18. Lisowski, J. Synthesis of a Path-Planning Algorithm for Autonomous Robots Moving in a Game Environment during Collision Avoidance. Electronics 2021, 10, 675. [Google Scholar] [CrossRef]
  19. Cheng, Y.; Zhang, W. Concise deep reinforcement learning obstacle avoidance for underactuated unmanned marine vessels. Neurocomputing 2018, 272, 63–73. [Google Scholar] [CrossRef]
  20. Fang, M.C.; Tsai, K.Y.; Fang, C.C. A simplified simulation model of ship navigation for safety and collision avoidance in heavy traffic areas. J. Navig. 2018, 71, 837–860. [Google Scholar] [CrossRef]
  21. Song, L.; Su, B.Y.; Dong, C.Z.P.; Shen, D.W.; Xiang, E.Z.Q.; Mao, F.P.X. A two-level dynamic obstacle avoidance algorithm for unmanned surface vehicles. Ocean Eng. 2018, 170, 351–360. [Google Scholar] [CrossRef]
  22. Tsou, M.C. Multi-target collision avoidance route planning under an ECDIS framework. Ocean Eng. 2016, 121, 268–278. [Google Scholar] [CrossRef]
  23. Zhai, P.Y.; Zhang, Y.J.; Wang, S.B. Intelligent Ship Collision Avoidance Algorithm Based on DDQN with Prioritized Experience Replay under COLREGs. J. Mar. Sci. Eng. 2022, 10, 585. [Google Scholar] [CrossRef]
  24. Wang, W.X.; Liu, C. An efficient ship autopilot design using observer-based model predictive control. Proc. Inst. Mech. Eng. Part M J. Eng. Marit. Environ. 2020, 235, 203–212. [Google Scholar] [CrossRef]
  25. Liu, C.; Li, C.; Li, W.H. Computationally efficient MPC for path following of underactuated marine vessels using projection neural network. Neural Comput. Appl. 2019, 32, 7455–7464. [Google Scholar] [CrossRef]
  26. Skorohod, B.A. Obstacles avoidance for autonomous marine vehicles based on the model predictive control. J. Phys. Conf. Ser. 2019, 1333, 042030. [Google Scholar] [CrossRef]
  27. Fossen, T.I. Guidance and Control of Ocean Vehicles; John Wiley & Sons: Chichester, UK, 1994. [Google Scholar]
  28. Tsou, M.C.; Kao, S.L.; Su, C.M. Decision Support from Genetic Algorithms for Ship Collision Avoidance Route Planning and Alerts. J. Navig. 2010, 63, 167–182. [Google Scholar] [CrossRef]
  29. Wang, X.; Liu, Z.J.; Cai, Y. The ship maneuverability based collision avoidance dynamic support system in close-quarters situation. Ocean Eng. 2017, 146, 486–497. [Google Scholar] [CrossRef]
  30. Naeem, W.; Irwin, G.W.; Yang, A. COLREGs-based collision avoidance strategies for unmanned surface vehicles. Mechatronics 2012, 22, 669–678. [Google Scholar] [CrossRef]
  31. Zhao, L.; Roh, M.L. COLREGs-compliant multiship collision avoidance based on deep reinforcement learning. Ocean Eng. 2019, 191, 106436. [Google Scholar] [CrossRef]
  32. Zheng, Z.W.; Sun, L. Path following control for marine surface vessel with uncertainties and input saturation. Neurocomputing 2015, 177, 158–167. [Google Scholar] [CrossRef]
  33. Liu, L.; Wang, D.; Peng, Z.H. ESO-Based Line-of-Sight Guidance Law for Path Following of Underactuated Marine Surface Vehicles With Exact Sideslip Compensation. Ocean Eng. 2017, 42, 477–487. [Google Scholar] [CrossRef]
  34. Oh, S.R.; Sun, J. Path following of underactuated marine surface vessels using line-of-sight based model predictive control. Ocean Eng. 2010, 37, 289–295. [Google Scholar] [CrossRef]
  35. Wang, L.P. Model Predictive Control System Design and Implementation Using MATLAB; Springer: Berlin, Germany, 2009. [Google Scholar]
  36. Liu, C.; Sun, J.; Zou, Z.J. Integrated line of sight and model predictive control for path following and roll motion control using rudder. J. Ship Res. 2015, 59, 99–112. [Google Scholar] [CrossRef]
  37. Gao, Q.; Song, L.; Yao, J. RANS Prediction of Wave-Induced Ship Motions, and Steady Wave Forces and Moments in Regular Waves. J. Mar. Sci. Eng. 2021, 9, 1459. [Google Scholar] [CrossRef]
  38. Borkowski, P. Numerical Modeling of Wave Disturbances in the Process of Ship Movement Control. Algorithms 2018, 11, 130. [Google Scholar] [CrossRef]
Figure 1. The identification of collision situation and responsibility.
Figure 1. The identification of collision situation and responsibility.
Jmse 10 01688 g001
Figure 2. The subdivision of area around the ship.
Figure 2. The subdivision of area around the ship.
Jmse 10 01688 g002
Figure 3. The evasive action of the give-way vessel.
Figure 3. The evasive action of the give-way vessel.
Jmse 10 01688 g003
Figure 4. The evasive action of the stand-on vessel.
Figure 4. The evasive action of the stand-on vessel.
Jmse 10 01688 g004
Figure 5. The diagram of COLREGS-complied real-time automatic collision avoidance strategy.
Figure 5. The diagram of COLREGS-complied real-time automatic collision avoidance strategy.
Jmse 10 01688 g005
Figure 6. The initial situation of four ships in scenario 1.
Figure 6. The initial situation of four ships in scenario 1.
Jmse 10 01688 g006
Figure 7. The situation of four ships at t = 600 s in scenario 1.
Figure 7. The situation of four ships at t = 600 s in scenario 1.
Jmse 10 01688 g007
Figure 8. The situation of four ships at t = 1200 s in scenario 1.
Figure 8. The situation of four ships at t = 1200 s in scenario 1.
Jmse 10 01688 g008
Figure 9. The situation of four ships at t = 2400 s in scenario 1.
Figure 9. The situation of four ships at t = 2400 s in scenario 1.
Jmse 10 01688 g009
Figure 10. The situation of four ships at t = 3200 s in scenario 1.
Figure 10. The situation of four ships at t = 3200 s in scenario 1.
Jmse 10 01688 g010
Figure 11. The distance between two ships in scenario 1.
Figure 11. The distance between two ships in scenario 1.
Jmse 10 01688 g011
Figure 12. The initial situation of four ships in scenario 2.
Figure 12. The initial situation of four ships in scenario 2.
Jmse 10 01688 g012
Figure 13. The situation of four ships at t = 600 s in scenario 2.
Figure 13. The situation of four ships at t = 600 s in scenario 2.
Jmse 10 01688 g013
Figure 14. The situation of four ships at t = 1200 s in scenario 2.
Figure 14. The situation of four ships at t = 1200 s in scenario 2.
Jmse 10 01688 g014
Figure 15. The situation of four ships at t = 2400 s in scenario 2.
Figure 15. The situation of four ships at t = 2400 s in scenario 2.
Jmse 10 01688 g015
Figure 16. The situation of four ships at t = 3200 s in scenario 2.
Figure 16. The situation of four ships at t = 3200 s in scenario 2.
Jmse 10 01688 g016
Figure 17. The distance between any two ships in scenario 2.
Figure 17. The distance between any two ships in scenario 2.
Jmse 10 01688 g017
Figure 18. The initial situation of four ships in scenario 3.
Figure 18. The initial situation of four ships in scenario 3.
Jmse 10 01688 g018
Figure 19. The situation of four ships at t = 600 s in scenario 3.
Figure 19. The situation of four ships at t = 600 s in scenario 3.
Jmse 10 01688 g019
Figure 20. The situation of four ships at t = 2400 s in scenario 3.
Figure 20. The situation of four ships at t = 2400 s in scenario 3.
Jmse 10 01688 g020
Figure 21. The situation of four ships at t = 3200 s in scenario 3.
Figure 21. The situation of four ships at t = 3200 s in scenario 3.
Jmse 10 01688 g021
Figure 22. The distance between ship–1 and other ships in scenario 3.
Figure 22. The distance between ship–1 and other ships in scenario 3.
Jmse 10 01688 g022
Figure 23. The course and rudder angle of ship–1 in scenario 3.
Figure 23. The course and rudder angle of ship–1 in scenario 3.
Jmse 10 01688 g023
Figure 24. The initial situation of four ships in scenario 3 under environment disturbance.
Figure 24. The initial situation of four ships in scenario 3 under environment disturbance.
Jmse 10 01688 g024
Figure 25. The situation of four ships at t = 600 s in scenario 3 under environment disturbance.
Figure 25. The situation of four ships at t = 600 s in scenario 3 under environment disturbance.
Jmse 10 01688 g025
Figure 26. The situation of four ships at t = 2400 s in scenario 3 under environment disturbance.
Figure 26. The situation of four ships at t = 2400 s in scenario 3 under environment disturbance.
Jmse 10 01688 g026
Figure 27. The situation of four ships at t = 3200 s in scenario 3 under environment disturbance.
Figure 27. The situation of four ships at t = 3200 s in scenario 3 under environment disturbance.
Jmse 10 01688 g027
Figure 28. The distance between ship–1 and other ships in scenario 3 under environment disturbance.
Figure 28. The distance between ship–1 and other ships in scenario 3 under environment disturbance.
Jmse 10 01688 g028
Figure 29. The course and rudder angle of ship–1 in scenario 3 under environment disturbance.
Figure 29. The course and rudder angle of ship–1 in scenario 3 under environment disturbance.
Jmse 10 01688 g029
Table 1. The initial state of four ships in scenario 1.
Table 1. The initial state of four ships in scenario 1.
Ship i Initial Position
(n mile)
Initial CourseThe Next Waypoint
( P k + 1 i )
Ship–1(0,0)45°(10,10)
Ship–2(8,8.5)225°(−2,−2)
Ship–3(0,9)315°(9,−2)
Ship–4(9,4)170°(−5,5)
Table 2. The initial state of four ships in scenarios 2 and 3.
Table 2. The initial state of four ships in scenarios 2 and 3.
Ship i Initial Position
(n mile)
Initial CourseThe Next Waypoint
( P k + 1 i )
Ship–1(0,0)45°(10,10)
Ship–2(8,8.5)225°(−2,−2)
Ship–3(0,9)315°(9,−2)
Ship–4(9,4)170°(−5,6.4)
Publisher’s Note: MDPI stays neutral with regard to jurisdictional claims in published maps and institutional affiliations.

Share and Cite

MDPI and ACS Style

Sun, T.; Liu, C.; Xu, S.; Hu, Q.; Li, C. COLREGS-Complied Automatic Collision Avoidance for the Encounter Situations of Multiple Vessels. J. Mar. Sci. Eng. 2022, 10, 1688. https://doi.org/10.3390/jmse10111688

AMA Style

Sun T, Liu C, Xu S, Hu Q, Li C. COLREGS-Complied Automatic Collision Avoidance for the Encounter Situations of Multiple Vessels. Journal of Marine Science and Engineering. 2022; 10(11):1688. https://doi.org/10.3390/jmse10111688

Chicago/Turabian Style

Sun, Ting, Cheng Liu, Shuang Xu, Qizhi Hu, and Cheng Li. 2022. "COLREGS-Complied Automatic Collision Avoidance for the Encounter Situations of Multiple Vessels" Journal of Marine Science and Engineering 10, no. 11: 1688. https://doi.org/10.3390/jmse10111688

APA Style

Sun, T., Liu, C., Xu, S., Hu, Q., & Li, C. (2022). COLREGS-Complied Automatic Collision Avoidance for the Encounter Situations of Multiple Vessels. Journal of Marine Science and Engineering, 10(11), 1688. https://doi.org/10.3390/jmse10111688

Note that from the first issue of 2016, this journal uses article numbers instead of page numbers. See further details here.

Article Metrics

Back to TopTop