An Analytical Symplectic Method for Buckling of Ring-Stiffened Graphene Platelet-Reinforced Composite Cylindrical Shells Subjected to Hydrostatic Pressure
Abstract
1. Introduction
2. Mathematical Modeling of Ring-Stiffened Porous GPLRC Cylindrical Shells
3. Hamilton System and Solving Procedure
4. Effective Material Properties of Porous GPLRC
5. Numerical Results and Discussion
5.1. Comparison Study
5.2. Effects of Geometrical Parameters and Boundary Conditions
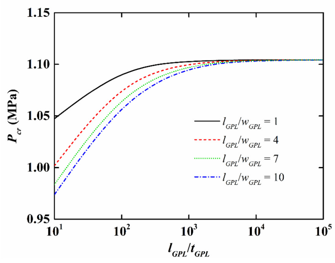
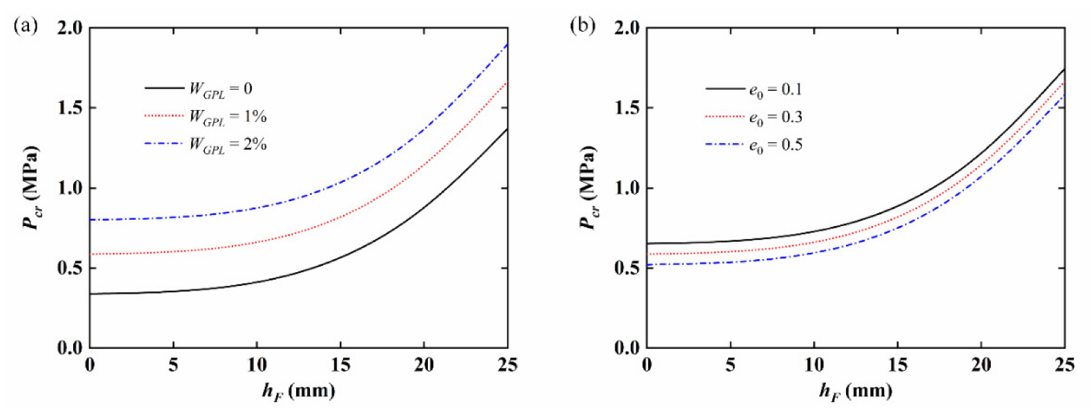
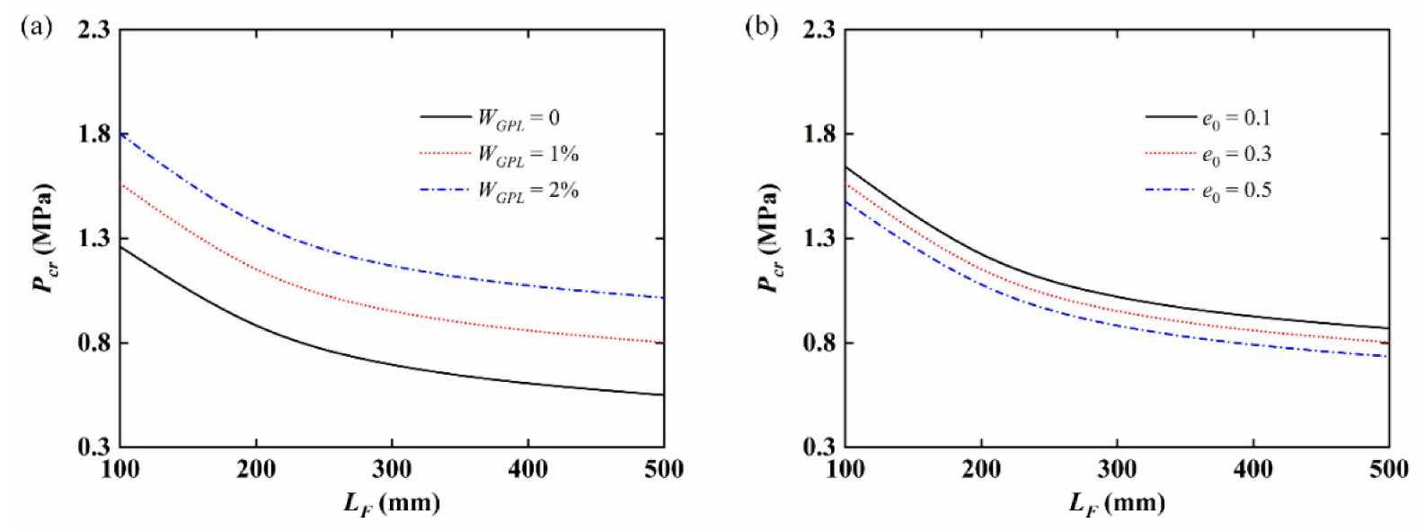
5.3. Effects of Material Properties and Ring-Stiffeners
6. Conclusions
- (i)
- The geometrical parameters are major influencing factors on the critical pressures and buckling mode shapes. The critical pressure increases with an increasing h/R and decreases with an increasing L/R. The circumferential wave number decreases with an increasing L/R and remains basically unchanged with a change in h/R;
- (ii)
- The stability of ring-stiffened cylindrical shells can be significantly improved by adding a small number of GPLs to the metal matrix. The critical pressure increases with an increasing weight fraction and decreases with an increasing porosity coefficient. The GPL-S and PD-S distributions have the highest critical pressure.
- (iii)
- The ring-stiffeners can also significantly improve the stability, and the stability performance is stronger when the ring-stiffener size is larger and the ring-stiffener spacing is smaller. Under the specific ring-stiffener parameters, the reinforcement is more significant for shorter or thicker porous GPLRC cylindrical shells.
Author Contributions
Funding
Institutional Review Board Statement
Informed Consent Statement
Data Availability Statement
Conflicts of Interest
References
- Cho, S.R.; Muttaqie, T.; Do, Q.T.; Kim, S.; Kim, S.M.; Han, D.H. Experimental investigations on the failure modes of ring-stiffened cylinders under external hydrostatic pressure. Int. J. Nav. Archit. Ocean Eng. 2018, 10, 711–729. [Google Scholar] [CrossRef]
- Kendrick, S. The Buckling under External Pressure of Circular Cylindrical Shells with Evenly Spaced, Equal Strength, Circular Ring Frames. Part II; Naval Construction Research Establishment Report NCRE/R No. 244. 1953. Available online: https://www.osti.gov/biblio/4304774 (accessed on 28 September 2022).
- Bryant, A.R. Hydrostatic Pressure Buckling of a Ring-Stiffened Tube; Naval Construction Research Establishment Report NCRE/R No. 306. 1954. Available online: https://discovery.nationalarchives.gov.uk/details/r/C4124221 (accessed on 28 September 2022).
- Galletly, G.D.; Slankard, R.C.; Wenk, E., Jr. General instability of ring-stiffened cylindrical shells subject to external hydrostatic pressure-A comparison of theory and experiment. J. Appl. Mech. 1958, 25, 259–266. [Google Scholar] [CrossRef]
- Yamamoto, Y.; Homma, Y.; Oshima, K.; Mishiro, Y.; Terada, H.; Yoshikawa, T.; Morihana, H.; Yamauchi, Y.; Takenaka, M. General instability of ring-stiffened cylindrical shells under external pressure. Mar. Struct. 1989, 2, 133–149. [Google Scholar] [CrossRef]
- Rathinam, N.; Prabu, B.; Anbazhaghan, N. Buckling analysis of ring stiffened thin cylindrical shell under external pressure. J. Ocean Eng. Sci. 2021, 6, 360–366. [Google Scholar] [CrossRef]
- Baruch, M.; Singer, J. Effect of eccentricity of stiffeners on the general instability of stiffened cylindrical shells under hydrostatic pressure. J. Mech. Eng. Sci. 1963, 5, 23–27. [Google Scholar] [CrossRef]
- Reddy, J.N.; Starnes, J.H. General buckling of stiffened circular cylindrical shells according to a layerwise theory. Comput. Struct. 1993, 49, 605–616. [Google Scholar] [CrossRef]
- Shen, H.S.; Zhou, P.; Chen, T.Y. Postbuckling analysis of stiffened cylindrical shells under combined external pressure and axial compression. Thin-Walled Struct. 1993, 15, 43–63. [Google Scholar] [CrossRef]
- Shen, H.S. Postbuckling analysis of imperfect stiffened laminated cylindrical shells under combined external pressure and thermal loading. Int. J. Mech. Sci. 1998, 40, 339–355. [Google Scholar] [CrossRef]
- Tian, J.; Wang, C.M.; Swaddiwudhipong, S. Elastic buckling analysis of ring-stiffened cylindrical shells under general pressure loading via the Ritz method. Thin-Walled Struct. 1999, 35, 1–24. [Google Scholar] [CrossRef]
- Ghorbanpour Arani, A.; Loghman, A.; Mosallaie Barzoki, A.A.; Kolahchi, R. Elastic buckling analysis of ring and stringer-stiffened cylindrical shells under general pressure and axial compression via the Ritz method. J. Solid Mech. 2010, 2, 332–347. [Google Scholar]
- Yang, Y.; Li, J.J.; Zhang, Y.; He, Q.; Dai, H.L. A semi-analytical analysis of strength and critical buckling behavior of underwater ring-stiffened cylindrical shells. Eng. Struct. 2021, 227, 111396. [Google Scholar] [CrossRef]
- Dung, D.V.; Hoa, L.K. Nonlinear buckling and post-buckling analysis of eccentrically stiffened functionally graded circular cylindrical shells under external pressure. Thin-Walled Struct. 2013, 63, 117–124. [Google Scholar] [CrossRef]
- Dai, H.L.; Qi, L.L.; Zheng, H.Y. Buckling analysis for a ring-stiffened FGM cylindrical shell under hydrostatic pressure and thermal loads. J. Mech. 2014, 30, 403–410. [Google Scholar] [CrossRef]
- Phuong, N.T.; Trung, N.T.; Van Doan, C.; Thang, N.D.; Duc, V.M.; Nam, V.H. Nonlinear thermomechanical buckling of FG-GRC laminated cylindrical shells stiffened by FG-GRC stiffeners subjected to external pressure. Acta Mech. 2020, 231, 5125–5144. [Google Scholar] [CrossRef]
- Arshid, E.; Arshid, H.; Amir, S.; Mousavi, S.B. Free vibration and buckling analyses of FG porous sandwich curved microbeams in thermal environment under magnetic field based on modified couple stress theory. Arch. Civ. Mech. Eng. 2021, 21, 1–23. [Google Scholar] [CrossRef]
- Arshid, E.; Khorasani, M.; Soleimani-Javid, Z.; Amir, S.; Tounsi, A. Porosity-dependent vibration analysis of FG microplates embedded by polymeric nanocomposite patches considering hygrothermal effect via an innovative plate theory. Eng. Comput. 2021, 1–22. [Google Scholar] [CrossRef]
- Arshid, E.; Amir, S.; Loghman, A. Static and dynamic analyses of FG-GNPs reinforced porous nanocomposite annular micro-plates based on MSGT. Int. J. Mech. Sci. 2020, 180, 105656. [Google Scholar] [CrossRef]
- Arshid, E.; Amir, S.; Loghman, A. Thermal buckling analysis of FG graphene nanoplatelets reinforced porous nanocomposite MCST-based annular/circular microplates. Aerosp. Sci. Technol. 2021, 111, 106561. [Google Scholar] [CrossRef]
- Khorasani, M.; Soleimani-Javid, Z.; Arshid, E.; Lampani, L.; Civalek, Ö. Thermo-elastic buckling of honeycomb micro plates integrated with FG-GNPs reinforced Epoxy skins with stretching effect. Compos. Struct. 2021, 258, 113430. [Google Scholar] [CrossRef]
- Mousavi, S.B.; Amir, S.; Jafari, A.; Arshid, E. Analytical solution for analyzing initial curvature effect on vibrational behavior of PM beams integrated with FGP layers based on trigonometric theories. Adv. Nano Res. 2021, 10, 235–251. [Google Scholar]
- Liu, P.W.; Jin, Z.; Katsukis, G.; Drahushuk, L.W.; Shimizu, S.; Shih, C.J.; Wetzel, E.D.; Taggart-Scarff, J.K.; Qing, B.; Van Vliet, K.J.; et al. Layered and scrolled nanocomposites with aligned semi-infinite graphene inclusions at the platelet limit. Science 2016, 353, 364–367. [Google Scholar] [CrossRef] [PubMed]
- Zhang, Y.Y.; Li, X.D. Bioinspired, graphene/Al2O3 doubly reinforced Aluminum composites with high strength and toughness. Nano Lett. 2017, 17, 6907–6915. [Google Scholar] [CrossRef] [PubMed]
- Nieto, A.; Bisht, A.; Lahiri, D.; Zhang, C.; Agarwal, A. Graphene reinforced metal and ceramic matrix composites: A review. Int. Mater. Rev. 2017, 62, 241–302. [Google Scholar] [CrossRef]
- Papageorgiou, D.G.; Kinloch, I.A.; Young, R.J. Mechanical properties of graphene and graphene-based nanocomposites. Prog. Mater. Sci. 2017, 90, 75–127. [Google Scholar]
- Young, R.J.; Liu, M.F.; Kinloch, I.A.; Li, S.H.; Zhao, X.; Vallés, C.; Papageorgiou, D.G. The mechanics of reinforcement of polymers by graphene nanoplatelets. Compos. Sci. Technol. 2018, 154, 110–116. [Google Scholar] [CrossRef]
- Ahmad, S.R.; Xue, C.Z.; Young, R.J. The mechanisms of reinforcement of polypropylene by graphene nanoplatelets. Mater. Sci. Eng. B 2017, 216, 2–9. [Google Scholar] [CrossRef]
- Liu, D.Y.; Kitipornchai, S.; Chen, W.Q.; Yang, J. Three-dimensional buckling and free vibration analyses of initially stressed functionally graded graphene reinforced composite cylindrical shell. Compos. Struct. 2018, 189, 560–569. [Google Scholar] [CrossRef]
- Zhao, Z.; Ni, Y.W.; Zhu, S.B.; Tong, Z.Z.; Zhang, J.L.; Zhou, Z.H.; Lim, C.W.; Xu, X.S. Thermo-electro-mechanical size-dependent buckling response for functionally graded graphene platelet reinforced piezoelectric cylindrical nanoshells. Int. J. Struct. Stab. Dyn. 2020, 20, 2050100. [Google Scholar] [CrossRef]
- Sun, J.B.; Ni, Y.W.; Gao, H.Y.; Zhu, S.B.; Tong, Z.Z.; Zhou, Z.H. Torsional buckling of functionally graded multilayer graphene nanoplatelet-reinforced cylindrical shells. Int. J. Struct. Stab. Dyn. 2019, 20, 2050005. [Google Scholar] [CrossRef]
- Zhou, Z.H.; Ni, Y.W.; Tong, Z.Z.; Zhu, S.B.; Sun, J.B.; Xu, X.S. Accurate nonlinear buckling analysis of functionally graded porous graphene platelet reinforced composite cylindrical shells. Int. J. Mech. Sci. 2019, 151, 537–550. [Google Scholar] [CrossRef]
- Dong, Y.H.; He, L.W.; Wang, L.; Li, Y.H.; Yang, J. Buckling of spinning functionally graded graphene reinforced porous nanocomposite cylindrical shells: An analytical study. Aerosp. Sci. Technol. 2018, 82–83, 466–478. [Google Scholar] [CrossRef]
- Sun, J.B.; Zhu, S.B.; Tong, Z.Z.; Zhou, Z.H.; Xu, X.S. Post-buckling analysis of functionally graded multilayer graphene platelet reinforced composite cylindrical shells under axial compression. Proc. R. Soc. A Math. Phys. Eng. Sci. 2020, 476, 20200506. [Google Scholar] [CrossRef] [PubMed]
- Blooriyan, S.; Ansari, R.; Darvizeh, A.; Gholami, R.; Rouhi, H. Postbuckling analysis of functionally graded graphene platelet-reinforced polymer composite cylindrical shells using an analytical solution approach. Appl. Math. Mech. 2019, 40, 1001–1016. [Google Scholar] [CrossRef]
- Shahgholian-Ghahfarokhi, D.; Rahimi, G.; Khodadadi, A.; Salehipour, H.; Afrand, M. Buckling analyses of FG porous nanocomposite cylindrical shells with graphene platelet reinforcement subjected to uniform external lateral pressure. Mech. Based Des. Struct. Mach. 2021, 49, 1059–1079. [Google Scholar] [CrossRef]
- Shahgholian-Ghahfarokhi, D.; Safarpour, M.; Rahimi, A.R.; Alibeigloo, A. Buckling analyses of functionally graded graphene-reinforced porous cylindrical shell using the Rayleigh-Ritz method. Acta Mech. 2020, 231, 1887–1902. [Google Scholar] [CrossRef]
- Shahgholian-Ghahfarokhi, D.; Safarpour, M.; Rahimi, A.R. Torsional buckling analyses of functionally graded porous nanocomposite cylindrical shells reinforced with graphene platelets (GPLs). Mech. Based Des. Struct. Mach. 2021, 49, 81–102. [Google Scholar] [CrossRef]
- Wang, Y.; Feng, C.; Zhao, Z.; Yang, J. Buckling of graphene platelet reinforced composite cylindrical shell with cutout. Int. J. Struct. Stab. Dyn. 2017, 18, 1850040. [Google Scholar] [CrossRef]
- Wang, Y.; Feng, C.; Zhao, Z.; Yang, J. Eigenvalue buckling of functionally graded cylindrical shells reinforced with graphene platelets (GPL). Compos. Struct. 2018, 202, 38–46. [Google Scholar] [CrossRef]
- Wang, Y.; Feng, C.; Zhao, Z.; Lu, F.Z.; Yang, J. Torsional buckling of graphene platelets (GPLs) reinforced functionally graded cylindrical shell with cutout. Compos. Struct. 2018, 197, 72–79. [Google Scholar] [CrossRef]
- Yao, W.A.; Zhong, W.X.; Lim, C.W. Symplectic Elasticity; World Scientific: Singapore, 2009. [Google Scholar]
- Lim, C.W.; Xu, X.S. Symplectic elasticity: Theory and applications. Appl. Mech. Rev. 2010, 63, 050802. [Google Scholar] [CrossRef]
- Arshid, E.; Khorshidvand, A.R. Free vibration analysis of saturated porous FG circular plates integrated with piezoelectric actuators via differential quadrature method. Thin-Walled Struct. 2018, 125, 220–233. [Google Scholar] [CrossRef]
- Arshid, E.; Amir, S.; Loghman, A. Bending and buckling behaviors of heterogeneous temperature-dependent micro annular/circular porous sandwich plates integrated by FGPEM nano-Composite layers. J. Sandw. Struct. Mater. 2021, 23, 3836–3877. [Google Scholar] [CrossRef]
- Arshid, E.; Kiani, A.; Amir, S. Magneto-electro-elastic vibration of moderately thick FG annular plates subjected to multi physical loads in thermal environment using GDQ method by considering neutral surface. Proc. Inst. Mech. Eng. Part L J. Mater. Des. Appl. 2019, 233, 2140–2159. [Google Scholar] [CrossRef]
- Arshid, E.; Soleimani-Javid, Z.; Amir, S.; Duc, N.D. Higher-order hygro-magneto-electro-thermomechanical analysis of FG-GNPs-reinforced composite cylindrical shells embedded in PEM layers. Aerosp. Sci. Technol. 2022, 126, 107573. [Google Scholar] [CrossRef]
- Amir, S.; Arshid, E.; Rasti-Alhosseini, S.M.A.; Loghman, A. Quasi-3D tangential shear deformation theory for size-dependent free vibration analysis of three-layered FG porous micro rectangular plate integrated by nano-composite faces in hygrothermal environment. J. Therm. Stress. 2020, 43, 133–156. [Google Scholar] [CrossRef]
- Arshid, E.; Kiani, A.; Amir, S.; Dehaghani, M.Z. Asymmetric free vibration analysis of first-order shear deformable functionally graded magneto-electro-thermo-elastic circular plates. Proc. Inst. Mech. Eng. Part C J. Mech. Eng. Sci. 2019, 233, 5659–5675. [Google Scholar] [CrossRef]
- Soleimani-Javid, Z.; Arshid, E.; Amir, S.; Bodaghi, M. On the higher-order thermal vibrations of FG saturated porous cylindrical micro-shells integrated with nanocomposite skins in viscoelastic medium. Def. Technol. 2022, 18, 1416–1434. [Google Scholar] [CrossRef]
- Khorasani, M.; Soleimani-Javid, Z.; Arshid, E.; Amir, S.; Civalek, Ö. Vibration analysis of graphene nanoplatelets’ reinforced composite plates integrated by piezo-electromagnetic patches on the piezo-electromagnetic media. Waves Random Complex Media 2021, 1–31. [Google Scholar] [CrossRef]
- Amir, S.; Arshid, E.; Maraghi, Z.K.; Loghman, A.; Ghorbanpour Arani, A. Vibration analysis of magnetorheological fluid circular sandwich plates with magnetostrictive facesheets exposed to monotonic magnetic field located on visco-Pasternak substrate. J. Vib. Control 2020, 26, 1523–1537. [Google Scholar] [CrossRef]
- Mohammadimehr, M.; Arshid, E.; Rasti-Alhosseini, S.M.A.; Amir, S.; Arani, M.R.G. Free vibration analysis of thick cylindrical MEE composite shells reinforced CNTs with temperature-dependent properties resting on viscoelastic foundation. Struct. Eng. Mech. 2019, 70, 683–702. [Google Scholar]
- Lai, A.D.; Jia, J.F.; Qu, J.L.; Wang, J.Y.; Sun, J.B.; Zhou, Z.H.; Xu, X.S.; Lim, C.W. Local-global buckling of cylindrical shells with wall thinning defects. Mech. Based Des. Struct. Mach. 2021, 1–20. [Google Scholar] [CrossRef]
- Kitipornchai, S.; Chen, D.; Yang, J. Free vibration and elastic buckling of functionally graded porous beams reinforced by graphene platelets. Mater. Des. 2017, 116, 656–665. [Google Scholar] [CrossRef]
- Zhao, S.Y.; Zhao, Z.; Yang, Z.C.; Ke, L.L.; Kitipornchai, S.; Yang, J. Functionally graded graphene reinforced composite structures: A review. Eng. Struct. 2020, 210, 110339. [Google Scholar] [CrossRef]













| Unstiffened | Ring-Stiffened (Outside) | Ring-Stiffened (Inside) | |
|---|---|---|---|
| Present | 101.81 | 325.94 | 369.99 |
| Baruch and Singer [6] | 102 | 326 | 370 |
| Deviation with [6] | −0.1863% | −0.0184% | −0.0027% |
| Reddy and Starnes [7] | 93.5 | 313.7 | 357.5 |
| Deviation with [7] | 8.8877% | 3.9018% | 3.4937% |
| Shen [9] | 100.7 | 325.7 | 368.3 |
| Deviation with [9] | 1.1023% | 0.0737% | 0.4589% |
| h/R | L/R | ||
| 2 | 5 | 10 | |
| C-C | |||
| 0.005 | 1.1606 (6) | 0.5262 (4) | 0.2795 (3) |
| 0.01 | 2.5239 (6) | 1.1037 (4) | 0.5816 (3) |
| 0.02 | 9.1057 (5) | 4.1208 (4) | 2.2086 (3) |
| S-S | |||
| 0.005 | 0.8966 (5) | 0.4069 (3) | 0.2351 (2) |
| 0.01 | 1.9070 (5) | 0.8291 (3) | 0.4698 (2) |
| 0.02 | 7.1119 (5) | 2.7382 (3) | 1.3998 (2) |
| WGPL = 0 | 0.5% | 1% | 1.5% | 2% | |
|---|---|---|---|---|---|
| PD-S | |||||
| GPL-S | 0.8394 | 0.9786 | 1.1037 | 1.2180 | 1.3232 |
| GPL-U | 0.8394 | 0.9404 | 1.0312 | 1.1143 | 1.1908 |
| GPL-A | 0.8394 | 0.9102 | 0.9747 | 1.0344 | 1.0899 |
| PD-U | |||||
| GPL-S | 0.8200 | 0.9491 | 1.0652 | 1.1714 | 1.2692 |
| GPL-U | 0.8200 | 0.9161 | 1.0023 | 1.0811 | 1.1537 |
| GPL-A | 0.8200 | 0.8884 | 0.9512 | 1.0094 | 1.0638 |
| PD-A | |||||
| GPL-S | 0.8022 | 0.9288 | 1.0437 | 1.1494 | 1.2471 |
| GPL-U | 0.8022 | 0.8982 | 0.9845 | 1.0635 | 1.1364 |
| GPL-A | 0.8022 | 0.8715 | 0.9354 | 0.9949 | 1.0504 |
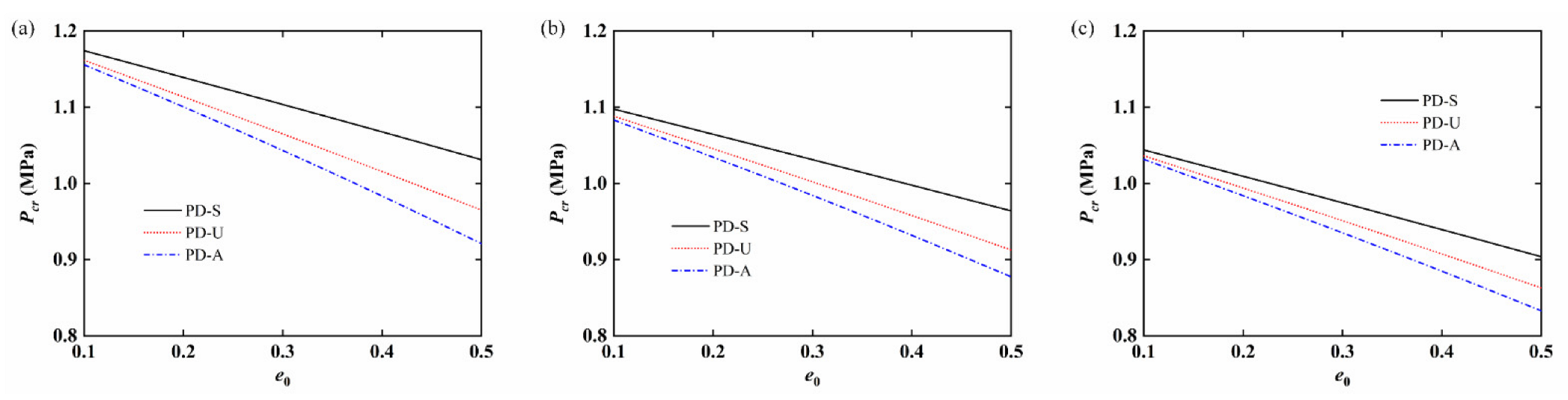
| e0 = 0.1 | 0.2 | 0.3 | 0.4 | 0.5 | |
|---|---|---|---|---|---|
| GPL-S | |||||
| PD-S | 1.1742 | 1.1392 | 1.1037 | 1.0678 | 1.0311 |
| PD-U | 1.1617 | 1.1138 | 1.0652 | 1.0158 | 0.9650 |
| PD-A | 1.1558 | 1.1008 | 1.0437 | 0.9840 | 0.9209 |
| GPL-U | |||||
| PD-S | 1.0976 | 1.0645 | 1.0312 | 0.9977 | 0.9639 |
| PD-U | 1.0883 | 1.0456 | 1.0023 | 0.9581 | 0.9127 |
| PD-A | 1.0832 | 1.0347 | 0.9845 | 0.9323 | 0.8774 |
| GPL-A | |||||
| PD-S | 1.0439 | 1.0095 | 0.9747 | 0.9395 | 0.9038 |
| PD-U | 1.0363 | 0.9940 | 0.9512 | 0.9076 | 0.8629 |
| PD-A | 1.0316 | 0.9841 | 0.9354 | 0.8851 | 0.8328 |
Publisher’s Note: MDPI stays neutral with regard to jurisdictional claims in published maps and institutional affiliations. |
© 2022 by the authors. Licensee MDPI, Basel, Switzerland. This article is an open access article distributed under the terms and conditions of the Creative Commons Attribution (CC BY) license (https://creativecommons.org/licenses/by/4.0/).
Share and Cite
Sun, Z.; Hu, G.; Nie, X.; Sun, J. An Analytical Symplectic Method for Buckling of Ring-Stiffened Graphene Platelet-Reinforced Composite Cylindrical Shells Subjected to Hydrostatic Pressure. J. Mar. Sci. Eng. 2022, 10, 1834. https://doi.org/10.3390/jmse10121834
Sun Z, Hu G, Nie X, Sun J. An Analytical Symplectic Method for Buckling of Ring-Stiffened Graphene Platelet-Reinforced Composite Cylindrical Shells Subjected to Hydrostatic Pressure. Journal of Marine Science and Engineering. 2022; 10(12):1834. https://doi.org/10.3390/jmse10121834
Chicago/Turabian StyleSun, Zhanzhong, Gangyi Hu, Xueyang Nie, and Jiabin Sun. 2022. "An Analytical Symplectic Method for Buckling of Ring-Stiffened Graphene Platelet-Reinforced Composite Cylindrical Shells Subjected to Hydrostatic Pressure" Journal of Marine Science and Engineering 10, no. 12: 1834. https://doi.org/10.3390/jmse10121834
APA StyleSun, Z., Hu, G., Nie, X., & Sun, J. (2022). An Analytical Symplectic Method for Buckling of Ring-Stiffened Graphene Platelet-Reinforced Composite Cylindrical Shells Subjected to Hydrostatic Pressure. Journal of Marine Science and Engineering, 10(12), 1834. https://doi.org/10.3390/jmse10121834
