Growth Heterogeneity of Chub Mackerel (Scomber japonicus) in the Northwest Pacific Ocean
Abstract
:1. Introduction
2. Materials and Methods
2.1. Data Collection
2.2. Ageing Analysis
2.3. Fork Length-Weight Relationship
2.4. Condition Factors
2.5. Growth Models
2.6. Model Comparison
3. Results
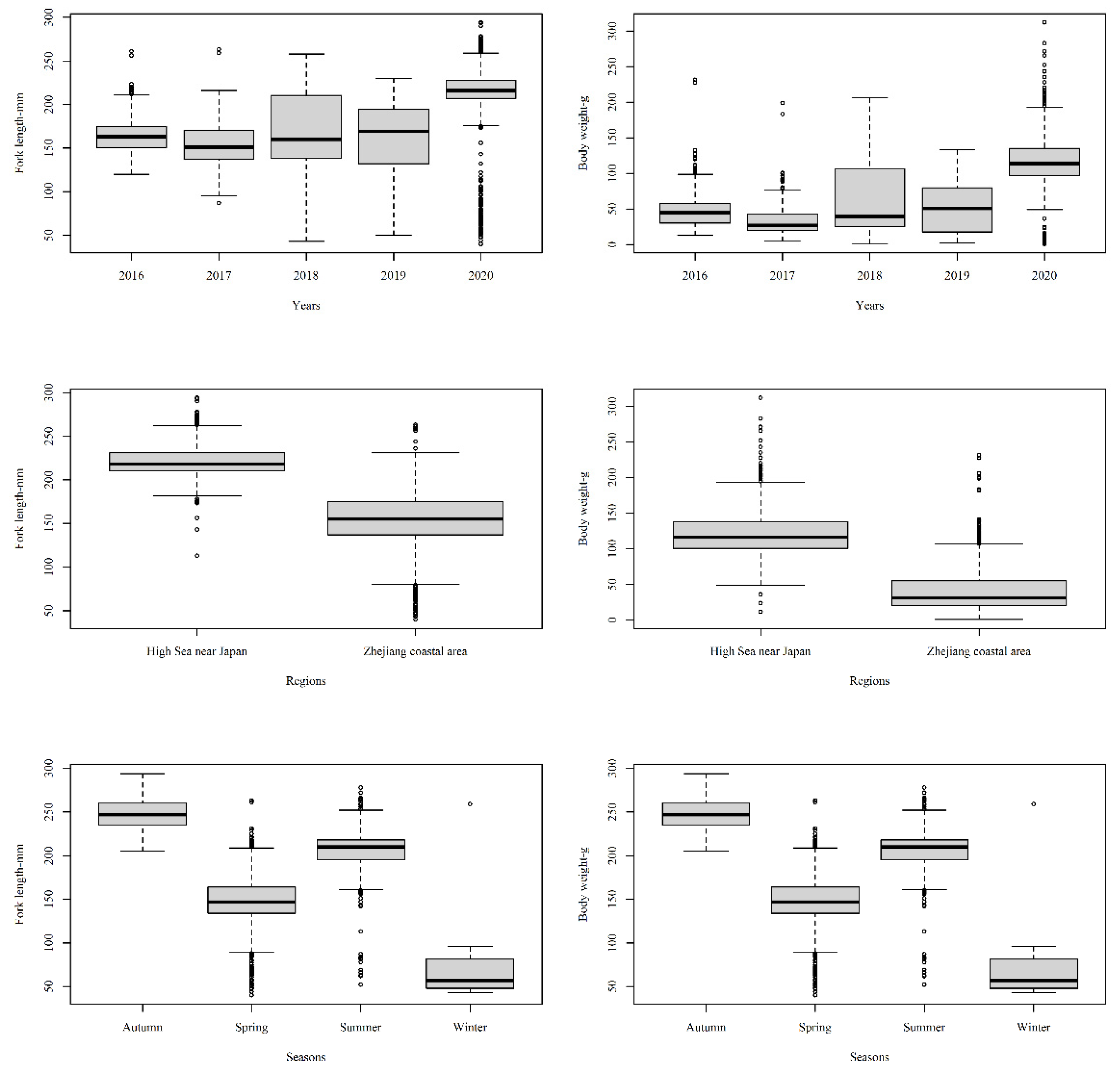
3.1. Fork Length and Weight Distribution of Chub Mackerel
3.2. Fork Length-Weight Relationship and the Heterogeneity of Chub Mackerel
3.3. Relative Condition Factors of Chub Mackerel
3.4. Agreement between Age Readers
3.5. Growth Modelling of Chub Mackerel
4. Discussion
4.1. Analysis of Growth Changes in Body Weight and Condition Factors
4.2. Growth Modelling
4.3. Limitations
5. Conclusions
Author Contributions
Funding
Institutional Review Board Statement
Informed Consent Statement
Data Availability Statement
Acknowledgments
Conflicts of Interest
References
- Yamada, U.; Tokimura, M.; Horikawa, H.; Nakabo, T. Fishes and Fisheries of the East China and Yellow Seas; Tokai University: Hadano, Japan, 2007; ISBN 9784486017400. [Google Scholar]
- Kuroda, H.; Yoda, M.; Yasuda, T.; Suzuki, K.; Takegaki, K.; Sasa, Y.; Takahashi, M. Stock Assessment of the Tsushima Current Cohort of Chub Mackerel (Scomber Japonicus) in 2017; Seikai National Fisheries Research Institute: Nagasaki, Japan, 2017. [Google Scholar]
- Yoshiue, R.; Nishijima, S.; Isu, S.; Watanabe, C.; Uemura, T.; Hashimoto, M. Stock Assessment of the Pacific Cohort of Chub Mackerel (Scomber Japonicus) in 2017; National Research Institute of Fisheries Science: Yokohama, Japan, 2017. [Google Scholar]
- Watanabe, C. A Review of the Reproductive Studies for Chub Mackerel in Relation to the Stock Assessment. Bull Fish. Res. 2006, 101–111. Available online: https://agris.fao.org/agris-search/search.do?recordID=JP2007000286 (accessed on 24 December 2021).
- Yan, Y.M.; Dai, Q.S.; Lu, Z.B. Growth and mortality of Chub mackerel in north-central Fujian. J. Fujian Fish 1986, 2, 1–7. [Google Scholar]
- Cheng, J.H.; Lin, L.S. Study on the biological characteristics and status of common mackerel (Scomber japonicus Houttuyn) fishery in the East China Sea region. Mar. Fish. 2004, 26, 73–78. [Google Scholar] [CrossRef]
- Keys, A.B. The weight-length relation in fishes. Proc. Natl. Acad. Sci. USA 1928, 14, 922–925. [Google Scholar] [CrossRef] [PubMed] [Green Version]
- Froese, R. Cube law, condition factor and weight–length relationships: History, meta-analysis and recommendations. J. Appl. Ichthyol. 2006, 22, 241–253. [Google Scholar] [CrossRef]
- Ma, Q.; Yan, J.; Ren, Y. Linear mixed-effects models to describe length-weight relationships for yellow croaker (Larimichthys Polyactis) along the north coast of China. PLoS ONE 2017, 12, e0171811. [Google Scholar] [CrossRef] [Green Version]
- Kindong, R.; Wang, H.; Dai, X.; Tian, S. Age, growth, and sexual maturity of the crocodile shark, Pseudocarcharias kamoharai, from the tropical eastern Atlantic Ocean. Front. Mar. Sci. 2020, 7, 857. [Google Scholar] [CrossRef]
- Li, G.; Chen, X.; Feng, B. Age and growth of chub mackerel (Xcomber japonicus) in the East China and Yellow Seas using sectioned otolith samples. J. Ocean. Univ. China 2008, 7, 439–446. [Google Scholar] [CrossRef]
- Liu, Y.; Yan, L.P.; Cheng, J.H. Growth characteristics and rational exploitation of Scomber japonicus in the north of the East China Sea and the nouth of the Yellow Sea. J. Fish. Sci. China 2006, 13, 814–822. [Google Scholar] [CrossRef]
- Watanabe, C.; Yatsu, A. Effects of density-dependence and sea surface temperature on inter-annual variation in length-at-age of chub mackerel (Scomber japonicus) in the Kuroshio-Oyashio area during 1970–1997. Fish. B-Noaa 2004, 102, 196–206. [Google Scholar] [CrossRef]
- Zhuang, Z.D.; Ma, C.; Liu, Y. A Preliminary Study on Biological Characteristics of scomber japonicus in the North Pacific Ocean in Autumn. Trans. Oceanol. Limnol. 2018, 6, 125–131. [Google Scholar] [CrossRef]
- Akihiro, M.; Momoko, I.; Ryuji, Y. Catch, Weight, and Maturity at Age of the Chub Mackerel of Japan; NPFC-2020-TWG CMSA03-WP02; North Pacific Fisheries Commission: Tokyo, Japan, 2020. [Google Scholar]
- Takahashi, M.; Yoneda, M.; Kitano, H.; Kawabata, A.; Saito, M. Growth of juvenile chub mackerel Scomber japonicus in the western North Pacific Ocean: With application and validation of otolith daily increment formation. Fish. Sci. 2014, 80, 293–300. [Google Scholar] [CrossRef]
- Kamimura, Y.; Taga, M.; Yukami, R.; Watanabe, C.; Furuichi, S. Intra-and inter-specific density dependence of body condition, growth, and habitat temperature in chub mackerel (Scomber japonicus). ICES J. Mar. Sci. 2021, 78, 3254–3264. [Google Scholar] [CrossRef]
- Yukami, R.; Ohshimo, S.; Yoda, M.; Hiyama, Y. Estimation of the spawning grounds of Chub mackerel Scomber japonicus and spotted mackerel Scomber australasicus in the East China Sea based on catch statistics and biometric data. Fish. Sci. 2009, 75, 167–174. [Google Scholar] [CrossRef]
- General Administration of Quality Supervision, Inspection and Quarantine of the People’s Republic of China; Standardization Administration of the People’s Republic of China. GB/T 12763. 6-2007 Specifications for Oceanographic Survey Part 6: Marine Biological Survey; Standards Press of China: Beijing, China, 2008; pp. 56–62.
- Chen, X.J.; Li, G. Production of a Cross-Sectional Section of Chub Mackerel Otolith and Its Age Identification Method. Chinese Patent CN200910046983, 23 September 2009. [Google Scholar]
- Qiu, H.Y.; Xu, D.P.; Shi, W.G. A Review of the Relationship between Fish Otolish and Age. J. Zhejiang Ocean. Univ. Nat. Sci. 2009, 28, 331–337. [Google Scholar]
- Le Cren, E.D. The Length-Weight Relationship and Seasonal Cycle in Gonad Weight and Condition in the Perch (Perca fluviatilis). J. Anim. Ecol. 1951, 20, 201–219. [Google Scholar] [CrossRef] [Green Version]
- Furuichi, S.; Kamimura, Y.; Yukami, R. Length-length and Length-weight Relationships for Four Dominant Small Pelagic Fishes in the Kuroshio-Oyashio Current System. Thalass. Int. J. Mar. Sci. 2021, 37, 651–657. [Google Scholar] [CrossRef]
- Cailliet, G.M.; Smith, W.D.; Mollet, H.F.; Goldman, K.J. Age and growth studies of chondrichthyan fishes: The need for consistency in terminology, verification, validation, and growth function fitting. Environ. Biol. Fish. 2006, 77, 211–228. [Google Scholar] [CrossRef]
- Von Bertalanffy, L. A quantitative theory of organic growth (inquires on growth laws. II). Hum. Biol. 1938, 10, 181–213. [Google Scholar]
- Ricker, W.E. 11 Growth Rates and Models. Fish Physiol. 1979, 8, 677–743. [Google Scholar] [CrossRef]
- Pauly, D.; David, N. ELEFAN I, a BASIC program for the objective extraction of growth parameters from length-frequency data. Meeresforschung 1981, 28, 205–211. [Google Scholar]
- Du, X.X.; Gao, C.X.; Tian, S.Q.; Liu, W.C.; Wang, J.Q.; Ye, S. Growth, mortality and optimum catchable size of Bombay duck (Harpadon nehereus) in the Wentai fishing ground, East China Sea. Fish. Res. 2018, 42, 41–49. [Google Scholar] [CrossRef]
- Bates, D.M.; Mächler, M.; Bolker, B.; Walker, S. Fitting linear mixed-effects models using lme4. J. Stat. Softw. 2015, 67, 1–48. [Google Scholar] [CrossRef]
- Ogle, D.H. Introductory Fisheries Analyses with R; CRC Press: Boca Raton, FL, USA, 2018. [Google Scholar] [CrossRef]
- Pinheiro, J.; Bates, D.; DebRoy, S.; Sarkar, D. Linear and Nonlinear Mixed Effects Models [EB]. R Package Version 3.1-140. Available online: https://CRAN.R-project.org/package=nlme> (accessed on 6 November 2021).
- Froese, R.; Pauly, D. 2021. Available online: www.fishbase.de (accessed on 8 December 2021).
- Cui, M.Y.; Chen, W.F.; Dai, L.B.; Ma, Q.Y. Growth heterogeneity and natural mortality of Japanese scad in offshore waters of southern Zhejiang. J. Fish. Sci. China 2020, 27, 1427–1437. [Google Scholar] [CrossRef]
- Wang, Y.N.; Han, D.Y.; Ma, Q.Y.; Gao, C.X.; Tian, S.Q.; Tang, J. Linear mixed-effect models for heterogeneity analysis of fork length-mass relationships for Pampus echinogaster. J. Shanghai Ocean Univ. 2021, 30, 135–143. [Google Scholar] [CrossRef]
- Zheng, B. Age and Growth of Mackerel (Scomber Japonicus) and the Relationship between Its Abundance and Environmental Variables; Shanghai Ocean University: Shanghai, China, 2007. [Google Scholar]
- Wu, S.N.; Chen, X.J. Review on Fishery Biology and Fishery Oceanography of Chub Mackerel. (Scomber japonicus) in the Northwest Pacific Ocean. J. Guangdong Ocean Univ. 2018, 38, 10. [Google Scholar] [CrossRef]
- Li, Y.S.; Xing, Y.N.; Pan, L.Z.; Zhang, Y.; Yu, W. Research progress on life history and model application of Scomber japonicus. J. Dalian Ocean Univ. 2021, 36, 694–705. [Google Scholar] [CrossRef]
- Hu, C.L.; Zhang, Y.Z.; Li, D.W.; Zhu, W.B.; Jiang, R.J.; Li, P.F.; Wang, Y.; Zhou, Y.D.; Zhang, H.L. Study on fish resources and community diversity during spring and summer in the coastal spawning ground of Zhejiang province, China. Acta Hydrobiol. Sin. 2018, 42, 984–995. [Google Scholar] [CrossRef]
- Cheung, W.W.L.; Watson, R.; Pauly, D. Signature of ocean warming in global fisheries catch. Nature 2013, 497, 365–368. [Google Scholar] [CrossRef]
- Shao, F.; Chen, X.J. Genetic Variations of Scomber japonicus and S. australasicus Based on Random Amplified Polymorphic DNA in the Yellow Sea and the East China Sea. J. Guangdong Ocean Univ. 2008, 28, 5. [Google Scholar] [CrossRef]
- Yan, L.P.; Zhang, H.; Li, S.F.; Li, J.S. Progress of population identification and classification of chub mackerel ( Scomber japonicus) in the East China Sea and the Yellow Sea. Mar. Fish. 2012, 34, 5. [Google Scholar] [CrossRef]
- Enberg, K.; Jørgensen, C.; Dunlop, E.S.; Varpe, Ø.; Boukal, D.S.; Baulier, L.; Eliassen, S.; Heino, M. Fishing-induced evolution of growth: Concepts, mechanisms and the empirical evidence. Mar. Ecol. 2012, 33, 1–25. [Google Scholar] [CrossRef] [Green Version]
- Yatsu, A.; Watanabe, T.; Ishida, M.; Sugisaki, H.; Jacobson, L.D. Environmental effects on recruitment and productivity of Japanese sardine Sardinops melanostictus and chub mackerel Scomber japonicus with recommendations for management. Fish Oceanogr. 2005, 14, 263–278. [Google Scholar] [CrossRef]
- Fishery and Fishery Administration of the Ministry of Agriculture and Rural Areas; National Aquatic Technology Promotion Terminal; Chinese Society of Fisheries. China Fishery Statistical Yearbook, 2017; China Agriculture Press: Beijing, China, 2017; pp. 39–42.
- Fishery and Fishery Administration of the Ministry of Agriculture and Rural Areas; National Aquatic Technology Promotion Terminal; Chinese Society of Fisheries. China Fishery Statistical Yearbook, 2018; China Agriculture Press: Beijing, China, 2018; pp. 40–44.
- Fishery and Fishery Administration of the Ministry of Agriculture and Rural Areas; National Aquatic Technology Promotion Terminal; Chinese Society of Fisheries. China Fishery Statistical Yearbook, 2019; China Agriculture Press: Beijing, China, 2019; pp. 38–44.
- Fishery and Fishery Administration of the Ministry of Agriculture and Rural Areas; National Aquatic Technology Promotion Terminal; Chinese Society of Fisheries. China Fishery Statistical Yearbook, 2020; China Agriculture Press: Beijing, China, 2020; pp. 39–42.
- Schneider, J.C.; Laarman, P.W.; Gowing, H. Length-weight relationships. In Manual of Fisheries Survey Methods II: With Periodic Updates; Schneider, J.C., Ed.; Michigam Department of Natural Resources: Ann Arbor, MI, USA, 2000; Charpter 17; pp. 1–16. [Google Scholar]
- Shiraishi, T.; Okamoto, K.; Yoneda, M.; Sakai, T.; Ohshimo, S.; Onoe, S.; Yamaguchi, A.; Matsuyama, M. Age validation, growth and annual reproductive cycle of chub mackerel Scomber japonicus off the waters of northern Kyushu and in the East China Sea. Fish. Sci. 2008, 74, 947–954. [Google Scholar] [CrossRef]
- Booth, A.J. On the life history of the lesser gurnard (Scorpaeniformes: Triglidae) inhabiting the Agulhas Bank, South Africa. J. Fish Biol. 2010, 51, 1155–1173. [Google Scholar] [CrossRef] [PubMed]
- Nishijima, S.; Kamimura, Y.; Yukami, R.; Manabe, A.; Oshima, K.; Ichinokawa, M. Update on Natural Mortality Estimators for Chub Mackerel in the Northwest Pacific Ocean; NPFC-2021-TWG CMSA04-WP05; North Pacific Fisheries Commission: Tokyo, Japan, 2021. [Google Scholar]
- Chen, Y.; Mello, L. Growth and maturation of cod (Gadus morhua) of different year classes in the Northwest Atlantic, NAFO subdivision 3Ps. Fish. Res. 1999, 42, 87–101. [Google Scholar] [CrossRef]
- Yukami, R.; Nishijima, S.; Isu, S.; Kamiura, Y.; Furuichi, S.; Watanabe, R. Stock Assessment of Chub Mackerel Pacific Stock; National Research Institute of Fisheries Science: Yokohama, Japan, 2019. [Google Scholar]








| Year | Zhejiang Coastal Area | High Sea Near Japan | Total | ||||||
|---|---|---|---|---|---|---|---|---|---|
| Spring | Summer | Autumn | Winter | Spring | Summer | Autumn | Winter | ||
| 2016 | 282 | 42 | 0 | 0 | - | - | - | - | 324 |
| 2017 | 623 | 148 | 0 | 2 | - | - | - | - | 773 |
| 2018 | 147 | 0 | 3 | 6 | - | - | - | - | 156 |
| 2019 | 116 | 149 | 0 | 0 | - | - | - | - | 265 |
| 2020 | 76 | 12 | - | - | - | 836 | 244 | - | 1168 |
| Total | 1244 | 351 | 3 | 8 | - | 836 | 244 | - | 2686 |
| Models | Log-Transformed | AIC | RMSE | |
|---|---|---|---|---|
| GLM | −2011 | 16.62 | ||
| R | −2177 | 16.07 | ||
| Y | −2700 | 14.54 | ||
| R&Y | −2702 | 14.52 | ||
| S | −2521 | 15.06 | ||
| R&S | −2540 | 14.98 | ||
| Y&S | −3168 | 13.28 | ||
| R&Y&S | −3185 | 13.22 |
| Variables | Time | Region | a | b | References |
|---|---|---|---|---|---|
| Kcur/1960~61 | 1960~1961 | East China Sea | 1.02 × 10−5 | 3.05 | [6] |
| Kcur/1973~75 | 1973~1975 | East China Sea | 1.19 × 10−5 | 3.02 | [6] |
| Kcur/1982~86 | 1982~1986 | East China Sea | 1.66 × 10−5 | 2.95 | [6] |
| Kcur1999~02 | 1999~2002 | East China Sea | 4.44 × 10−6 | 3.19 | [6] |
| Kcur/2006~07 | 2006~2007 | East China Sea and Yellow Sea | 4.26 × 10−6 | 3.20 | [11] |
| Kcur/2006~16 | 2006~2016 | Northwest Pacific Ocean | 1.09 × 10−6 | 3.41 | [17] |
| Kcur/2016 | 2016 | Northwest Pacific Ocean | 1.06 × 10−6 | 3.41 | [14] |
| Kcur/2020.9~10 | 2020.9~2020.10 | Northwest Pacific Ocean | 6.21 × 10−6 | 3.11 | [23] |
| Variables | Region | Mean | Max | Min |
|---|---|---|---|---|
| Kcur/1960~61 | East China Sea | 0.744 | 1.551 | 0.259 |
| Kcur/1973~75 | East China Sea | 0.745 | 1.555 | 0.258 |
| Kcur/1982~86 | East China Sea | 0.769 | 1.609 | 0.264 |
| Kcur1999~02 | East China Sea | 0.827 | 1.971 | 0.292 |
| Kcur/2006~07 | East China Sea and Yellow Sea | 0.818 | 1.975 | 0.289 |
| Kcur/2006~16 | Northwest Pacific Ocean | 1.079 | 3.395 | 0.389 |
| Kcur/2016 | Northwest Pacific Ocean | 1.110 | 3.491 | 0.400 |
| Kcur/2020.9~10 | Northwest Pacific Ocean | 0.895 | 1.927 | 0.313 |
| Model | Parameter | Estimates | L (mm) under Different Models at Different Ages | AIC | BIC | Region | |||||
|---|---|---|---|---|---|---|---|---|---|---|---|
| Age = 0 | Age = 1 | Age = 2 | Age = 3 | Age = 4 | Age = 5 | ||||||
| VBGF | L∞ | 460.46 | 0–195.01 | 195.01–217.86 | 217.86–238.74 | 238.74–257.82 | 257.82–275.26 | 275.26–291.20 | 30.80 | 29.97 | High Sea near Japan |
| k | 0.09 | ||||||||||
| L0 | 195.01 | ||||||||||
| Logistic | L∞ | 427.94 | 0–197.69 | 197.69–217.64 | 217.64–237.53 | 237.53–257.02 | 257.02–275.79 | 275.79–293.57 | 31.35 | 30.52 | |
| k | 0.19 | ||||||||||
| L0 | 197.69 | ||||||||||
| Gompertz | L∞ | 508.02 | 0–197.55 | 197.55–217.76 | 217.76–237.63 | 237.63–256.99 | 256.99–275.69 | 275.69–293.62 | 31.08 | 30.24 | |
| k | 0.11 | ||||||||||
| L0 | 0.94 | ||||||||||
| ELEFAN I | L∞ | 283.39 | 0–38.01 | 38.01–112.19 | 112.19–163.95 | 163.95–200.06 | 200.06–225.25 | 225.25–242.83 | - | - | Zhejiang coastal area |
| k | 0.36 | ||||||||||
| t0 | −0.40 | ||||||||||
Publisher’s Note: MDPI stays neutral with regard to jurisdictional claims in published maps and institutional affiliations. |
© 2022 by the authors. Licensee MDPI, Basel, Switzerland. This article is an open access article distributed under the terms and conditions of the Creative Commons Attribution (CC BY) license (https://creativecommons.org/licenses/by/4.0/).
Share and Cite
Cai, K.; Kindong, R.; Ma, Q.; Han, X.; Qin, S. Growth Heterogeneity of Chub Mackerel (Scomber japonicus) in the Northwest Pacific Ocean. J. Mar. Sci. Eng. 2022, 10, 301. https://doi.org/10.3390/jmse10020301
Cai K, Kindong R, Ma Q, Han X, Qin S. Growth Heterogeneity of Chub Mackerel (Scomber japonicus) in the Northwest Pacific Ocean. Journal of Marine Science and Engineering. 2022; 10(2):301. https://doi.org/10.3390/jmse10020301
Chicago/Turabian StyleCai, Kai, Richard Kindong, Qiuyun Ma, Xiaobin Han, and Song Qin. 2022. "Growth Heterogeneity of Chub Mackerel (Scomber japonicus) in the Northwest Pacific Ocean" Journal of Marine Science and Engineering 10, no. 2: 301. https://doi.org/10.3390/jmse10020301
APA StyleCai, K., Kindong, R., Ma, Q., Han, X., & Qin, S. (2022). Growth Heterogeneity of Chub Mackerel (Scomber japonicus) in the Northwest Pacific Ocean. Journal of Marine Science and Engineering, 10(2), 301. https://doi.org/10.3390/jmse10020301

