An Efficient Opportunistic Routing Based on Prediction for Nautical Wireless Ad Hoc Networks
Abstract
:1. Introduction
- Transmission quality prediction. According to the propagation model in oceans, the packet reception ratio (PRR) is evaluated between the sender node and its relay nodes to represent transmission quality.
- Relay advancement prediction. To guarantee the maximum transmission of information, we predict the probability of relay advancement to detect the unavailability of some apparently qualified relay nodes.
- Combining transmission quality and relay advancement prediction, we propose a novel weight-based routing scheme with prediction for OppNets called WRSP, which selects high-priority nodes to forward the packets.
2. Related Work
3. The Proposed Algorithm
3.1. Network Model
3.2. The Description of WRSP
3.2.1. Transmission Quality Prediction
3.2.2. Relay Advancement Prediction
3.3. Routing Decision Scheme
| Algorithm 1 WRSP routing algorithm |
Begin 1: for each message m do 2: for each node do 3: for sender S broadcasts messages to its neighbors do 4: if = then 5: transmits directly messages m to 6: else 7: while > 0 do 8: if node still needs to broadcast messages to its neighbors then 9: Equation (12) is used to make decision on relay node selection 10: else 11: the routing strategy is switched to the MANETs routing in [2] to select the relay nodes 12: end if 13: end while 14: end if 15: end for 16: end for 17: end for End |
4. Performance Evaluation
4.1. WRSP Parameters
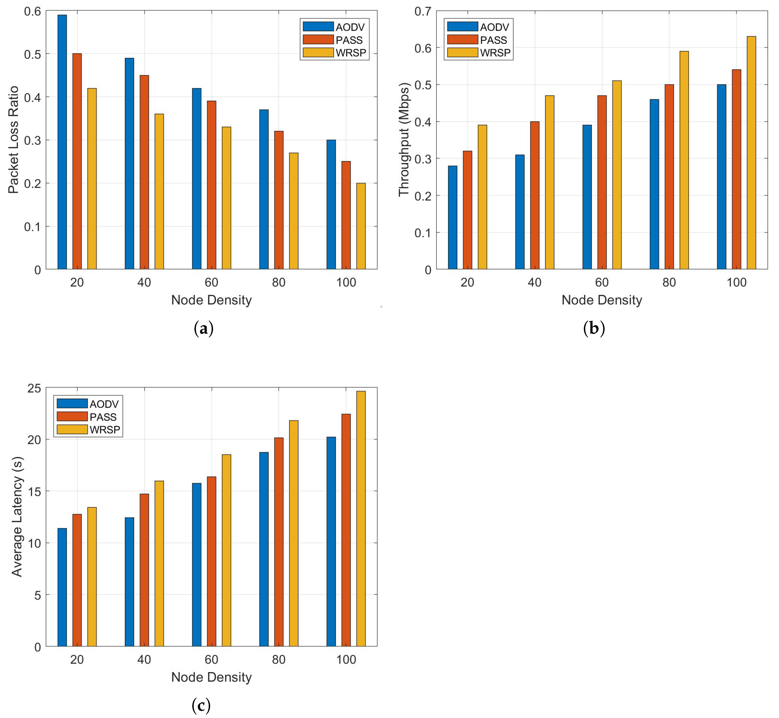
4.2. Performance Comparison with AODV and PASS
5. Conclusions
Author Contributions
Funding
Institutional Review Board Statement
Informed Consent Statement
Data Availability Statement
Conflicts of Interest
References
- Jiang, S. Marine Internet for Internetworking in Oceans: A Tutorial. Future Internet 2019, 11, 146. [Google Scholar] [CrossRef] [Green Version]
- Ge, L.; Jiang, S. An Adaptive Strategy Switching Scheme for Data Forwarding in Nautical Wireless Ad Hoc Networks. IEEE/ACM Trans. Netw. 2022; under review. [Google Scholar]
- Zhang, Z. Routing in intermittently connected mobile ad hoc networks and delay tolerant networks: Overview and challenges. IEEE Commun. Surv. Tutor. 2006, 8, 24–37. [Google Scholar] [CrossRef] [Green Version]
- Juang, P.; Oki, H.; Wang, Y.; Martonosi, M.; Peh, L.S.; Rubenstein, D. Energy-efficient computing for wildlife tracking: Design tradeoffs and early experiences with ZebraNet. In Proceedings of the 10th International Conference on Architectural Support for Programming Languages and Operating Systems, San Jose, CA, USA, 5–9 October 2002; pp. 96–107. [Google Scholar]
- Asuquo, P.; Cruickshank, H.; Sun, Z.; Chandrasekaran, G. Analysis of dos attacks in delay tolerant networks for emergency evacuation. In Proceedings of the 2015 9th International Conference on Next Generation Mobile Applications, Services and Technologies, Cambridge, UK, 9–11 September 2015; pp. 228–233. [Google Scholar]
- Guo, Y.; Schildt, S.; Pögel, T.; Wolf, L. Detecting malicious behavior in a vehicular DTN for public transportation. In Proceedings of the Global Information Infrastructure Symposium-GIIS 2013, Trento, Italy, 28–31 October 2013; pp. 1–8. [Google Scholar]
- Ji, M.; Cui, X.; Li, J.; Xu, T.; Li, S.; Liu, J. A Routing Algorithm Based on Network Connectivity Assessment for Maritime Opportunistic Networks. Procedia Comput. Sci. 2021, 187, 200–205. [Google Scholar] [CrossRef]
- Aung, C.Y.; Ho, I.W.H.; Chong, P.H.J. Store-Carry-Cooperative Forward Routing With Information Epidemics Control for Data Delivery in Opportunistic Networks. IEEE Access 2017, 5, 6608–6625. [Google Scholar] [CrossRef]
- Pan, D.; Zhang, H.; Chen, W.; Lu, K. Transmission of multimedia contents in opportunistic networks with social selfish nodes. Multimed Syst. 2015, 21, 277–288. [Google Scholar] [CrossRef]
- Wu, H.; Wang, J.; Ananta, R.R.; Kommareddy, V.R.; Wang, R.; Mohapatra, P. Prediction based opportunistic routing for maritime search and rescue wireless sensor network. J. Parallel Distr. Comput. 2018, 111, 56–64. [Google Scholar] [CrossRef]
- Ge, L.; Jiang, S. An Efficient Routing Scheme Based on Node Attributes for Opportunistic Networks in Oceans. Entropy 2022, 24, 607. [Google Scholar] [CrossRef] [PubMed]
- Li, N.; Martinez-Ortega, J.F.; Diaz, V.H. Efficient and Reliable Topology Control based Opportunistic Routing Algorithm for WSNs. arXiv 2017, arXiv:1709.10317. [Google Scholar]
- Cao, Y.; Sun, Z.; Wang, N.; Cruickshank, H.; Ahmad, N. A Reliable and Efficient Geographic Routing Scheme for Delay/Disruption Tolerant Networks. IEEE Wirel. Commun. Lett. 2013, 2, 603–606. [Google Scholar] [CrossRef]
- Ge, L.; Jiang, S.; Wang, X.; Xu, Y.; Feng, R.; Zheng, Z. Link Availability Prediction Based on Machine Learning for Opportunistic Networks in Oceans. IEICE Trans. Fundam. Electron. Commun. Comput. 2022, 105, 598–602. [Google Scholar] [CrossRef]
- Keshavarzian, A.; Uysal-Biyikoglu, E.; Herrmann, F.; Manjeshwar, A. Energy-efficient link assessment in wireless sensor networks. In Proceedings of the IEEE INFOCOM 2004, Hong Kong, China, 7–11 March 2004; Volume 3, pp. 1751–1761. [Google Scholar]
- Perkins, C.; Royer, E. Ad-hoc on-demand distance vector routing. In Proceedings of the WMCSA’99, Second IEEE Workshop on Mobile Computing Systems and Applications, New Orleans, LA, USA, 25–26 February 1999; pp. 90–100. [Google Scholar]




| Combination # | ||
|---|---|---|
| 1 | ||
| 2 | ||
| 3 | ||
| 4 | ||
| 5 | ||
| 6 | ||
| 7 | ||
| 8 | ||
| 9 | ||
| 10 | 0 |
Publisher’s Note: MDPI stays neutral with regard to jurisdictional claims in published maps and institutional affiliations. |
© 2022 by the authors. Licensee MDPI, Basel, Switzerland. This article is an open access article distributed under the terms and conditions of the Creative Commons Attribution (CC BY) license (https://creativecommons.org/licenses/by/4.0/).
Share and Cite
Ge, L.; Jiang, S. An Efficient Opportunistic Routing Based on Prediction for Nautical Wireless Ad Hoc Networks. J. Mar. Sci. Eng. 2022, 10, 789. https://doi.org/10.3390/jmse10060789
Ge L, Jiang S. An Efficient Opportunistic Routing Based on Prediction for Nautical Wireless Ad Hoc Networks. Journal of Marine Science and Engineering. 2022; 10(6):789. https://doi.org/10.3390/jmse10060789
Chicago/Turabian StyleGe, Lige, and Shengming Jiang. 2022. "An Efficient Opportunistic Routing Based on Prediction for Nautical Wireless Ad Hoc Networks" Journal of Marine Science and Engineering 10, no. 6: 789. https://doi.org/10.3390/jmse10060789
APA StyleGe, L., & Jiang, S. (2022). An Efficient Opportunistic Routing Based on Prediction for Nautical Wireless Ad Hoc Networks. Journal of Marine Science and Engineering, 10(6), 789. https://doi.org/10.3390/jmse10060789

