Next Article in Journal
Effects of Bionic Bone Flexibility on the Hydrodynamics of Pectoral Fins
Next Article in Special Issue
Application of the UNIFAC Model for the Low-Sulfur Residue Marine Fuel Asphaltenes Solubility Calculation
Previous Article in Journal
Research on Multi-Ship Target Detection and Tracking Method Based on Camera in Complex Scenes
 
 
Font Type:
Arial Georgia Verdana
Font Size:
Aa Aa Aa
Line Spacing:
Column Width:
Background:
Article

Effect of Ultrasound Irradiation on the Properties and Sulfur Contents of Blended Very Low-Sulfur Fuel Oil (VLSFO)

1
Department of Mechanical Engineering, University of Science & Technology, Daejeon 34113, Korea
2
Daejeon Institute, National Forensic Service, Daejeon 34054, Korea
*
Author to whom correspondence should be addressed.
J. Mar. Sci. Eng. 2022, 10(7), 980; https://doi.org/10.3390/jmse10070980
Submission received: 30 June 2022 / Revised: 12 July 2022 / Accepted: 13 July 2022 / Published: 17 July 2022
(This article belongs to the Special Issue Marine Fuels and Green Energy)

Abstract

:
Quality issues concerning very low-sulfur fuel oil (VLSFO) have increased significantly since the IMO sulfur-limit regulation became mandatory in 2020, as most VLSFO is produced by blending high-sulfur fuel oil (HSFO) with VLSFO. For instance, the conversion of VLSFO paraffins (C19 or higher alkanes) into waxes at low temperatures adversely affects cold flow properties. This study investigates the effects of ultrasonication on the chemical composition, dispersion stability, and sulfur content of samples prepared by blending ISO-F-DMA-grade marine gas oil (i.e., VLSFO) and ISO-F-RMG-grade marine heavy oil (i.e., HSFO) in volumetric ratios of 25:75 (BFO1), 50:50 (BFO2), and 75:25 (BFO3). The paraffin content decreased by 19.2% after 120 min of ultrasonic irradiation for BFO1 by 16.8% after 30 min for BFO3. The decrease in the content of high-molecular-weight compounds was faster at higher HSFO content; however, ultrasonication for longer-than-optimal times induced reaggregation, and thus, increased the content of high-molecular-weight compounds and decreased dispersion stability. In addition, ultrasonication did not significantly affect the sulfur content of BFO1 but decreased those of BFO2 (by 19% after 60 min) and BFO3 (by 25% after 30 min). Desulfurization efficiency increased with the increasing content of HSFO, as water present therein acted as an oxidant for oxidative desulfurization.

1. Introduction

Marine transportation is responsible for >80% of global trade but negatively affects the environment [1], accounting for ~15% of the emitted SOx and NOx emissions, which are major air pollutants and greenhouse gases [2]. In 1997, the International Maritime Organization (IMO) recognized air pollution from ships, and the regulation was first adopted in the International Convention for the Prevention of Pollution from Ships. This regulation has become stricter since it came into force in 2005, and the IMO mandated a new policy limiting the sulfur content of marine fuel oil to ≤0.5% for all ships on international voyages in 2020 [3]. The above policy is expected to reduce SOX emissions from ships by 77% [4] and requires ship operators or owners to use very low sulfur fuel oil (VLSFO) or install exhaust-gas-cleaning systems such as scrubbers to comply with the new policy on sulfur content. Among these approaches, the use of VLSFO is typically preferred because of its simplicity and low initial investment costs [4]. In addition, many ship operators have postponed scrubber retrofitting owing to increasing freight costs. The effectiveness of open-loop scrubbers, which release SOX into the ocean instead of simply emitting it into the air, remains controversial. For instance, Singapore has banned ships using such scrubbers from entering its ports [5]. The demand for VLSFO is expected to continue over the long term, as the adoption possibility of future regulations governing scrubber wash-water cannot be ruled out. Moreover, using VLSFO may also be beneficial in improving the efficiency of selective catalytic reduction [6], the only method of NOX emission reduction recognized by the IMO, as denitrification catalysts can be easily contaminated by SO2 [7] and suffer from operational problems, such as sulfuric acid corrosion [8].
Despite the increasing availability of low sulfur alternative fuels [9,10,11], such as biodiesel, vegetable oils, and ammonia, they are mostly used in the road transportation sector and are in-compatible with marine engines [10]. Another alternative fuel, liquified natural gas (LNG), has been implemented mainly on LNG tankers and new dual-fuel ships [12]. There are three conventional methods for manufacturing VLSFO with a sulfur content of ≤0.5% [13]: (1) purifying low-sulfur crude oil (i.e., sweet oil), (2) using a desulfurization system for high sulfur fuel oil (HSFO), and (3) blending VLSFO with HSFO. Among of these approaches, the first method has a supply-versus-demand problem. The second method, i.e., desulfurization technology [14], requires a sulfur-recovery plant, a long construction time, and a significant initial investment, and it is therefore limited to large refineries [15]. Hydrodesulfurization (HDS) [15,16] is a conventional desulfurization technology whereby the cleavage of sulfide C–S bonds at ≥400 °C to release the sulfide ion (S2−), which subsequently bonds to hydrogen and is removed as H2S. Although sulfur compounds, such as thiols, are relatively easy to remove, deep desulfurization utilized to treat aromatic sulfur compounds, such as dibenzothiophene, requires higher pressures and temperatures than conventional processes. Moreover, HDS suffers from the problem of continuous hydrogen consumption [16]. In view of the above, significant attention has been drawn to oxidative desulfurization (ODS) technology [16,17], which does not consume hydrogen, and it is based on the well-known susceptibility of organic sulfur compounds to oxidation. During ODS, it consists of the oxidation process followed by the extraction process of the oxidized products. The oxidized sulfones are more polar than sulfides, which can be easily extracted using polar solvents, and H2O2 is primarily used as the oxidant.
The third method is the blending of VLSFO and HSFO with different sulfur contents, and it is the one most widely applied for VLSFO production because it is simpler than the other two methods. However, the characteristics of the resulting blend greatly depend on the origin of raw materials, the production time, and the refinery/purification processes. Improper blending results in unstable fuels, and thus causes excess sludge production, a decline in blending stability, and necessitates the use of additives [12,18]. Consequently, there are always incompatibility [19] and additives (e.g., cutter stock) issues [20]. A survey conducted on 192 ship operators revealed that 55% of these operators have experienced some quality issues with VLSFO [18]. In addition, there is an issue with the cold flow of blended VLSFO because it has rich paraffines [21]. The paraffines, which are alkanes of C19 or higher, harden at low temperatures and change the wax’s form, as referred to as paraffin wax.
Ultrasound-assisted technology rely on cavitation, a phenomenon that is observed p on irradiation with ultrasound at ≥20 kHz. When a fluid moves at high speed, pressure fluctuations occur inside the fluid, and cavities (microbubbles) form when the fluid pressure drops below the vapor pressure. Subsequently, the cavities are amplified as the fluid pressure fluctuates, and when the fluid pressure becomes higher than the saturated vapor pressure, the cavities collapse instantaneously to form locally hot spots with temperatures of ≥5000 °C and pressures of ≥101,325,000 Pa [22]. This phenomenon is referred to as cavitation, and it is known to be capable of breaking chemical bonds, generating free radicals, and forming microemulsions [23]. Specifically. ultrasound induces very fine emulsions between the liquid–liquid interfaces of the mixed liquid, which causes micro-convection [24], and breaks aromatic hydrocarbons into aliphatic hydrocarbons, which leads to an increase in the cetane number of the fuel [25,26]. Ultrasound-assisted oxidative desulfurization (UAOD) with cavitation is representative technology [27,28], and many studies have reported that ultrasound facilitates ODS [29,30,31]. However, most studies related to ultrasound have focused on accelerating the oxidation reaction with additives, such as oxidants and extract, to the best of the author’s knowledge.
This study on the effect of ultrasonic irradiation is conducted as one of the methods to improve the quality problems, such as excessive sludge, decreasing the mixing stability, and decreasing low-temperature fluidity, in blended VLSFO. It is expected that the ultrasound can improve the quality of blended VLSFO because the cavitation can break chemical bonds and form very fine emulsions between the liquid interfaces, as mentioned above. In addition, it might be possible to remove the sulfur by ultrasound without any additives. This study focuses on the pure effects of ultrasound on blended VLSFO depending on the blending ratio and ultrasonic irradiation time without any additives. The cracking effects of high molecular compounds, such as paraffines, are investigated using gas chromatography with flame ionization detection (GC/FID). The stability analysis is performed depending on whether ultrasonic irradiation is applied or not, and the possibility of desulfurization is discussed based on water contents in blended VLSFO.

2. Experiments

2.1. Materials and Analysis Methods

The feedstocks for the sample of blended VLSFO were ISO-F-RMG-grade marine heavy oil (hereinafter referred to simply as RMG) and ISO-F-DMA-grade marine gas oil (hereinafter referred to simply as DMA) [32]; those were supplied from the existing ship. The samples of blended VLSFO (hereinafter referred to simply as blended fuel oil, BFO1–3) for the experiment were prepared by blending RMG and DMA in the volume ratios shown in Table 1. A set volume of RMG was added to the oil tank, heated to approximately 50 °C, and then added DMA. BFO was circulated using a circulation pump and stirred for two hours with an agitator.
Specific gravity analysis was performed using a densitometer (DMA4500) from Anton Paar (Graz, Austria) following the ASTM D4052 standard. Specific gravity for 1 mL of sample, without pretreatment, was measured at 15 °C. Kinematic viscosity analysis was performed using an analytical apparatus (mini AV-X) from Cannon (Saitama, Japan) following the ASTM D445 standard. The bath temperature was 50 °C, and approximately 10 mL of sample was measured without pretreatment. The sulfur content in 5 mL of sample, without pretreatment, was analyzed using an X-ray fluorescence spectrophotometer (SLFA-2800) from Horiba (Kyoto, Japan) based on the testing standard ASTM D4294. The Korean Register of Shipping, a certified testing and certification agency, was contracted to analyze the dispersion stability based on the ASTM D7061:12 standard. The sample was diluted with toluene at a ratio of 1:9, 2 mL of diluted sample was blended with heptane 23 mL, and then it was optically scanned in the dispersion stability analyzer (Model: Turbiscan Heavy Fuel, Manufacturer: Formulaction, Toulouse, France). The analyzer detects transparency by irradiating light on the sample, and dispersion stability of the sample, i.e., stability number (SN), is determined using Equation (1), as follows:
S N = i = 1 n ( x i x T ) n 1
where x i is average transparency recorded every 1 min, and x T is average of x i . n means number of repeated measurements, which was 15 in this study.
GC/FID analysis was performed to compare the chemical species. After mixing with dichloromethane (≥99.8%, Merck, Whitehouse Station, NJ, USA) for 20 min at 60 rpm, the sample was extracted. After filtering with 0.45 μm PTEF filter (PTFE Syringe Filters, WHATMAN, Maidstone, UK), the dilution ratio was regulated to obtain a significant measured value. GC 6890 as GC/FID by Agilent Technologies (Santa Clara, CA, USA) was used. Helium gas was used as the mobile phase gas, and the flow rate was 40 mL/min. After maintaining the initial temperature at 50 °C for 2 min, the temperature was raised to 320 °C at a rate of 10 °C per min, and the final temperature was maintained for 35 min.

2.2. Equipment

Figure 1 shows a photograph of the cup chamber-type reactor equipped with a reactor horn and water jacket, and Figure 2 illustrates a schematic of the ultrasonic irradiation equipment used in the experiment. The maximum output and frequency of the ultrasonic generator were 600 W and 19.8 kHz, respectively. The generator output varied depending on the oil temperature, and the average generator output during the ultrasonic irradiation period was 80 W. The reactor was fitted with a water jacket to maintain a constant temperature because the temperature inside the reactor increases with long operation times due to cavitation. The experimental equipment was set up as a circulating system consisting of an oil tank equipped with a heater (2 kW), agitator (1550 rpm), and trochoid oil pump. A ventilation line was installed on the upper part of the tank.

2.3. Ultrasonic Irradiation Experiment

Each ultrasonic irradiation experiment was continuously performed for 120 min. The BFO, which was circulated inside the experimental equipment at a rate of 36 L/h, was exposed to ultrasonic irradiation when it passed through the reactor-cup chamber. The oil temperature remained at 55 ± 2 °C during the experiment. The BFO samples for analysis were extracted at 0, 30, 60, and 120 min of irradiation time.

3. Results and Discussion

3.1. Blending

Generally, the uniform blending of two different fluids eliminates the physical property gradient between the two fluids, which ultimately converges to their average values. However, fuel oil contains different classes of hydrocarbons with varying affinities. In particular, heavy oil, such as RMG, contain poorly soluble materials and suspended solids; thus, obtaining the theoretical average value is known to be difficult [33]. Table 2 lists the initial value of specific gravity, kinematic viscosity, sulfur content, and stability number (SN) for the feedstocks and BFOs. The table shows that when DMA and RMG are blended, the specific gravity is within 2% of the arithmetic mean value based on the blending ratio, while the kinetic viscosity is much lower than the arithmetic mean value because the viscosity of fuel changes non-linearly.
The SN is an indicator of dispersion stability, which indicates the ability to remain in a state over time. When the SN is over 10, the dispersion stability becomes very poor, which could be interpreted as the aggregation of asphaltene occurring easily or being already in progress. BFO1 shows high dispersion stability (SN = 0.6) and no asphaltene aggregation. BFO3 shows significantly reduced dispersion stability (SN = 10) but no asphaltene aggregation as long as there is no external exposure. Although the SN of BFO increases with increasing RMG, instability at the level at which agglomeration occurs is not observed.

3.2. GC/FID Analysis

The GC/FID analysis results for (a) TPH, total petroleum hydrocarbons, (b) BFO1, (c) BFO2, and (d) BFO3 before ultrasonic irradiation can be seen in Figure 3. The x-axis represents the run time (RT, min), and the y-axis is the peak intensity. The data for TPH, which is the standard alkane, can be analyzed for the peaks of n-alkanes from C4 (butane) to C34 (tetratriacontane). Comparing BFO1 to BFO3, the relative abundance of alkane peaks decreases as the content of RMG, a heavy oil, increases, and the peak of the unresolved complex mixture (UCM) corresponding to heavy oil increases. The UCM, which exhibits an associated hump, is a feature observed in the GC data of crude oils. The resolved components, such as alkanes, appear as peaks, while the UCM appears as a large background [34].
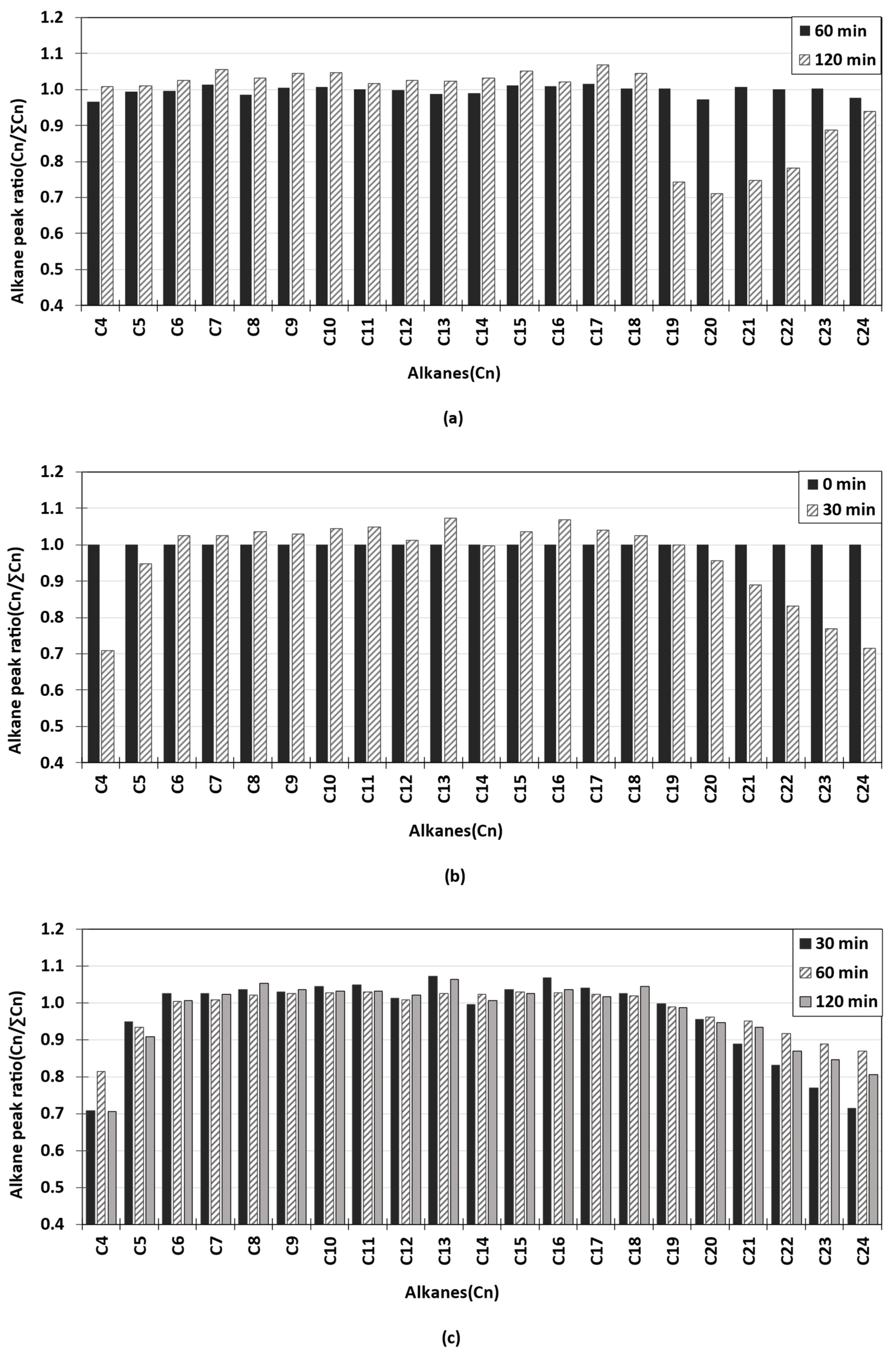
Raw GC/FID data acquired after ultrasonic irradiation are presented in the Supplementary Materials (Figure S1), and Figure 4 illustrates the comparison of the section where the paraffines, which are the alkanes of C19 or higher, decrease the most in BFO1 and BFO3 after ultrasonic irradiation. The y-axis, which is the alkanes’ peak ratio, is a relative value determined by dividing the intensity of each alkane (Cn) peak by the sum of the intensity of all alkane peaks. In the case of BFO1 with rich DMA, the change in alkanes is repeated with a slight increase or decrease until 60 min of ultrasonic irradiation time (see Figure S2), and then it is reduced significantly at the condition of 120 min. As shown in Figure 4a, the alkanes below C18 increase by an average of 3.5% at 120 min, and the paraffines decrease by 19.2% compared to the previous condition of 60 min. Therefore, the ultrasonic cracking effect on high molecular compounds in RMG after 60 min of ultrasonic irradiation is observed. For BFO3 with 75% RMG (Figure 4b), the reduction effect of high molecular compounds appears immediately at 30 min. The region between C6 and C18 increases by 3.3% on average, and the paraffines decrease by 16.8%. In contrast to BFO1, BFO3 has the reduction region of the alkanes of C5 or lighter due to reaggregation with the high SN. If the particles are unstable in liquid, the reaggregation occurs due to the attractive forces between them. The initial SN of BFO3 is 10, which indicates the possibility that it is in an unstable state and reaggregation is in progress. The attraction forces between particles are strong as the particles are small [35,36], and thus it seems that the alkanes C5 or lighter in BFO3 are reduced by reaggregation into larger molecules in the unstable state.
Figure 4c indicates that the paraffines in BFO3 increase after 30 min and by 10% on average at 60 min compared to 30 min. It is believed that the ultrasonic irradiation time exceeds the optimal irradiation time [37]. For a certain period with ultrasonic irradiation time, free radicals are formed during the cracking of high molecular compounds into lighter compounds due to ultrasound. Beyond this period, referred to as the optimal radiation time, the rate of radical formation decreases, and even larger high molecular compounds, such as asphaltenes, are formed because the radicals branch to other heavier components or asphaltenes [37]. It can be assumed that the optimal irradiation time is below 60 min for BFO3 as the concentration of the paraffines increases after 60 min. In the case of BFO2 with the same content as DMA and RMG (Figure S3), although no dominant phenomenon is identified between decomposition and reaggregation as the characteristics of the two oils are mixed, reaggregation occurs at 120 min as for BFO3. The paraffines increase by 7% on average due to continuous ultrasonic irradiation.
The paraffines, which are alkanes of C19 or higher, are hardened at low temperatures and change the form of wax, and recently, vessels that used the blended VLSFO have reported the problem of cold flow due to the paraffines [21]. Therefore, it is possible that the ultrasound may resolve the problem of cold flow for blended VLSFO by reducing the alkanes of C19 or higher, as shown in the case of BFO1 and BFO3. In addition, although the optimal irradiation time cannot be analyzed in detail with our conditions, it is confirmed that the optimal irradiation time varies depending on the blending ratio. It seems that it will be helpful to design an experiment that considers the optimal irradiation time for future studies.

3.3. Dispersion Stability

The dispersion stability of blended fuel oil indicates its potential for emulsion formation and asphaltene aggregation over time. Figure 5 shows the measurements of the dispersion stability with and without ultrasonic irradiation after 120 min. The x-axis represents the position from the bottom to the fill level of the vial, and the y-axis is the transmission. For the scanning profiles, six curves are obtained every 3 min. The overlap of all measured profiles with the first profile indicates high dispersion stability, whereas the greater the deviation with the first profile, the lower the dispersion stability. The measured results are reported as the SN; the SN closer to zero indicates a highly stable state, whereas the SN over 10 indicates that asphaltene aggregation is already in progress. After ultrasonic irradiation, SN increases from 0.6 to 0.8 for BFO1, from 3.6 to 5.6 for BFO2, and from 10 to 14.1 for BFO3, respectively. Although the SN of BFO1 increases slightly, it is still very stable (Figure 5d). The dispersion stability of BFO2 and BFO3 is significantly reduced, as shown in Figure 5e,f. The reasons could be explained by the change in rheological characteristics of the asphaltenes contained in RMG. Asphaltenes, which have a highly complex molecular structure, readily dissolve in aromatic compounds but do not dissolve in paraffin [7]. As asphaltenes in fuel oil stabilize in micellar form upon adsorption by resin [37,38], the saturation rate of aromatics that can dissolve the micelles is the critical parameter for stabilizing the asphaltenes [39]. However, continuous ultrasonic irradiation decreases the asphaltene solubility due to the cracking of aromatic hydrocarbons into aliphatic hydrocarbons [25]. The ultrasound can crack the high molecular compounds, such as asphaltenes, and it also can accelerate the asphaltene aggregation beyond the optimal irradiation time, increasing SN. These agree that the concentration of high molecular compounds increases at 120 min in BOF2 and BFO3, as shown in Section 3.2 concerning the GC/FID.
From prior studies, it is known that ultrasound improves the dispersion stability of each sample [40,41], but it seems that this study shows different results. It is important to note that these SN results are the value after 120 min of ultrasound irradiation and that, at that time, GC/FID analysis indicates an increase in high molecular compounds in all conditions, as mentioned above. Consequently, it is believed that the SN may be declined at the optimal irradiation time.

3.4. Sulfur Content

Most studies on desulfurization with ultrasound have investigated the effect of ultrasound as an accelerator on chemical reaction rates with some oxidant or solvent. In this study, the sulfur contents are reduced without additives, such as oxidants or solvents, in certain blending ratios (BFO2, BFO3), as shown in Figure 6. It is observed that sulfur compounds are decomposed into hydrogen sulfide owing to the low thermal stability. Furthermore, water contained in the RMG acts as an oxidizer. The water contained in the fuel underwent thermal cracking by ultrasonic treatment, thereby supplying the H2 and O needed for desulfurization. Equation (3) shows the formula for the thermal cracking of water, which breaks down the molecules mostly into H, H2, O, O2, and OH at temperatures ≥ 2000 K. At temperatures over 3500 K, most water is broken down into H2 and O [42]. The cavitation collapse by ultrasound creates local hot spots (approximately ≥ 5000 K and 101,325,000 Pa) [31], which are sufficient to cause cracking of the water in fuel oil. Equations (3) and (4) show the HDS and ODS reactions, respectively. It is believed that the H2 and O produced from the cracking of water in the fuel oil participate in these reactions:
H 2 O + Heat   H 2 ,   H ,   O ,   O 2 ,   H 2 O 2 ,   OH
R S   R + H 2   R   R + H 2 S
R S   R [ O ]   R SO 2   R heat R   R + SO 2
The water content of feedstocks is 0.003% for DMA and over 2.5% for RMG. BFO1 with 0.76 wt.% sulfur, as shown in Figure 6, shows an insignificant change in sulfur content because it has a high DMA with low water. However, BFO2 with 1.33 wt.%
Sulfur reduces by 19% at 60 min, and BFO3 with 1.94 wt.% sulfur decreases by 25% at 30 min. The higher the content of RMG, the faster the sulfur reduction effect and the higher the reduction rate because water, which can be broken into H2 and O, is also increased. Therefore, it is suggested that the desulfurization reaction of BFO3 is accelerated more than BFO2 as the content of RMG increases. Nevertheless, the sulfur is increased lightly with continuous ultrasonic irradiation because H2S is highly soluble. It is supposed that some of the H2S is re-dissolved in the fuel when ultrasonic irradiation is continued without the extraction of H2S. Many prior studies [16,30,31] directly using oxidants such as H2O2 reported that sulfur removal could be possible for over 80%. However, the oxidant volume is much higher than the water contents in the present study, and sulfur compounds are limited, such as thiophene, benzothiophene, and dibenzothiophene. Although using oxidants might be more efficient, results from this study are meaningful in terms of using the water among the fuel because there is much condensate water in the fuel storage tanks.

4. Conclusions

This study investigates the effect of ultrasound on the change of chemical species, dispersion stability, and sulfur content for VLSFO blended with three-volume ratios. After blending, although the SN increases as the RMG contents increase, which means dispersion stability decreases, it remains lower than the level at which asphaltene agglomerates. The specific gravity is similar to the arithmetic mean value depending on the blending ratio, but the viscosity is much lower than the arithmetic mean value because the viscosity of the liquid is changed non-linearly.
According to GC/FID results, the paraffines, which are alkanes of C19 or higher leading to the problem of low-temperature fluidity, are decreased by 19% at 120 min of irradiation time for BFO1 and by 16.8% at 30 min for BFO3. It is believed that the different reduction times are due to the cracking effect being relatively faster with a large amount of RMG. The continuous ultrasonic irradiation beyond the optimal time also increases the paraffines and SN due to the reaggregation process. After 120 min of ultrasonic irradiation, SN is increased by 33, 47, and 41% for BFO1, BFO2, and BFO3, respectively. It is supposed that ultrasound decreases the asphaltene solubility due to the cracking of aromatic hydrocarbons into aliphatic hydrocarbons, occurring for the larger compounds. However, what is not yet clear is the optimal irradiation time for each blending ratio within our samples. Although SN increases after 120 min in the present study, it is believed that the SN may be decreased at the optimal irradiation time.
The change in sulfur content is insignificant for BFO1 but decreases by 19% at 60 min for BFO2 and 25% at 30 min. As the content of RMG increases, sulfur content decreases within a shorter time. It seems that the water and sulfur contained in RMG are combined into H2S or SO2. However, the sulfur increases after decreasing because H2S can be re-dissolved in the oil due to its high solubility. Therefore, it is necessary to remove H2S from the additional process.
Ultrasound does not have a positive effect under all conditions because marine fuel is not a single substance but a mixture of thousands of substances. Nevertheless, the reductions of paraffines and sulfur under certain conditions in this study are quite significant, and further work needs to be carried out to track the optimal irradiation time according to the oil properties.

Supplementary Materials

The following supporting information can be downloaded at: https://www.mdpi.com/article/10.3390/jmse10070980/s1, Figure S1: Raw GC/FID data for BFO1, BFO2, BFO3: (a) 30 min for BFO1; (b) 60 min for BFO1; (c) 120 min for BFO1; (d) 30 min for BFO2; (e) 60 min for BFO2; (f) 120 min for BFO2; (g) 30 min for BFO3; (h) 60 min for BFO3; (i) 120 min for BFO3.; Figure S2: Variation on alkane peak ratio for BFO1; Figure S3: Variation on alkane peak ratio for BFO2.

Author Contributions

Conceptualization, H.-j.J. and S.-k.J.; methodology, H.-j.J.; software, H.-j.J.; validation, S.-k.J.; formal analysis, H.-j.J. and S.-k.J.; investigation, H.-j.J. and S.-k.J.; resources, H.-j.J. and S.-k.J.; data curation, H.-j.J. and S.-k.J.; writing—original draft preparation, H.-j.J.; writing—review and editing, S.-k.J.; visualization, H.-j.J. and S.-k.J.; supervision, S.-k.J.; project administration, S.-k.J.; funding acquisition, S.-k.J. All authors have read and agreed to the published version of the manuscript.

Funding

This research received no external funding.

Institutional Review Board Statement

Not applicable.

Informed Consent Statement

Not applicable.

Data Availability Statement

Data associated with this research are available and can be obtained by contacting the corresponding authors.

Conflicts of Interest

The authors declare that they have no conflict of interest.

Abbreviations

BFOBlended fuel oil
BFO1Blended fuel oil 1 (mixing ratio 25:75% for ISO-F-DMA and ISO-F-RMG)
BFO2Blended fuel oil 2 (mixing ratio 50:50% for ISO-F-DMA and ISO-F-RMG)
BFO3Blended fuel oil 3 (mixing ratio 75:25% for ISO-F-DMA and ISO-F-RMG)
DMAISO-F-DMA
GC/FIDGas chromatography/Flame ionization detection
HDSHydrodesulfurization
HSFOHigh sulfur fuel oil
IMOInternational maritime organization
LNGLiquefied natural gas
ODSOxidative desulfurization
RMGISO-F-RMG
RTRun time for GC/FID
SNStability number
TPHTotal petroleum hydrocarbons
UAODUltrasound-assisted oxidation desulfurization
UCMUnresolved complex mixture
VLSFOVery-low-sulfur fuel oil

References

  1. Walker, T.R. Green Marine: An environmental program to establish sustainability in marine transportation. Mar. Pollut. Bull. 2016, 105, 199–207. [Google Scholar] [CrossRef] [PubMed]
  2. Lindstad, H.E.; Eskeland, G.S. Environmental regulations in shipping: Policies leaning towards globalization of scrubbers deserve scrutiny. Transp. Res. 2016, 47, 67–76. [Google Scholar] [CrossRef] [Green Version]
  3. Vedachalam, S.; Baquerizo, N.; Dalai, A.K. Review on impacts of low sulfur regulations on marine fuels and compliance options. Fuel 2022, 310, 122243. [Google Scholar] [CrossRef]
  4. Corbett, J.J.; Winebrake, J.J.; Carr, E.W.; Jalkanen, J.P.; Johansson, L.; Prank, M.; Sofiev, M. Health Impacts Associated with Delay of MARPOL Global Sulphur Standard, IMO. MEPC 70/INF 34. 2016. Available online: https://wwwcdn.imo.org/localresources/en/MediaCentre/HotTopics/Documents/Finland%20study%20on%20health%20benefits.pdf (accessed on 4 April 2022).
  5. Park, S.; Kim, T. Implication of IMO Emission Regulation on Korean Shipping Companies; Korea Maritime Institute: Busan, Korea, 2019; Available online: https://www.kmi.re.kr/web/board/view.do?rbsIdx=304&idx=21 (accessed on 4 April 2022).
  6. Zhang, G.; Yan, H.; Li, T.; Zhu, Y.; Zhou, S.; Feng, Y.; Zhou, W. Relation analysis on emission control and economic cost of SCR system for marine diesels. Sci. Total Environ. 2021, 788, 147856. [Google Scholar] [CrossRef] [PubMed]
  7. Zhao, L.; Zhang, Y.; Kang, M. Recent advances in heighten sulfur resistance of SCR catalysts: A review. Environ. Eng. Res. 2022, 27, 200642. [Google Scholar] [CrossRef]
  8. Zhu, Y.; Zhou, W.; Xia, C.; Hou, Q. Application and Development of Selective Catalytic Reduction Technology for Marine Low-Speed Diesel Engine: Trade-Off among High Sulfur Fuel, High Thermal Efficiency, and Low Pollution Emission. Atmosphere 2022, 13, 731. [Google Scholar] [CrossRef]
  9. Yusuf, A.A.; Inambao, F.L.; Ampah, J.D. Evaluation of biodiesel on speciated PM2.5, organic compound, ultrafine particle and gaseous emissions from a low-speed EPA Tier II marine diesel engine coupled with DPF, DEP and SCR filter at various loads. Energy 2022, 239, 121837. [Google Scholar] [CrossRef]
  10. Yusuf, A.A.; Yusuf, D.A.; Jie, Z.; Bello, T.Y.; Tambaya, M.; Abdullahi, B.; Muhammed-Dabo, I.; Yahuza, I.; Dandakouta, H. Influence of waste oil-biodiesel on toxic pollutants from marine engine coupled with emission reduction measures at various loads. Atmos. Pollut. Res. 2022, 13, 101258. [Google Scholar] [CrossRef]
  11. Gerlitz, L.; Mildenstrey, E.; Prause, G. Ammonia as clean shipping fuel for the Baltic Sea region. Transp. Telecommun. J. 2022, 23, 102–112. [Google Scholar] [CrossRef]
  12. Smyshlyaeva, K.I.; Rudko, V.A.; Povarov, V.G.; Shaidulina, A.A.; Efimov, I.; Gabdulkhakov, R.R.; Pyagay, I.N.; Speight, J.G. Influence of Asphaltenes on the Low-Sulphur Residual Marine Fuels’ Stability. J. Mar. Sci. Eng. 2021, 9, 1235. [Google Scholar] [CrossRef]
  13. Lee, B.; Kim, M. Identify the Quality Characteristic of Low Sulfur Fuel Oil to Implement IMO Regulation on Sox. Korea Ind. Chem. News 2019, 22, 41–55. Available online: https://www.cheric.org/research/tech/periodicals/view.php?seq=1754997 (accessed on 4 April 2022).
  14. Javadli, R.; de Klerk, A. Desulfurization of heavy oil. Appl. Petrochem. Res. 2012, 1, 3–19. [Google Scholar] [CrossRef] [Green Version]
  15. Stanislaus, A.; Marafi, A.; Rana, M.S. Recent advances in the science and technology of ultra low sulfur diesel (ULSD) production. Catal. Today 2010, 153, 1–68. [Google Scholar] [CrossRef]
  16. Mello, P.D.A.; Duarte, F.A.; Nunes, M.A.; Alencar, M.S.; Moreira, E.M.; Korn, M.; Dressler, V.L.; Flores, É.M. Ultrasound-assisted oxidative process for sulfur removal from petroleum product feedstock. Ultrason. Sonochem. 2009, 16, 732–736. [Google Scholar] [CrossRef]
  17. De Filippis, P.; Scarsella, M. Oxidative Desulfurization:  Oxidation Reactivity of Sulfur Compounds in Different Organic Matrixes. Energy Fuels 2003, 17, 1452–1455. [Google Scholar] [CrossRef]
  18. BIMCO; ICS; INTERCARGO; INTERTANKO. 2020 Fuel Oil Quality and Safety Survey; BIMCO: Copenhagen, Denmark, 2020; Available online: https://www.bimco.org/-/media/bimco/news-and-trends/news/priority-news/2020/2020-fuel-oil-quality-and-safety-survey---report.ashx (accessed on 4 April 2022).
  19. Sultanbekov, R.; Islamov, S.; Mardashov, D.; Beloglazov, I.; Hemmingsen, T. Research of the Influence of Marine Residual Fuel Composition on Sedimentation Due to Incompatibility. J. Mar. Sci. Eng. 2021, 9, 1067. [Google Scholar] [CrossRef]
  20. Vráblík, A.; Schlehöfer, D.; Jaklová, K.D.; Herrador, J.M.H.; Cerny, R. Comparative Study of Light Cycle Oil and Naphthalene as an Adequate Additive to Improve the Stability of Marine Fuels. ACS Omega 2022, 7, 2127–2136. [Google Scholar] [CrossRef] [PubMed]
  21. CIMAC. WG7 Fuels Members, Cold Flow Properties of Marine Fuel Oils, International Council on Combustion Engines; CIMAC: Frankfurt, Germany, 2015; Available online: https://www.cimac.com/cms/upload/workinggroups/WG7/CIMAC_WG7_2015_01_Guideline_Cold__Flow_Properties_Marine_Fuel_Oils_final.pdf (accessed on 4 April 2022).
  22. Luo, X.; Gong, H.; He, Z.; Zhang, P.; He, L. Recent advances in applications of power ultrasound for petroleum industry. Ultrason. Sonochem. 2021, 70, 105337. [Google Scholar] [CrossRef]
  23. Lin, Y.; Feng, L.; Li, X.; Chen, Y.; Yin, G.; Zhou, W. Study on ultrasound-assisted oxidative desulfurization for crude oil. Ultrason. Sonochem. 2020, 63, 104946. [Google Scholar] [CrossRef]
  24. Bolla, M.K.; Choudhury, H.A.; Moholkar, V.S. Mechanistic features of ultrasound-assisted oxidative desulfurization of liquid fuels. Ind. Eng. Chem. Res. 2021, 51, 9705–9712. [Google Scholar] [CrossRef]
  25. Dai, Y.; Zhao, D.; Qi, Y. Sono-desulfurization oxidation reactivities of FCC diesel fuel in metal ion/H2O2 systems. Ultrason. Sonochem. 2011, 18, 264–268. [Google Scholar] [CrossRef] [PubMed]
  26. Lee, B.; Ryu, J. A study on relationship between fuel characteristics and combustion characteristics of reformed diesel fuels by ultrasonic energy irradiation (II)- Relationship between chemical structure and cetane number. Trans. KSAE 2003, 11, 64–71. Available online: https://scienceon.kisti.re.kr/commons/util/originalView.do?cn=JAKO200311921499915&oCn=JAKO200311921499915&dbt=JAKO&journal=NJOU00291229 (accessed on 27 June 2022).
  27. Hosseini, H.; Hamidi, A. Sulfur Removal of Crude Oil by Ultrasound-Assisted Oxidative Method. In Proceedings of the International Conference on Biological, Civil and Environmental Engineering, Dubai, United Arab Emirates, 17–18 March 2014. [Google Scholar] [CrossRef] [Green Version]
  28. Khodaei, B.; Sobati, M.A.; Shahhosseini, S. Rapid oxidation of dibenzothiophene in model fuel under ultrasound irradiation. Mon. Chem. 2017, 148, 387–396. [Google Scholar] [CrossRef]
  29. Margeta, D.; Sertić-Bionda, K.; Foglar, L. Ultrasound assisted oxidative desulfurization of model diesel fuel. Appl. Acoust. 2016, 103, 202–206. [Google Scholar] [CrossRef]
  30. Zhou, C.; Wang, Y.; Huang, X.; Wu, Y.; Chen, J. Optimization of ultrasonic-assisted oxidative desulfurization of gasoline and crude oil. Chem. Eng. Process.-Process Intensif. 2020, 147, 107789. [Google Scholar] [CrossRef]
  31. Ja’fari, M.; Ebrahimi, S.L.; Khosravi-Nikou, M.R. Ultrasound-assisted oxidative desulfurization and denitrogenation of liquid hydrocarbon fuels: A critical review. Ultrason. Sonochem. 2018, 40, 955–968. [Google Scholar] [CrossRef]
  32. ISO8217; Petroleum Products-Fuels (Class-F)-Specification of Marine Fuels. ISO: Geneva, Switzerland, 2017. Available online: https://www.iso.org/standard/64247.html (accessed on 27 June 2022).
  33. Cho, K. Properties of fuel oil. In Marine Fuel Oil Theory and Practice–I Fuel Oil; Dasom Publish: Busan, Korea, 2012. [Google Scholar]
  34. Frysinger, G.S.; Gaines, R.B.; Xu, L.; Reddy, C.M. Resolving the unresolved complex mixture in petroleum-contaminated sediments. Environ. Sci. Technol. 2003, 37, 1653–1662. [Google Scholar] [CrossRef]
  35. AFCONA Technical Team. AFCONA Additives-Dispersing Technology; AFCONA Chemicals: Shah Alam, Malaysia, 2005; Available online: https://www.afcona.com.my/pdf/Dispersing-Technology.pdf (accessed on 27 June 2022).
  36. Gregory, J. Flocculation Fundamentals. In Encyclopedia of Colloid and Interface Science; Springer: Berlin/Heidelberg, Germany, 2013. [Google Scholar] [CrossRef]
  37. Najafi, I.; Amani, M. Asphaltene flocculation inhibition with ultrasonic wave radiation: A detailed experimental study of the governing mechanisms. Adv. Pet. Explor. Dev. 2011, 2, 32–36. [Google Scholar] [CrossRef]
  38. Gollapudi, U.K.; Bang, S.S.; Islam, M.R. Ultrasonic Treatment for Removal of Asphaltene Deposits During Petroleum Production. In Proceedings of the SPE Formation Damage Control Symposium, Lafayette, LA, USA, 7–10 February 1994; p. SPE-27377-MS. [Google Scholar] [CrossRef]
  39. Diallo, M.S.; Cagin, T.; Faulon, J.L.; Goddard, W.A. Thermodynamic properties of asphaltenes: A predictive approach based on computer assisted structure elucidation and atomistic simulations. In Developments in Petroleum Science; Elsevier: Amsterdam, The Netherlands, 2000; Volume 40. [Google Scholar] [CrossRef]
  40. Taurozzi, J.S.; Hackley, V.A.; Wiesner, M.R. Ultrasonic dispersion of nanoparticles for environmental, health and safety assessment–issues and recommendations. Nanotoxicology 2011, 5, 711–729. [Google Scholar] [CrossRef]
  41. Chung, S.J.; Leonard, J.P.; Nettleship, I.; Lee, J.K.; Soong, Y.; Martello, D.V.; Chyu, M.K. Characterization of ZnO nanoparticle suspension in water: Effectiveness of ultrasonic dispersion. Powder Technol. 2009, 194, 75–80. [Google Scholar] [CrossRef]
  42. Ihara, S. Feasibility of hydrogen production by direct water splitting at high temperature. Int. J. Hydrogen Energy 1978, 3, 287–296. [Google Scholar] [CrossRef]
Figure 1. Photograph of ultrasonic reactor equipment.
Figure 1. Photograph of ultrasonic reactor equipment.
Jmse 10 00980 g001
Figure 2. Schematic of ultrasonic irradiation equipment: (1) Power supply and ultrasonic generator; (2) Transducer assembly and ultrasonic horn; (3) Reactor-cup chamber; (4) Agitator; (5) Oil-supply tank; (6) Oil-circulation pump; (7) Heating oil tank; (8) Heater; (9) By-pass.
Figure 2. Schematic of ultrasonic irradiation equipment: (1) Power supply and ultrasonic generator; (2) Transducer assembly and ultrasonic horn; (3) Reactor-cup chamber; (4) Agitator; (5) Oil-supply tank; (6) Oil-circulation pump; (7) Heating oil tank; (8) Heater; (9) By-pass.
Jmse 10 00980 g002
Figure 3. GC/FID profiles before ultrasonic irradiation: (a) TPH; (b) BFO1; (c) BFO2; (d) BFO3.
Figure 3. GC/FID profiles before ultrasonic irradiation: (a) TPH; (b) BFO1; (c) BFO2; (d) BFO3.
Jmse 10 00980 g003
Figure 4. Variation of Alkanes (Cn) in BFO1 and BFO3 with ultrasonic irradiation: (a) from 60 to 120 min for BFO1; (b) from 0 to 30 min for BFO3; (c) from 30 to 120 min for BFO3.
Figure 4. Variation of Alkanes (Cn) in BFO1 and BFO3 with ultrasonic irradiation: (a) from 60 to 120 min for BFO1; (b) from 0 to 30 min for BFO3; (c) from 30 to 120 min for BFO3.
Jmse 10 00980 g004
Figure 5. Dispersion stability: (a) BFO1, (b) BFO2, (c) BFO3 without ultrasound; (d) BFO1, (e) BFO2, (f) BFO3 with ultrasonic irradiation after 120 min.
Figure 5. Dispersion stability: (a) BFO1, (b) BFO2, (c) BFO3 without ultrasound; (d) BFO1, (e) BFO2, (f) BFO3 with ultrasonic irradiation after 120 min.
Jmse 10 00980 g005
Figure 6. Variation in sulfur concentration with ultrasonic irradiation time.
Figure 6. Variation in sulfur concentration with ultrasonic irradiation time.
Jmse 10 00980 g006
Table 1. Compositions of blends used in ultrasound experiments.
Table 1. Compositions of blends used in ultrasound experiments.
CaseISO-F-DMA, vol.%ISO-F-RMG, vol.%Total Volume, L
DMA100010
RMG010010
BFO1752510
BFO2505010
BFO3257510
Table 2. Properties of feedstocks and blended fuel oils.
Table 2. Properties of feedstocks and blended fuel oils.
PropertyDMARMGBFO 1BFO 2BFO 3
Specific gravity, 15/4 °C0.850.980.880.900.93
Kinematic viscosity, cSt at 50 °C3.4169.26.024.635.8
Sulfur content, wt.%0.052.670.761.331.94
Stability number--0.63.610
Publisher’s Note: MDPI stays neutral with regard to jurisdictional claims in published maps and institutional affiliations.

Share and Cite

MDPI and ACS Style

Ju, H.-j.; Jeon, S.-k. Effect of Ultrasound Irradiation on the Properties and Sulfur Contents of Blended Very Low-Sulfur Fuel Oil (VLSFO). J. Mar. Sci. Eng. 2022, 10, 980. https://doi.org/10.3390/jmse10070980

AMA Style

Ju H-j, Jeon S-k. Effect of Ultrasound Irradiation on the Properties and Sulfur Contents of Blended Very Low-Sulfur Fuel Oil (VLSFO). Journal of Marine Science and Engineering. 2022; 10(7):980. https://doi.org/10.3390/jmse10070980

Chicago/Turabian Style

Ju, Hae-ji, and Soo-kyung Jeon. 2022. "Effect of Ultrasound Irradiation on the Properties and Sulfur Contents of Blended Very Low-Sulfur Fuel Oil (VLSFO)" Journal of Marine Science and Engineering 10, no. 7: 980. https://doi.org/10.3390/jmse10070980

APA Style

Ju, H.-j., & Jeon, S.-k. (2022). Effect of Ultrasound Irradiation on the Properties and Sulfur Contents of Blended Very Low-Sulfur Fuel Oil (VLSFO). Journal of Marine Science and Engineering, 10(7), 980. https://doi.org/10.3390/jmse10070980

Note that from the first issue of 2016, this journal uses article numbers instead of page numbers. See further details here.

Article Metrics

Back to TopTop