Particle Collision Study Based on a Rotational Boundary Condition
Abstract
1. Introduction
2. Experiment
2.1. Experimental Setup
2.2. Experimental Materials and Working Conditions
2.3. Definition of Particle Motion Parameters
3. Results and Discussion
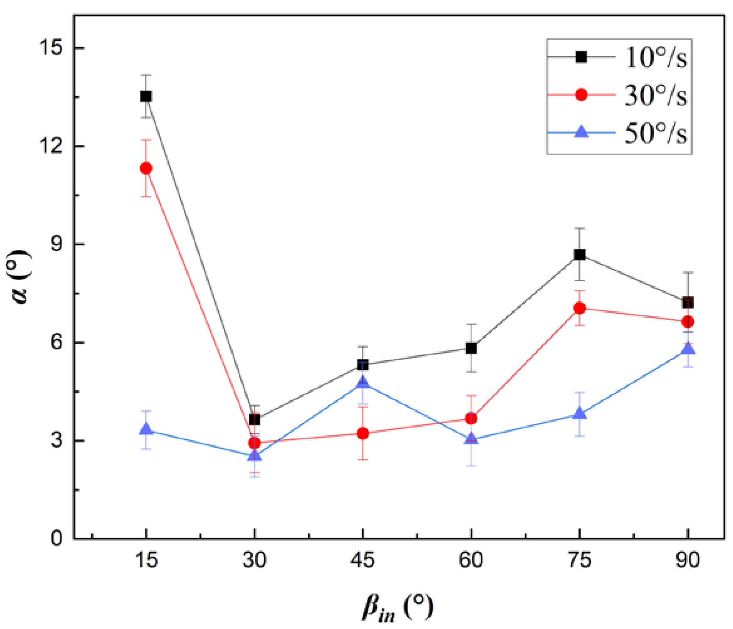
3.1. Deflection Angle and Spin Angular Velocity
3.2. Particle Velocity Coefficient of Restitution and Angle Coefficient of Restitution
3.3. Effect on Particle Kinetic Energy
4. Conclusions
- (1)
- The deflection angle decreases with increases in wall rotational speed and increases with increases in incidence angle. The spin angular velocity of particles gradually increases with increases in wall rotational speed, and angular velocity kinetic energy of particles also increases. The contact mode between particles and rotating wall is mainly slip contact, and there is no obvious slip–viscous bifurcation phenomenon.
- (2)
- Under a rotating wall condition, the normal velocity coefficient of restitution of the particles is only related to the material properties between the particles and the wall, and is independent of the rotational speed of the wall. The tangential velocity coefficient of restitution of the particles increases with increases in the rotational speed of the wall, and is smaller than that under the static wall condition. With increases in the incidence angle, the difference in angle coefficient of restitution at different wall rotational speeds is smaller, and it is greater than the angle coefficient of restitution under the static wall condition.
- (3)
- The kinetic energy coefficient of restitution of the particles increases with increases in the rotational speed of the wall, and is greater than the coefficient of restitution under the static wall condition. There is still energy loss during collision between particles and the rotating wall, which is contact energy loss in the normal direction and sliding friction loss. The proportion of contact energy loss gradually increases with increases in incidence angle, and the change is independent of the rotational speed of the wall. The proportion of friction energy loss changes from positive to negative with increases in incidence angle. When the proportion is negative, sliding friction begins to do positive work on the particles. As the rotational speed of the wall increases, the energy obtained by particles from sliding friction increases, and the proportion of sliding friction loss decreases.
Author Contributions
Funding
Institutional Review Board Statement
Informed Consent Statement
Data Availability Statement
Conflicts of Interest
Abbreviations
| Mass | |
| Radius | |
| Rotational inertia | |
| Deflection angle | |
| Incidence angle | |
| Rebound collision angle | |
| Spin angular velocity of a particle | |
| Incidence velocity | |
| Rebound velocity | |
| Normal component of the incidence velocity | |
| Tangential component of the incidence velocity | |
| Normal component of the rebound velocity | |
| Tangential component of rebound velocity | |
| Characterization function of the incidence angle | |
| Characterization function of the rebound angle | |
| Total kinetic energies before the incidence | |
| Total kinetic energies after the rebound | |
| Linear velocity kinetic energy component | |
| Rotational velocity kinetic energy component | |
| Normal contact energy loss | |
| Tangential friction energy loss | |
| Sliding friction loss | |
| Normal velocity coefficient of restitution | |
| Tangential velocity coefficient of restitution | |
| Collision angle coefficient of restitution | |
| Kinetic energy coefficient of restitution |
References
- Hertz, H. Über die Berührung fester elastischer Körper. J. Für Reineund Angew. Math. 1881, 92, 156–171. [Google Scholar]
- Maw, N.; Barber, J.; Fawcett, J. The oblique impact of elastic spheres. Wear 1976, 38, 101–104. [Google Scholar] [CrossRef]
- Mueller, P.; Antonyuk, S.; Stasiak, M.; Tomas, J.; Heinrich, S. The normal and oblique impact of three types of wet granules. Granul. Matter 2011, 13, 455–463. [Google Scholar] [CrossRef]
- Fohanno, S.; Oesterlé, B. Analysis of the effect of collisions on the gravitational motion of large particles in a vertical duct. Int. J. Multiphas. Flow 2006, 161, 22–31. [Google Scholar] [CrossRef]
- Krull, F.; Mathy, J.; Breuninger, P.; Antonyuk, S. Influence of the surface roughness on the collision behavior of fine particles in ambient fluids. Powder Technol. 2021, 392, 58–68. [Google Scholar] [CrossRef]
- Gibson, L. Measurement and Modeling the Coefficient of Restitution of Char Particles under Simulated Entrained Flow Gasifier Conditions. Ph.D. Thesis, Gradworks, The Pennsylvania State University, State College, PA, USA, 2013. [Google Scholar]
- Sommerfeld, M.; Huber, N. Experimental analysis and modelling of particle-wall collisions. Int. J. Multiphas. Flow. 1999, 25, 1457–1489. [Google Scholar] [CrossRef]
- Chen, X.; Ji, L.; Li, Y. Experimental and theoretical analysis of large particle–wall collision with different metal plates. J. Braz. Soc. Mech. Sci. Eng. 2022, 44, 1–14. [Google Scholar] [CrossRef]
- Wang, J.; Zhang, M.; Feng, L.; Yang, H.; Wu, Y.; Yue, G. The behaviors of particle-wall collision for non-spherical particles: Experimental investigation. Powder Technol. 2020, 363, 187–194. [Google Scholar] [CrossRef]
- Wang, J.; Yang, H.; Feng, L.; Zhang, M.; Wu, Y.; Yue, G. The behaviors of particle-wall collision for non-spherical particles: Modeling analysis. Powder Technol. 2020, 366, 137–143. [Google Scholar] [CrossRef]
- Newton, I. Newtons Principia: The Mathematical Principles of Natural Philosophy; University of California Press: Berkeley, CA, USA, 2014. [Google Scholar]
- Dong, H.; Moys, M. Experimental study of oblique impacts with initial spin. Powder Technol. 2006, 161, 22–31. [Google Scholar] [CrossRef]
- Grant, G.; Tabakoff, W. Erosion Prediction in Turbomachinery Resulting from Environmental Solid Particles. J. Aircr. 1975, 12, 471–478. [Google Scholar] [CrossRef]
- Leszczyński, J.S. Sensitivity analysis of the dynamics of fine and ultrafine particles using DEM. Nonlinear Dyn. 2023, 111, 2591–2605. [Google Scholar] [CrossRef]
- Li, R.-Y.; Cui, Z.-W.; Huang, W.-X.; Zhao, L.-H.; Xu, C.-X. On rotational dynamics of a finite-sized ellipsoidal particle in shear flows. Acta Mech. 2018, 230, 449–467. [Google Scholar] [CrossRef]
- Wang, D.; Nejadsadeghi, N.; Li, Y.; Shekhar, S.; Misra, A.; Dijksman, J.A. Rotational diffusion and rotational correlations in frictional amorphous disk packings under shear. Soft Matter 2021, 17, 7844–7852. [Google Scholar] [CrossRef] [PubMed]
- Foerster, S.F.; Louge, M.Y.; Chang, H.; Allia, K. Measurements of the collision properties of small spheres. Phys. Fluids 1994, 6, 1108–1115. [Google Scholar] [CrossRef]
- Aman, S.; Mueller, P.; Tomas, J.; Kozhar, S.; Dosta, M.; Heinrich, S.; Antonyuk, S. Combined viscoelastic and elastic wave dissipation mechanism at low velocity impact. Adv. Powder Technol. 2016, 27, 1244–1250. [Google Scholar] [CrossRef]
- Zhang, R.; Li, Y.; Liu, Y. Improvement and application of a two-dimensional fractal particle-wall collision model. Powder Technol. 2022, 411, 117–910. [Google Scholar] [CrossRef]
- Tabakoff, W.; Kotwal, R.; Hamed, A. Erosion study of different materials affected by coal ash particles. Wear 1979, 52, 161–173. [Google Scholar] [CrossRef]
- Hastie, D.B. Experimental measurement of the coefficient of restitution of irregular shaped particles impacting on horizontal surfaces. Chem. Eng. Sci. 2013, 101, 828–836. [Google Scholar] [CrossRef]
- Martienssen, W.; Warlimont, H. Handbook of Condensed Matter and Materials Data, 1st ed.; Harbin Institute of Technology Press: Harbin, China, 2014; pp. 192–193, 231–237. [Google Scholar]
- Sondergaard, R.; Chaney, K.; Brennen, C.E. Measurements of Solid Spheres Bouncing Off Flat Plates. J. Appl. Mech. 1990, 57, 694–699. [Google Scholar] [CrossRef]









| Material | Density (kg/m3) | Young’s Modulus (GPa) | Poisson’s Ratio |
|---|---|---|---|
| 316 Stainless steel | 8030 | 212 | 0.3 |
| 6061 Aluminum alloy | 2690 | 68.9 | 0.33 |
Disclaimer/Publisher’s Note: The statements, opinions and data contained in all publications are solely those of the individual author(s) and contributor(s) and not of MDPI and/or the editor(s). MDPI and/or the editor(s) disclaim responsibility for any injury to people or property resulting from any ideas, methods, instructions or products referred to in the content. |
© 2023 by the authors. Licensee MDPI, Basel, Switzerland. This article is an open access article distributed under the terms and conditions of the Creative Commons Attribution (CC BY) license (https://creativecommons.org/licenses/by/4.0/).
Share and Cite
Li, Y.; Zhao, X.; Lin, Z.; Zhang, G. Particle Collision Study Based on a Rotational Boundary Condition. J. Mar. Sci. Eng. 2023, 11, 490. https://doi.org/10.3390/jmse11030490
Li Y, Zhao X, Lin Z, Zhang G. Particle Collision Study Based on a Rotational Boundary Condition. Journal of Marine Science and Engineering. 2023; 11(3):490. https://doi.org/10.3390/jmse11030490
Chicago/Turabian StyleLi, Yi, Xiangyun Zhao, Zhe Lin, and Guang Zhang. 2023. "Particle Collision Study Based on a Rotational Boundary Condition" Journal of Marine Science and Engineering 11, no. 3: 490. https://doi.org/10.3390/jmse11030490
APA StyleLi, Y., Zhao, X., Lin, Z., & Zhang, G. (2023). Particle Collision Study Based on a Rotational Boundary Condition. Journal of Marine Science and Engineering, 11(3), 490. https://doi.org/10.3390/jmse11030490

