Underwater Acoustic Channel Estimation via an Orthogonal Matching Pursuit Algorithm Based on the Modified Phase-Transform-Weighted Function
Abstract
1. Introduction
2. Materials and Methods
2.1. System Model
2.2. Generalized Cross-Correlation Algorithm
2.3. Modified PHAT-Weighted Function
2.4. The OMP Algorithm Based on Modified PHAT Weighting (M-PHAT-OMP)
| Algorithms 1. The specific steps of the M-PHAT-OMP algorithm. |
| Input: Received signal ; dictionary ; maximum number of iterations ; pre-measured noise amplitude modulus . Initialization: Residual signal: ; index set: ; rebuild atomic: ; iteration number: Iterative process: Step 1: Step 2: Find the most matched atomic sequence index (). Using the M-PHAT-weighted GCC method to calculate the cross-correlation, value () of the residual () and dictionary sequence (), add a sliding window to the and calculate the energy value in the window. When the energy reaches its maximum, this corresponds to a range of delay, and the maximum modulus within this range is selected as the maximum value of the current cross-correlation sequence, denoted .The column index () corresponding to the best atom is as follows: where represents the ith column of the observation matrix . Step 3: Update the index sets and rebuild the atomic sets: Step 4: Use the LS algorithm to estimate the channel’s impulse response (CIR): Step 5: Update the signal’s residuals according to the CIR estimates: Step 6: Judgment: if , then stop the iteration and perform Step 7; otherwise, repeat Steps 1–5. Step 7: Select the component in that satisfies as the final estimated value. Output: The estimated value of the CIR, . |
3. Results and Analysis of the Simulation
3.1. Analysis of the Performance of the Modified PHAT-Weighted Algorithm
3.1.1. Estimation of Time Delay with Single-Path Model
3.1.2. Estimation of Time Delay in Multipath Model
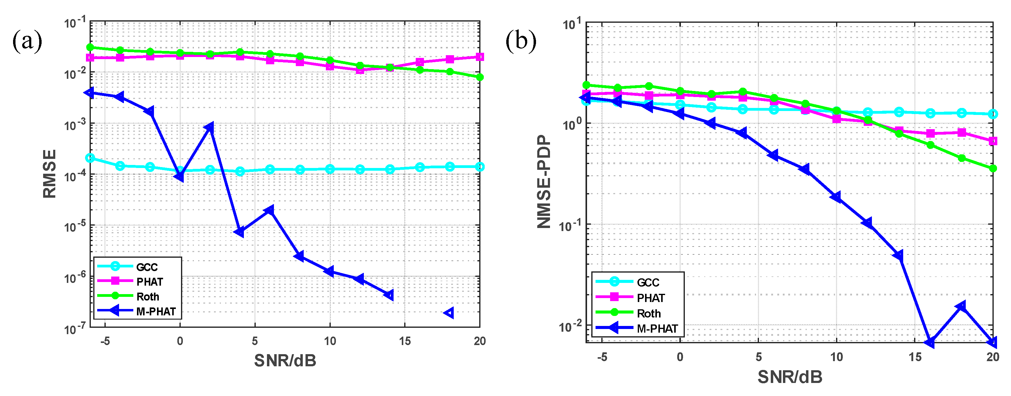
3.2. Analysis of the Performance of the M-PHAT-OMP Algorithm
3.2.1. Evaluation Indicators
3.2.2. Fixed Source
- Simulation 1: Analyzing the resolution of the delay of the proposed algorithm under conditions with small differences in the delay
- Simulation II: Analyzing the performance of the proposed algorithm with multipath delay
3.2.3. Moving Source
4. Experimental Results
4.1. Fixed Source
4.2. Moving Sound Source
5. Conclusions
Author Contributions
Funding
Institutional Review Board Statement
Informed Consent Statement
Data Availability Statement
Conflicts of Interest
References
- Stojanovic, M.; Preisig, J. Underwater acoustic communication channels: Propagation models and statistical characterization. IEEE Commun. Mag. 2009, 47, 84–89. [Google Scholar] [CrossRef]
- Zhou, Y.; Song, A.; Tong, F. Underwater acoustic channel characteristics and communication performance at 85 kHz. J. Acoust. Soc. Am. 2017, 142, EL350. [Google Scholar] [CrossRef] [PubMed]
- Yang, T.C. Properties of underwater acoustic communication channels in shallow water. J. Acoust. Soc. Am. 2012, 131, 129–145. [Google Scholar] [CrossRef] [PubMed]
- Murad, M.; Sheikh, A.A.; Manzoor, M.A.; Felemban, E.; Qaisar, S. A Survey on Current Underwater Acoustic Sensor Network Applications. Int. J. Comput. Theory Eng. 2014, 7, 51–56. [Google Scholar] [CrossRef]
- Li, W.; Preisig, J.C. Estimation of Rapidly Time-Varying Sparse Channels. IEEE J. Ocean. Eng. 2007, 32, 927–939. [Google Scholar] [CrossRef]
- Van De Beek, J.-J.; Edfors, O.; Sandell, M.; Wilson, S.K.; Borjesson, P.O. On channel estimation in OFDM systems. In Proceedings of the 1995 IEEE 45th Vehicular Technology Conference. Countdown to the Wireless Twenty-First Century, Chicago, IL, USA, 25–28 July 1995; pp. 815–819. [Google Scholar]
- Seung Joon, L. On the training of MIMO-OFDM channels with least square channel estimation and linear interpolation. IEEE Commun. Lett. 2008, 12, 100–102. [Google Scholar] [CrossRef]
- Jones, V.; Raleigh, G.C. Channel estimation for wireless OFDM systems. In Proceedings of the IEEE GLOBECOM 1998 (Cat. NO. 98CH36250), Sydney, NSW, Australia, 8 December 1998; pp. 980–985. [Google Scholar]
- Edfors, O.; Sandell, M.; Van de Beek, J.-J.; Wilson, S.K.; Borjesson, P.O. OFDM channel estimation by singular value decomposition. IEEE Trans. Commun. 1998, 46, 931–939. [Google Scholar] [CrossRef]
- Berger, C.R.; Shengli, Z.; Preisig, J.C.; Willett, P. Sparse Channel Estimation for Multicarrier Underwater Acoustic Communication: From Subspace Methods to Compressed Sensing. IEEE Trans. Signal Process. 2010, 58, 1708–1721. [Google Scholar] [CrossRef]
- Donoho, D.L. Compressed sensing. IEEE Trans. Inf. Theory 2006, 52, 1289–1306. [Google Scholar] [CrossRef]
- Lu, S.; Hemadeh, I.A.; El-Hajjar, M.; Hanzo, L. Compressed-Sensing-Aided Space-Time Frequency Index Modulation. IEEE Trans. Veh. Technol. 2018, 67, 6259–6271. [Google Scholar] [CrossRef]
- Knill, C.; Schweizer, B.; Sparrer, S.; Roos, F.; Fischer, R.F.H.; Waldschmidt, C. High Range and Doppler Resolution by Application of Compressed Sensing Using Low Baseband Bandwidth OFDM Radar. IEEE Trans. Microw. Theory Tech. 2018, 66, 3535–3546. [Google Scholar] [CrossRef]
- Zhou, Y.-h.; Tong, F.; Zhang, G.-Q. Distributed compressed sensing estimation of underwater acoustic OFDM channel. Appl. Acoust. 2017, 117, 160–166. [Google Scholar] [CrossRef]
- Yang, L.; Song, K.; Siu, Y.M. Iterative Clipping Noise Recovery of OFDM Signals Based on Compressed Sensing. IEEE Trans. Broadcast. 2017, 63, 706–713. [Google Scholar] [CrossRef]
- Karabulut, G.Z.; Yongacoglu, A. Sparse channel estimation using orthogonal matching pursuit algorithm. In Proceedings of the IEEE 60th Vehicular Technology Conference, Los Angeles, CA, USA, 26–29 September 2004; VTC2004-Fall. pp. 3880–3884. [Google Scholar]
- Qiao, G.; Qiang, X.; Wan, L. Double Interpolation-Based Linear Fitting for OMP Channel Estimation in OFDM Systems. IEEE Commun. Lett. 2021, 25, 2908–2912. [Google Scholar] [CrossRef]
- Tao, J.; Qi, C.; Huang, Y. Regularized Multipath Matching Pursuit for Sparse Channel Estimation in Millimeter Wave Massive MIMO System. IEEE Wirel. Commun. Lett. 2019, 8, 169–172. [Google Scholar] [CrossRef]
- Lei, Z.; Chunting, Q. Newton pursuit algorithm for sparse signal reconstruction in compressed sensing. In Proceedings of the 2010 3rd International Conference on Computer Science and Information Technology, Chengdu, China, 9–11 July 2010; pp. 463–466. [Google Scholar]
- Die, H.; Xiaodong, W.; Lianghua, H. A New Sparse Channel Estimation and Tracking Method for Time-Varying OFDM Systems. IEEE Trans. Veh. Technol. 2013, 62, 4648–4653. [Google Scholar] [CrossRef]
- Yu, F.; Li, D.; Guo, Q.; Wang, Z.; Xiang, W.J.I.C.L. Block-FFT based OMP for compressed channel estimation in underwater acoustic communications. IEEE Commun. Lett. 2015, 19, 1937–1940. [Google Scholar] [CrossRef]
- Wan, L.; Qiang, X.; Ma, L.; Song, Q.; Qiao, G. Accurate and Efficient Path Delay Estimation in OMP Based Sparse Channel Estimation for OFDM With Equispaced Pilots. IEEE Wirel. Commun. Lett. 2019, 8, 117–120. [Google Scholar] [CrossRef]
- Ma, L.; Li, T.; Liu, S.; Qiao, G.; Jia, H. Efficient interpolation based OMP for sparse channel estimation in underwater acoustic OFDM. Appl. Acoust. 2021, 172, 107606. [Google Scholar] [CrossRef]
- Qiao, G.; Song, Q.; Ma, L.; Wan, L. A low-complexity orthogonal matching pursuit based channel estimation method for time-varying underwater acoustic OFDM systems. Appl. Acoust. 2019, 148, 246–250. [Google Scholar] [CrossRef]
- Li, C.; Song, K.; Yang, L. Low computational complexity design over sparse channel estimator in underwater acoustic OFDM communication system. IET Commun. 2017, 11, 1143–1151. [Google Scholar] [CrossRef]
- Zhou, Y.; Zeng, F.-Z.; Gu, Y.-C. A gradient descent sparse adaptive matching pursuit algorithm based on compressive sensing. In Proceedings of the 2016 International Conference on Machine Learning and Cybernetics (ICMLC), Jeju, Republic of Korea, 10–13 July 2016; pp. 464–469. [Google Scholar]
- Wang, Z.; Li, Y.; Wang, C.; Ouyang, D.; Huang, Y. A-OMP: An Adaptive OMP Algorithm for Underwater Acoustic OFDM Channel Estimation. IEEE Wirel. Commun. Lett. 2021, 10, 1761–1765. [Google Scholar] [CrossRef]
- Zhang, Y.; Venkatesan, R.; Dobre, O.A.; Li, C. An adaptive matching pursuit algorithm for sparse channel estimation. In Proceedings of the 2015 IEEE Wireless Communications and Networking Conference (WCNC), New Orleans, LA, USA, 9–12 March 2015; pp. 626–630. [Google Scholar]
- Sun, Q.; Wu, F.-Y.; Yang, K.; Ma, Y. Estimation of multipath delay-Doppler parameters from moving LFM signals in shallow water. Ocean Eng. 2021, 232, 109125. [Google Scholar] [CrossRef]
- Wang, Z.; Wu, H.; Liu, S. An improved sparse underwater acoustic OFDM channel estimation method based on joint sparse model and exponential smoothing. In Proceedings of the 2017 IEEE International Conference on Signal Processing, Communications and Computing (ICSPCC), Xiamen, China, 22–25 October 2017; pp. 1–6. [Google Scholar]
- Padois, T.; Doutres, O.; Sgard, F. On the use of modified phase transform weighting functions for acoustic imaging with the generalized cross correlation. J. Acoust. Soc. Am. 2019, 145, 1546. [Google Scholar] [CrossRef] [PubMed]
- Xu, L.; Chen, L.; Li, Y.; Jiang, W. A Block Sparse-Based Dynamic Compressed Sensing Channel Estimator for Underwater Acoustic Communication. J. Mar. Sci. Eng. 2022, 10, 536. [Google Scholar] [CrossRef]
- Knapp, C.; Carter, G. The generalized correlation method for estimation of time delay. IEEE Trans. Acoust. Speech Signal Process. 1976, 24, 320–327. [Google Scholar] [CrossRef]
- Li, C.Z.; Shao, F.Q.; Kan, Z.; Fan, H.X. The Generalized Cross-Power Spectrum Method for Estimation of Time Delay in Acoustic Pyrometer. Appl. Mech. Mater. 2011, 88–89, 615–620. [Google Scholar] [CrossRef]
- Zhao, Y.; Yu, H.; Wei, G.; Ji, F.; Chen, F.; Zhang, J. FRFT-based parameter estimation of time-varying wideband underwater acoustic multipath channels. In Proceedings of the 10th International Conference on Underwater Networks & Systems, Arlington, VA, USA, 22–24 October 2015; pp. 1–8. [Google Scholar]
- Ye, J.; Papandreou-Suppappola, A. Discrete time-scale characterization of wideband time-varying systems. IEEE Trans. Signal Process. 2006, 54, 1364–1375. [Google Scholar] [CrossRef]
- Zhao, Y.; Yu, H.; Wei, G.; Ji, F.; Chen, F. Parameter Estimation of Wideband Underwater Acoustic Multipath Channels based on Fractional Fourier Transform. IEEE Trans. Signal Process. 2016, 64, 5396–5408. [Google Scholar] [CrossRef]














| Function | ROTH | SCOT | PHAT | HB |
|---|---|---|---|---|
| or |
| Transmitted Signal Parameters | Received Signal Parameters | Information on Time Delay | |||
|---|---|---|---|---|---|
| Signal Type | Pulse Width | Frequency | Pulse Period | Sampling Rate | Time Delay |
| CW pulse | 40 ms | 25 kHz | 500 ms | 262.144 kHz | 32 ms |
| Sea Depth | Source Depth | Receiving Depth | Sending and Receiving Distance | Speed of Sound | Medium Density | Attenuation Coefficient | Ray Exit Angle |
|---|---|---|---|---|---|---|---|
| 80 m | 10 m | 14.7 m | 129 m | 1600 m/s | 1500 kg/m3 | 0.3 dB/λ | ±30° |
| Layout | Transmitted Signal | Received Signal | ||||||
|---|---|---|---|---|---|---|---|---|
| Lake Depth | Source Depth | Hydrophone Depth | Sending and Receiving Distance | Signal Type | Pulse Width | Frequency | Pulse Period | Sampling Rate |
| 80 m | 10 m | 14.7 m | 129 m | CW pulse | 40 ms | 25 kHz | 500 ms | 262.144 kHz |
| Layout | Transmitted Signal | Received Signal | ||||||
|---|---|---|---|---|---|---|---|---|
| Lake Depth | Source Depth | Hydrophone Depth | Sending and Receiving Distance | Signal Type | Pulse Width | Frequency | Pulse Period | Sampling Rate |
| 80 m | 20 m | 14.7 m | 350 m | CW pulse | 40 ms | 20 kHz | 500 ms | 262.144 kHz |
Disclaimer/Publisher’s Note: The statements, opinions and data contained in all publications are solely those of the individual author(s) and contributor(s) and not of MDPI and/or the editor(s). MDPI and/or the editor(s) disclaim responsibility for any injury to people or property resulting from any ideas, methods, instructions or products referred to in the content. |
© 2023 by the authors. Licensee MDPI, Basel, Switzerland. This article is an open access article distributed under the terms and conditions of the Creative Commons Attribution (CC BY) license (https://creativecommons.org/licenses/by/4.0/).
Share and Cite
Hu, X.; Zhang, L.; Wu, D.; Wang, J. Underwater Acoustic Channel Estimation via an Orthogonal Matching Pursuit Algorithm Based on the Modified Phase-Transform-Weighted Function. J. Mar. Sci. Eng. 2023, 11, 1397. https://doi.org/10.3390/jmse11071397
Hu X, Zhang L, Wu D, Wang J. Underwater Acoustic Channel Estimation via an Orthogonal Matching Pursuit Algorithm Based on the Modified Phase-Transform-Weighted Function. Journal of Marine Science and Engineering. 2023; 11(7):1397. https://doi.org/10.3390/jmse11071397
Chicago/Turabian StyleHu, Xueru, Lanyue Zhang, Di Wu, and Jia Wang. 2023. "Underwater Acoustic Channel Estimation via an Orthogonal Matching Pursuit Algorithm Based on the Modified Phase-Transform-Weighted Function" Journal of Marine Science and Engineering 11, no. 7: 1397. https://doi.org/10.3390/jmse11071397
APA StyleHu, X., Zhang, L., Wu, D., & Wang, J. (2023). Underwater Acoustic Channel Estimation via an Orthogonal Matching Pursuit Algorithm Based on the Modified Phase-Transform-Weighted Function. Journal of Marine Science and Engineering, 11(7), 1397. https://doi.org/10.3390/jmse11071397

