L2-Gain Based Adaptive Robust Heel/Roll Reduction Control Using Fin Stabilizer during Ship Turns
Abstract
1. Introduction
2. Ship Motion Model
2.1. 4-DOF Motion Model
2.2. Hydrodynamic Forces and Moments
2.3. Wave Disturbance Forces and Moments
2.4. Fin Forces and Moments
2.5. Rudder Forces and Moments
2.6. Propeller Forces and Moments
3. Ship Heel/Roll Control Using Fin
3.1. Ship Turning Motion with Fin Stabilizer
3.2. Fin Angle Speed Adjustment
4. Heel/Roll Reduction Control Using Fin Stabilizers
4.1. Control Model Analysis
4.2. Controller Design
4.2.1. L2-Gain Adaptive Robust Control
4.2.2. Design of Turning Heel/Roll Reduction Controller
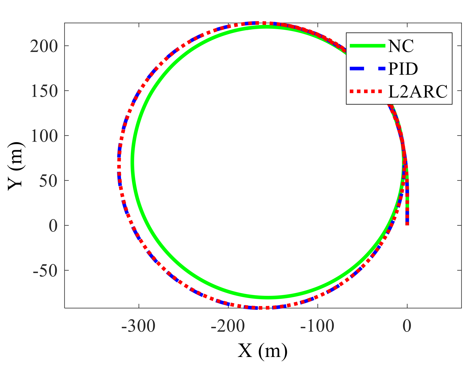
5. Result and Discussion
6. Conclusions
Author Contributions
Funding
Data Availability Statement
Conflicts of Interest
References
- Perez, T. Ship Motion Control: Course Keeping and Roll Stabilisation Using Rudder and Fins; Springer: London, UK, 2005. [Google Scholar]
- Jin, H.; Yao, X. Ship Control Principle, 2nd ed.; Harbin Engineering University: Harbin, China, 2013. [Google Scholar]
- Zhang, S.; Liang, L.; Sun, M.; Zhao, P. Fluid motion and stabilization effect prediction of anti-rolling tank coupled ship rolling. Chin. J. Comput. Mech. 2016, 33, 252–256. [Google Scholar]
- Lewis, E. Principles of Naval Architecture, 2nd ed.; SNAME: New Jersey, NJ, USA, 1989; Volume 3. [Google Scholar]
- Liang, L.; Zhao, P.; Zhang, S.; Yuan, J.; Wen, Y. Simulation and analysis of Magnus rotating roll stabilizer at low speed. Ocean Eng. 2017, 142, 491–500. [Google Scholar] [CrossRef]
- Perez, T.; Blanke, M. Ship roll damping control. Annu. Rev. Control 2012, 36, 129–147. [Google Scholar] [CrossRef]
- Fang, M.-C.; Luo, J.-H. On the track keeping and roll reduction of the ship in random waves using different sliding mode controllers. Ocean Eng. 2007, 34, 479–488. [Google Scholar] [CrossRef]
- Liu, Z.; Jin, H.; Grimble, M.J.; Katebi, R. Ship forward speed loss minimization using nonlinear course keeping and roll motion controllers. Ocean Eng. 2016, 113, 201–207. [Google Scholar] [CrossRef]
- Liang, L.; Wen, Y. Rudder roll stabilization with disturbance compensation model predictive control. J. Mar. Sci. Technol. 2019, 24, 249–259. [Google Scholar] [CrossRef]
- Zhao, P.; Liang, L.; Zhang, S.; Ji, M.; Yuan, J. Simulation analysis of rudder roll stabilization during ship turning motion. Ocean Eng. 2019, 189, 106322. [Google Scholar] [CrossRef]
- Jiguang, S.; Zhao, P.; Liang, L.; Ji, M. Force modeling of zero/low-velocity fin stabilizer and hydrofoil profile optimization. Ocean Eng. 2020, 213, 107635. [Google Scholar] [CrossRef]
- Martin, G. Fin Stabilizers as Maneuver Control Surfaces. Master’s Thesis, Naval Postgratude School, Monterey, CA, USA, 2003. [Google Scholar]
- Kummer, S.; Hardier, G.; Lambert, C. Heel Compensation for the Charles de Gaulle Aircraft Carrier: Principles and Control Structure. Presented at the RTO AVT Symposium on Fluid Dynamics Problems of Vehicles Operating near or in the Air-Sea Interface, Amsterdam, The Netherlands, 5–8 October 1998. [Google Scholar]
- Wang, D. Research on Effects of Ship Turning Performance under Rudder/Fin Control; Harbin Engineering University: Harbin, China, 2013. [Google Scholar]
- Zhang, S. Characteristics Research and Experimental Verification of Controlled Passive Tank; Harbin Engineering University: Harbin, China, 2013. [Google Scholar]
- Liang, L.; Liu, H.; Zhang, S. Research of rudder parameters optimization based on ship optimal turning diameter. Ship Eng. 2013, 35, 61–64. [Google Scholar]
- Liu, W. Research and Simulation of Ship Roll Control in Turning Motion; Harbin Engineering University: Harbin, China, 2017. [Google Scholar]
- Liang, L.; Zhao, P.; Zhang, S.; Ji, M. Simulation analysis of fin stabilizer on ship roll control during turning motion. Ocean Eng. 2018, 164, 733–748. [Google Scholar]
- Hinostroza, M.; Luo, W.; Soares, C. Robust fin control for ship roll stabilization based on L2-gain design. Ocean Eng. 2015, 94, 126–131. [Google Scholar] [CrossRef]
- Crossland, P. The effect of roll-stabilisation controllers on warship operational performance. Control. Eng. Pract. 2003, 11, 423–431. [Google Scholar] [CrossRef]
- Zhang, X. Robust Control for Nonlinear Systems and Its Application to the Lift Feedback Fin Stabilizer. Ph.D. Thesis, Harbin Engineering University, Harbin, China, 2002. [Google Scholar]
- Wang, X.; Zhang, X. Nonlinear robust control for rudder/fin joint system with nonlinear course keeping. Syst. Eng. Electron. 2008, 8, 1549–1552. [Google Scholar]
- Li, Z.; Yang, C.; Ding, N.; Bogdan, S.; Ge, T. Robust adaptive motion control for underwater remotely operated vehicles with velocity constraints. Int. J. Control Autom. Syst. 2012, 10, 421–429. [Google Scholar] [CrossRef]
- Kahveci, N.E.; Ioannou, P.A. Adaptive steering control for uncertain ship dynamics and stability analysis. Automatica 2013, 49, 685–697. [Google Scholar] [CrossRef]
- Zhang, G.; Zhang, X. Concise robust adaptive pah-following control of underactuated ships using DSC and MLP. IEEE J. Ocean. Eng. 2014, 39, 685–694. [Google Scholar] [CrossRef]
- Demirel, H.; Alarçin, F. Lmi—based H2 and H state—feedback controller design for fin stabilizer of nonlinear roll motion of a fishing boat. Brodogr. Teor. Praksa Brodogr. Pomor. Teh. 2016, 67, 91–107. [Google Scholar] [CrossRef][Green Version]
- Zwierzewice, Z. The design of ship autopilot via robust adaptive feedback linearization. In Proceedings of the 21st International Conference on Methods and Models in Automation and Robotics, Miedzyzdroje, Poland, 29 August–1 September 2016; pp. 665–670. [Google Scholar]
- Sun, Z.; Zhang, G.; Yi, B.; Zhang, W. Practical proportional integral sliding mode control for underactuated surface ships in the fields of marine practice. Ocean Eng. 2017, 142, 217–223. [Google Scholar] [CrossRef]
- Abkowitz, M. Lectures on Ship Hydrodynamics-Steering and Manoeuvrability; Technical Report; Hydro- and Aerodynamics Laboratory: Lyngby, Denmark, 1964. [Google Scholar]
- Söder, C.-J.; Rosén, A.; Ovegård, E.; Kuttenkeuler, J.; Huss, M. Parametric roll mitigation using rudder control. J. Mar. Sci. Technol. 2013, 18, 395–403. [Google Scholar] [CrossRef]
- Jia, L.; Yang, Y. Mathematical Model of Ship Motion; Dalian Maritime University Press: Dalian, China, 1999. [Google Scholar]
- Jin, H.; Wang, K.; Ji, M. Application of Intelligent Technique to Fin Stabilizers; National Defense Industry Press: Beijing, China, 2003. [Google Scholar]
- Chen, M.; Jiang, C.; Wu, Q.; Cao, B. Adaptive robust L2-gain control for a class of uncertain nonlinear systems. J. Nanjing Univ. Aeronaut. Astronaut. 2003, 35, 351–355. [Google Scholar]
- Yan, D.; He, Y.; Wu, Q. Adaptive robust control with L2-gain for a class of uncertain nonlinear systems. J. Chang’an Univ. (Nat. Sci. Ed.) 2006, 26, 102–105. [Google Scholar]






| Description | Value | Unit |
|---|---|---|
| Length between perpendiculars | 51.5 | m |
| Beam overall | 8.6 | m |
| Draft | 2.3 | m |
| Displacement | 357 | m3 |
| Transverse metacentric height | 1.1 | m |
| Roll inertia | 2.38 × 106 | kg·m2 |
| Yaw inertia | 4.79 × 107 | kg·m2 |
| Coordinates of center of gravity | (−3.38, 0, −1.06) | m |
| Description | Fin | Rudder | Unit |
|---|---|---|---|
| Area | 1.6 × 2 | 1.5 × 2 | m2 |
| Aspect ratio | 1 | 1.5 | – |
| Max. angle of attack | 25 | 35 | ° |
| Max. turning rate | 15 | 10 | °/s |
| Roll arm | 4.22 | 3.3 | m |
| Yaw arm | −2 | 20.4 | m |
| Lift coefficient | 0.042 | 0.044 | /° |
| Tilt angle | 34 | 90 | ° |
| Subscript | X | Y | K | N |
|---|---|---|---|---|
| −1.74 × 104 | 0 | 0 | 0 | |
| 0 | −1.90 × 106 | 2.96 × 105 | 5.38 × 105 | |
| 0 | −2.96 × 105 | −6.74 × 105 | 0 | |
| 0 | −1.40 × 106 | 0 | −4.40 × 107 | |
| −1.96 × 103 | 0 | 0 | 0 | |
| 0 | −1.18 × 104 | 9.26 × 103 | −9.20 × 104 | |
| 0 | 1.31 × 105 | −1.02 × 105 | −4.71 × 106 | |
| 0 | −3.70 × 103 | 2.93 × 104 | 0 | |
| 0 | 0 | 0 | −2.02 × 108 | |
| 0.33 × m | −7.94 × 105 | 6.21 × 105 | 0 | |
| 0 | −1.82 × 105 | 1.42 × 105 | −1.56 × 107 | |
| 0 | −1.08 × 104 | −8.40 × 103 | −2.14 × 105 | |
| 0 | −2.51 × 105 | −1.96 × 105 | −4.98 × 106 | |
| 0 | −7.40 × 101 | −1.18 × 103 | −8.00 × 103 | |
| 0 | 0 | −1.55 × 104 | 0 | |
| 0 | 0 | −4.16 × 105 | 0 | |
| 0 | 0 | −5.00 × 105 | 0 | |
| 0 | 0 | −0.325∆ | 0 |
| Fin Angle (°) | Advance (m) | Steady Turning Diameter (m) | Max. Inward/Outward Heel Angle (°) | Steady Outward Heel Angle (°) | Steady Sailing Speed (m/s) |
|---|---|---|---|---|---|
| −20 | 198.63 | 276.29 | 0/20.14 | 17.86 | 12.41 |
| −10 | 208.98 | 290.68 | 0/15.67 | 13.96 | 12.50 |
| 0 | 218.92 | 304.53 | −6.79/11.29 | 10.22 | 12.60 |
| 10 | 229.45 | 318.57 | −15.29/7.01 | 6.30 | 12.69 |
| 20 | 241.05 | 334.41 | −23.36/2.30 | 1.91 | 12.80 |
Publisher’s Note: MDPI stays neutral with regard to jurisdictional claims in published maps and institutional affiliations. |
© 2021 by the authors. Licensee MDPI, Basel, Switzerland. This article is an open access article distributed under the terms and conditions of the Creative Commons Attribution (CC BY) license (http://creativecommons.org/licenses/by/4.0/).
Share and Cite
Songtao, Z.; Peng, Z. L2-Gain Based Adaptive Robust Heel/Roll Reduction Control Using Fin Stabilizer during Ship Turns. J. Mar. Sci. Eng. 2021, 9, 89. https://doi.org/10.3390/jmse9010089
Songtao Z, Peng Z. L2-Gain Based Adaptive Robust Heel/Roll Reduction Control Using Fin Stabilizer during Ship Turns. Journal of Marine Science and Engineering. 2021; 9(1):89. https://doi.org/10.3390/jmse9010089
Chicago/Turabian StyleSongtao, Zhang, and Zhao Peng. 2021. "L2-Gain Based Adaptive Robust Heel/Roll Reduction Control Using Fin Stabilizer during Ship Turns" Journal of Marine Science and Engineering 9, no. 1: 89. https://doi.org/10.3390/jmse9010089
APA StyleSongtao, Z., & Peng, Z. (2021). L2-Gain Based Adaptive Robust Heel/Roll Reduction Control Using Fin Stabilizer during Ship Turns. Journal of Marine Science and Engineering, 9(1), 89. https://doi.org/10.3390/jmse9010089
