Toxicity Evaluation of Nanostructured Silica Orally Administered to Rats: Influence on Immune System Function
Abstract
1. Introduction
2. Materials and Methods
2.1. Characterization of Nanomaterial
2.2. Animals and Ethics
2.3. Subacute 92-Day Experiment
2.4. Twenty-Eight-Day Systemic Anaphylaxis Model Experiment
2.5. Hematological and Immunological Parameters
2.6. Statistics
3. Results
3.1. SiO2 Characterization
3.2. Subacute 92-Day Experiment on Non-Immunized Animals
3.2.1. Condition and Growth of Animals during the Experiment
3.2.2. Weights of Internal Organs
3.2.3. The Intestinal Barrier Permeability
3.2.4. Hematological Indices
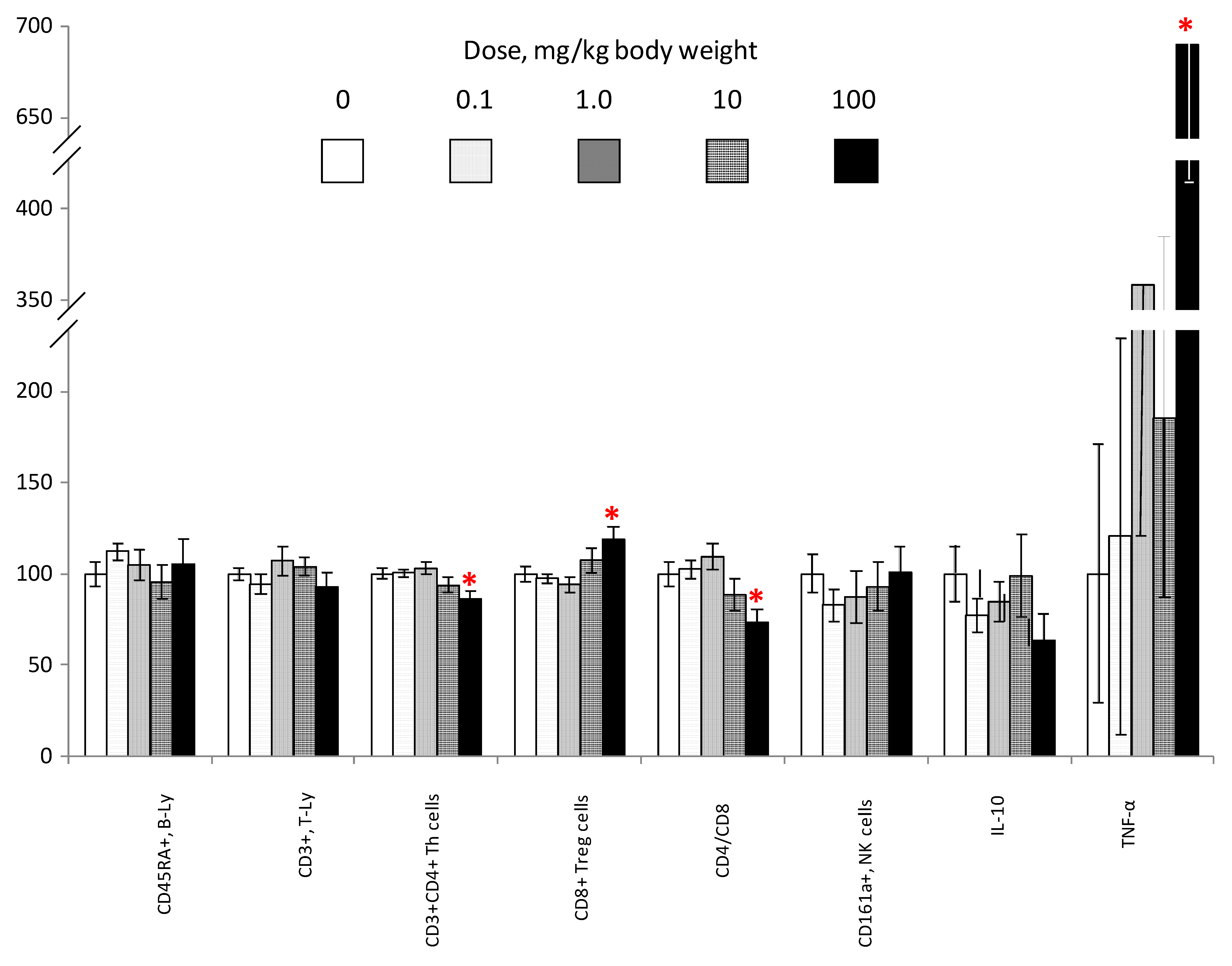
3.2.5. Immunological Parameters in Non-Immunized Animals
3.3. Twenty-Eight-Day Experiment on Immunized Animals
4. Discussion
5. Conclusions
Author Contributions
Funding
Conflicts of Interest
References
- Food and Agriculture Organization (FAO). Silicon Dioxide, Amorphous. Residue Monograph Prepared by the Meeting of the Joint FAO/WHO Expert Committee on Food Additives (JECFA), 84th Meeting 2017. Available online: http://www.fao.org/3/CA3117EN/ca3117en.pdf (accessed on 14 August 2020).
- Rossi, E.M.; Pylkkänen, L.; Koivisto, A.J.; Vippola, M.; Jensen, K.A.; Miettinen, M.; Sirola, K.; Nykäsenoja, H.; Karisola, P.; Stjernvall, T.; et al. Airway exposure to silica-coated TiO2 nanoparticles induces pulmonary neutrophilia in mice. Toxicol. Sci. 2010, 113, 422–433. [Google Scholar] [CrossRef] [PubMed]
- Sayes, C.M.; Reed, K.L.; Glover, K.P.; Swain, K.A.; Ostraat, M.L.; Donner, E.M.; Warheit, D.B. Changing the dose metric for inhalation toxicity studies: Short-term study in rats with engineered aerosolized amorphous silica nanoparticles. Inhal. Toxicol. 2010, 22, 348–354. [Google Scholar] [CrossRef] [PubMed]
- Zaitseva, N.V.; Zemlyanova, M.A.; Zvezdin, V.N.; Sayenko, Y.V. Toxicological and hygienic safety assessment of the aqueous suspension of nano-dispersed silicon dioxide, synthesized using liquid-crystal templating. Heal. Risk Anal. 2013, 65–72. [Google Scholar] [CrossRef]
- Zaitseva, N.V.; Zemlyanova, M.A.; Lebedinskaya, O.V.; Zvezdin, V.N.; Melekhin, S.V.; Akaf’yeva, T.I. Effect of nanosized silicon dioxide on the structural features of the internal organs of experimental animals. Morfologya (Morphology) 2013, 144, 78–79. [Google Scholar]
- Van der Zande, M.; Vandebriel, R.J.; Groot, M.J.; Kramer, E.; Herrera Rivera, Z.E.; Rasmussen, K.; Ossenkoppele, J.S.; Tromp, P.; Gremmer, E.R.; Peters, R.J.B.; et al. Sub-chronic toxicity study in rats orally exposed to nanostructured silica. Part. Fibre Toxicol. 2014, 11, 8. [Google Scholar] [CrossRef]
- Liang, C.L.; Xiang, Q.; Cui, W.M.; Fang, J.; Sun, N.N.; Zhang, X.P.; Li, Y.N.; Yang, H.; Yu, Z.; Jia, X.D. Subchronic Oral Toxicity of Silica Nanoparticles and Silica Microparticles in Rats. Biomed. Environ. Sci. 2018, 31, 197–207. [Google Scholar] [CrossRef]
- Duan, J.; Liang, S.; Yu, Y.; Li, Y.; Wang, L.; Wu, Z.; Chen, Y.; Miller, M.R.; Sun, Z. Inflammation-coagulation response and thrombotic effects induced by silica nanoparticles in zebrafish embryos. Nanotoxicology 2018, 12, 470–484. [Google Scholar] [CrossRef]
- Chen, L.; Liu, J.; Zhang, Y.; Zhang, G.; Kang, Y.; Chen, A.; Feng, X.; Shao, L. The toxicity of silica nanoparticles to the immune system. Nanomedicine (London) 2018, 13, 1939–1962. [Google Scholar] [CrossRef]
- Murugadoss, S.; Lison, D.; Godderis, L.; Van Den Brule, S.; Mast, J.; Brassinne, F.; Sebaihi, N.; Hoet, P.H. Toxicology of silica nanoparticles: An update. Arch. Toxicol. 2017, 91, 2967–3010. [Google Scholar] [CrossRef]
- Yoshida, T.; Yoshioka, Y.; Fujimura, M.; Yamashita, K.; Higashisaka, K.; Morishita, Y.; Kayamuro, H.; Nabeshi, H.; Nagano, K.; Abe, Y.; et al. Promotion of allergic immune responses by intranasally-administrated nanosilica particles in mice. Nanoscale Res. Lett. 2011, 6, 195. [Google Scholar] [CrossRef]
- Dukhin, A.; Goetz, P. Ultrasound for characterizing colloids-particle sizing, zeta potential, rheology. In Studies in Interface Science; Moebius, D., Miller, R., Eds.; Elsevier: Amsterdam, The Netherlands, 2002; 425p. [Google Scholar]
- Reeves, P.G.; Nielsen, F.H.; Fahey, G.C.J. AIN-93 purified diets for laboratory rodents: Final report of the American Institute of Nutrition ad hoc writing committee on the reformulation of the AIN-76A rodent diet. J. Nutr. 1993, 123, 1939–1951. [Google Scholar] [CrossRef] [PubMed]
- Stuart, C.A.; Twiselton, R.; Nicholas, M.K.; Hide, D.W. Passage of cows’ milk protein in breast milk. Clin. Allergy 1984, 14, 533–535. [Google Scholar] [CrossRef] [PubMed]
- Johns Hopkins University Animal Care and Use Committee. Available online: http://web.jhu.edu/animalcare/procedures/rat.html#normative (accessed on 14 August 2020).
- Stokes, C.; Miller, B.; Bourne, F. Animal models of food sensitivity. In Food Allergy Isntolerance; Brostoff, J., Challacombe, S., Eds.; W.B. Saunders: Eastbourne, UK, 1987; pp. 286–300. [Google Scholar]
- Thomassen, L.C.J.; Aerts, A.; Rabolli, V.; Lison, D.; Gonzalez, L.; Kirsch-Volders, M.; Napierska, D.; Hoet, P.H.; Kirschhock, C.E.A.; Martens, J.A. Synthesis and Characterization of Stable Monodisperse Silica Nanoparticle Sols for in Vitro Cytotoxicity Testing. Langmuir 2010, 26, 328–335. [Google Scholar] [CrossRef] [PubMed]
- Nabeshi, H.; Yoshikawa, T.; Matsuyama, K.; Nakazato, Y.; Tochigi, S.; Kondoh, S.; Hirai, T.; Akase, T.; Nagano, K.; Abe, Y.; et al. Amorphous nanosilica induce endocytosis-dependent ROS generation and DNA damage in human keratinocytes. Part. Fibre Toxicol. 2011, 8, 1. [Google Scholar] [CrossRef]
- Eom, H.-J.; Choi, J. Oxidative stress of silica nanoparticles in human bronchial epithelial cell, Beas-2B. Toxicol. Vitr. 2009, 23, 1326–1332. [Google Scholar] [CrossRef]
- Napierska, D.; Thomassen, L.C.J.; Rabolli, V.; Lison, D.; Gonzalez, L.; Kirsch-Volders, M.; Martens, J.A.; Hoet, P.H. Size-dependent cytotoxicity of monodisperse silica nanoparticles in human endothelial cells. Small 2009, 5, 846–853. [Google Scholar] [CrossRef]
- Park, M.V.D.Z.; Annema, W.; Salvati, A.; Lesniak, A.; Elsaesser, A.; Barnes, C.; McKerr, G.; Howard, C.V.; Lynch, I.; Dawson, K.A.; et al. In vitro developmental toxicity test detects inhibition of stem cell differentiation by silica nanoparticles. Toxicol. Appl. Pharmacol. 2009, 240, 108–116. [Google Scholar] [CrossRef]
- Ye, Y.; Liu, J.; Xu, J.; Sun, L.; Chen, M.; Lan, M. Nano-SiO2 induces apoptosis via activation of p53 and Bax mediated by oxidative stress in human hepatic cell line. Toxicol. In Vitro 2010, 24, 751–758. [Google Scholar] [CrossRef]
- Eom, H.-J.; Choi, J. SiO2 Nanoparticles Induced Cytotoxicity by Oxidative Stress in Human Bronchial Epithelial Cell, Beas-2B. Environ. Health Toxicol. 2011, 26, e2011013. [Google Scholar] [CrossRef]
- Yang, H.; Wu, Q.; Tang, M.; Liu, X.; Deng, H.; Kong, L.; Lu, Z. In vitro study of silica nanoparticle-induced cytotoxicity based on real-time cell electronic sensing system. J. Nanosci. Nanotechnol. 2010, 10, 561–568. [Google Scholar] [CrossRef]
- Yang, X.; Liu, J.; He, H.; Zhou, L.; Gong, C.; Wang, X.; Yang, L.; Yuan, J.; Huang, H.; He, L.; et al. SiO2 nanoparticles induce cytotoxicity and protein expression alteration in HaCaT cells. Part. Fibre Toxicol. 2010, 7, 1. [Google Scholar] [CrossRef] [PubMed]
- Duan, J.; Yu, Y.; Li, Y.; Li, Y.; Liu, H.; Jing, L.; Yang, M.; Wang, J.; Li, C.; Sun, Z. Low-dose exposure of silica nanoparticles induces cardiac dysfunction via neutrophil-mediated inflammation and cardiac contraction in zebrafish embryos. Nanotoxicology 2016, 10, 575–585. [Google Scholar] [CrossRef]
- Volkheimer, G. Passage of particles through the wall of the gastrointestinal tract. Environ. Health Perspect. 1974, 9, 215–225. [Google Scholar] [CrossRef]
- Jani, P.; Halbert, G.W.; Langridge, J.; Florence, A.T. Nanoparticle uptake by the rat gastrointestinal mucosa: Quantitation and particle size dependency. J. Pharm. Pharmacol. 1990, 42, 821–826. [Google Scholar] [CrossRef]
- Behrens, I.; Pena, A.I.V.; Alonso, M.J.; Kissel, T. Comparative uptake studies of bioadhesive and non-bioadhesive nanoparticles in human intestinal cell lines and rats: The effect of mucus on particle adsorption and transport. Pharm. Res. 2002, 19, 1185–1193. [Google Scholar] [CrossRef]
- Des Rieux, A.; Fievez, V.; Théate, I.; Mast, J.; Préat, V.; Schneider, Y.-J. An improved in vitro model of human intestinal follicle-associated epithelium to study nanoparticle transport by M cells. Eur. J. Pharm. Sci. 2007, 30, 380–391. [Google Scholar] [CrossRef] [PubMed]
- De Matteis, V. Exposure to Inorganic Nanoparticles: Routes of Entry, Immune Response, Biodistribution and In Vitro/In Vivo Toxicity Evaluation. Toxics 2017, 5. [Google Scholar] [CrossRef]
- Li, L.; Liu, T.; Fu, C.; Tan, L.; Meng, X.; Liu, H. Biodistribution, excretion, and toxicity of mesoporous silica nanoparticles after oral administration depend on their shape. Nanomedicine 2015, 11, 1915–1924. [Google Scholar] [CrossRef] [PubMed]
- Pham, D.-H.; Roo, B.D.; Nguyen, X.-B.; Vervaele, M.; Kecskés, A.; Ny, A.; Copmans, D.; Vriens, H.; Locquet, J.-P.; Hoet, P.; et al. Use of zebrafish larvae as a multi-endpoint platform to characterize the toxicity profile of silica nanoparticles. Sci. Rep. 2016, 6, 37145. [Google Scholar] [CrossRef]
- Faryadi, S.; Sheikhahmadi, A. Effect of nanosilicon dioxide on growth performance, egg quality, liver histopathology and concentration of calcium, phosphorus and silicon in egg, liver and bone in laying quails. Appl. Nanosci. 2017, 7, 765–772. [Google Scholar] [CrossRef]
- Murray, J.; Barbara, J.A.; Dunkley, S.A.; Lopez, A.F.; Van Ostade, X.; Condliffe, A.M.; Dransfield, I.; Haslett, C.; Chilvers, E.R. Regulation of neutrophil apoptosis by tumor necrosis factor-alpha: Requirement for TNFR55 and TNFR75 for induction of apoptosis in vitro. Blood 1997, 90, 2772–2783. [Google Scholar] [CrossRef]
- Strieter, R.M.; Kunkel, S.L.; Bone, R.C. Role of tumor necrosis factor-alpha in disease states and inflammation. Crit. Care Med. 1993, 21, S447-63. [Google Scholar] [CrossRef] [PubMed]
- Hober, D.; Haque, A.; Wattre, P.; Beaucaire, G.; Mouton, Y.; Capron, A. Production of tumour necrosis factor-alpha (TNF-alpha) and interleukin-1 (IL-1) in patients with AIDS. Enhanced level of TNF-alpha is related to a higher cytotoxic activity. Clin. Exp. Immunol. 1989, 78, 329–333. [Google Scholar]
- Kasper, J.; Hermanns, M.I.; Bantz, C.; Maskos, M.; Stauber, R.; Pohl, C.; Unger, R.E.; Kirkpatrick, J.C. Inflammatory and cytotoxic responses of an alveolar-capillary coculture model to silica nanoparticles: Comparison with conventional monocultures. Part. Fibre Toxicol. 2011, 8, 6. [Google Scholar] [CrossRef]
- Corbalan, J.J.; Medina, C.; Jacoby, A.; Malinski, T.; Radomski, M.W. Amorphous silica nanoparticles aggregate human platelets: Potential implications for vascular homeostasis. Int. J. Nanomed. 2012, 7, 631–639. [Google Scholar] [CrossRef] [PubMed]
- Lin, Y.-S.; Haynes, C.L. Impacts of mesoporous silica nanoparticle size, pore ordering, and pore integrity on hemolytic activity. J. Am. Chem. Soc. 2010, 132, 4834–4842. [Google Scholar] [CrossRef] [PubMed]
- Hu, H.; Li, Q.; Jiang, L.; Zou, Y.; Duan, J.; Sun, Z. Genome-wide transcriptional analysis of silica nanoparticles-induced toxicity in zebrafish embryos. Toxicol. Res. 2016, 5, 609–620. [Google Scholar] [CrossRef] [PubMed]
- Park, E.-J.; Park, K. Oxidative stress and pro-inflammatory responses induced by silica nanoparticles in vivo and in vitro. Toxicol. Lett. 2009, 184, 18–25. [Google Scholar] [CrossRef]
- Han, B.; Guo, J.; Abrahaley, T.; Qin, L.; Wang, L.; Zheng, Y.; Li, B.; Liu, D.; Yao, H.; Yang, J.; et al. Adverse effect of nano-silicon dioxide on lung function of rats with or without ovalbumin immunization. PLoS ONE 2011, 6, e17236. [Google Scholar] [CrossRef]
- Simberg, D.; Zhang, W.-M.; Merkulov, S.; McCrae, K.; Park, J.-H.; Sailor, M.J.; Ruoslahti, E. Contact activation of kallikrein-kinin system by superparamagnetic iron oxide nanoparticles in vitro and in vivo. J. Control. Release 2009, 140, 301–305. [Google Scholar] [CrossRef]
- Chen, E.Y.; Garnica, M.; Wang, Y.-C.; Mintz, A.J.; Chen, C.-S.; Chin, W.-C. A mixture of anatase and rutile TiO2 nanoparticles induces histamine secretion in mast cells. Part. Fibre Toxicol. 2012, 9, 2. [Google Scholar] [CrossRef] [PubMed]
- Zaitseva, N.V.; Zemlyanova, M.A.; Zvezdin, V.N.; Dovbysh, A.A.; Gmoshinskiy, I.V.; Khotimchenko, S.A. Impact of silica dioxide nanoparticles on the morphology of internal organs in rats by oral supplementation. Health Risk Anal. 2016, 4, 80–94. [Google Scholar] [CrossRef][Green Version]
- Neurath, M.F. Targeting immune cell circuits and trafficking in inflammatory bowel disease. Nat. Immunol. 2019, 20, 970–979. [Google Scholar] [CrossRef] [PubMed]







| Groups | SiO2 Dose, mg/kg Body Weight | Number of Animals 1 | Mass of Internals, % of Body Weight, M ± s.e.m. | |||||||
|---|---|---|---|---|---|---|---|---|---|---|
| Liver | Kidneys | Spleen | Testis | Heart | Thymus | Lungs | Adrenals | |||
| 1 | 0 | 9 | 2.77 ± 0.06 | 0.628 ± 0.017 | 0.347 ± 0.018 | 0.737 ± 0.029 | 0.284 ± 0.009 | 0.139 ± 0.008 | 0.476 ± 0.013 | 0.022 ± 0.001 |
| 2 | 0.1 | 10 | 2.67 ± 0.16 | 0.631 ± 0.036 | 0.321 ± 0.018 | 0.733 ± 0.026 | 0.274 ± 0.013 | 0.131 ± 0.012 | 0.493 ± 0.027 | 0.024 ± 0.003 |
| 3 | 1.0 | 9 | 2.65 ± 0.06 | 0.643 ± 0.018 | 0.347 ± 0.024 | 0.770 ± 0.016 | 0.266 ± 0.005 | 0.142 ± 0.006 | 0.501 ± 0.014 | 0.028 ± 0.001 * |
| 4 | 10 | 9 | 2.59 ± 0.07 | 0.629 ± 0.015 | 0.321 ± 0.007 | 0.822 ± 0.040 | 0.268 ± 0.006 | 0.156 ± 0.006 | 0.477 ± 0.020 | 0.029 ± 0.002 * |
| 5 | 100 | 7 | 2.71 ± 0.04 | 0.639 ± 0.016 | 0.306 ± 0.015 | 0.769 ± 0.025 | 0.280 ± 0.009 | 0.130 ± 0.011 | 0.480 ± 0.019 | 0.027 ± 0.002 |
| Homogeneity of distribution in groups 1–5, ANOVA | p > 0.05 F = 0.446 | p > 0.05 F = 0.083 | p > 0.05 F = 0.969 | p > 0.05 F = 1.644 | p > 0.05 F = 0.768 | p > 0.05 F = 1.363 | p > 0.05 F = 0.330 | p > 0.05 F = 1.730 | ||
| Groups | Number of Animals 1 | Indices, M ± s.e.m. | |||||
|---|---|---|---|---|---|---|---|
| Number of Erythrocytes, 1012/dm3 | Hemoglobin Concentration, g/dm3 | Hematocrit, % | Mean Volume of Erythrocyte, µm3 | Mean Content of Hemoglobin in Erythrocyte, pg | Hemoglobin Concentration in Cells, g/dm3 | ||
| 1 | 9 | 8.63 ± 0.17 | 147.7 ± 2.5 | 42.73 ± 0.80 | 49.56 ± 0.87 | 17.12 ± 0.32 | 345.8 ± 2.2 |
| 2 | 10 | 8.33 ± 0.11 | 145.3 ± 1.5 | 41.72 ± 0.55 | 49.90 ± 0.48 | 17.43 ± 0.12 | 348.1 ± 2.3 |
| 3 | 9 | 8.27 ± 0.10 | 143.8 ± 3.5 | 41.91 ± 1.10 | 50.67 ± 0.87 | 17.33 ± 0.26 | 342.7 ± 2.0 |
| 4 | 9 | 8.15 ± 0.09 | 147.4 ± 1.9 | 43.01 ± 0.49 | 52.89 ± 0.54 | 18.11 ± 0.25 | 342.8 ± 2.6 |
| 5 | 7 | 8.43 ± 0.14 | 150.1 ± 2.4 | 44.01 ± 0.64 | 52.29 ± 0.78 | 17.81 ± 0.30 | 340.9 ± 1.5 |
| Homogeneity of distribution in groups 1–5, ANOVA, p (F value) | >0.05 (2.252) | >0.05 (0.922) | >0.05 (1.387) | 0.006 (4.198) | >0.05 (2.461) | >0.05 (1.693) | |
| Significance * compared to group 1, p | Group 2 | >0.05/>0.05 | >0.05/>0.05 | >0.05/>0.05 | >0.05/>0.05 | >0.05/>0.05 | >0.05/>0.05 |
| Group 3 | >0.05/>0.05 | >0.05/>0.05 | >0.05/>0.05 | >0.05/>0.05 | >0.05/>0.05 | >0.05/>0.05 | |
| Group 4 | 0.020/0.031 | >0.05/>0.05 | >0.05/>0.05 | 0.005/0.008 | 0.026/0.027 | >0.05/>0.05 | |
| Group 5 | >0.05/>0.05 | >0.05/>0.05 | 0.039/>0.05 | 0.039/0.043 | >0.05/>0.05 | >0.05/>0.05 | |
| Groups | Number of Animals | Indices, M ± s.e.m. | ||||||
|---|---|---|---|---|---|---|---|---|
| Total Leucocytes, 109/dm3 | Neutrophils, % | Eosinophiles, % | Basophiles, % | Lymphocytes, % | Monocytes, % | Immature Cells, % | ||
| 1 | 9 | 16.79 ± 1.18 | 18.11 ± 1.54 | 2.30 ± 0.41 | 0.29 ± 0.04 | 70.21 ± 2.15 | 9.00 ± 0.96 | 0.73 ± 0.09 |
| 2 | 10 | 15.10 ± 1.55 | 20.52 ± 1.58 | 2.69 ± 0.42 | 0.28 ± 0.05 | 67.47 ± 1.80 | 8.79 ± 1.15 | 0.95 ± 0.12 |
| 3 | 9 | 15.72 ± 1.38 | 19.70 ± 1.99 | 2.56 ± 0.25 | 0.28 ± 0.03 | 70.59 ± 1.91 | 7.54 ± 0.46 | 0.89 ± 0.14 |
| 4 | 9 | 16.37 ± 1.48 | 20.41 ± 1.91 | 2.63 ± 0.27 | 0.32 ± 0.07 | 68.24 ± 2.03 | 8.20 ± 0.93 | 0.91 ± 0.13 |
| 5 | 7 | 11.21 ± 2.01 | 24.10 ± 2.65 | 2.47 ± 0.44 | 0.30 ± 0.02 | 65.43 ± 2.51 | 7.51 ± 0.49 | 0.91 ± 0.18 |
| Homogeneity of distribution in groups 1–5, ANOVA, p (F value) | >0.05 (1.861) | >0.05 (1.160) | >0.05 (0.180) | >0.05 (0.143) | >0.05 (0.960) | >0.05 (0.580) | >0.05 (0.428) | |
| Significance * compared to group 1, p | Group 2 | >0.05/>0.05 | >0.05/>0.05 | >0.05/>0.05 | >0.05/>0.05 | >0.05/>0.05 | >0.05/>0.05 | >0.05/>0.05 |
| Group 3 | >0.05/>0.05 | >0.05/>0.05 | >0.05/>0.05 | >0.05/>0.05 | >0.05/>0.05 | >0.05/>0.05 | >0.05/>0.05 | |
| Group 4 | >0.05/>0.05 | >0.05/>0.05 | >0.05/>0.05 | >0.05/>0.05 | >0.05/>0.05 | >0.05/>0.05 | >0.05/>0.05 | |
| Group 5 | 0.025/0.050 | >0.05/>0.05 | >0.05/>0.05 | >0.05/>0.05 | >0.05/>0.05 | >0.05/>0.05 | >0.05/>0.05 | |
| Indices, Units | Number of Animals | Significance, p | Comment | |
|---|---|---|---|---|
| Group 1 (N = 24) **** | Group 2 (N = 25) | |||
| Body weight, g, M ± s.e.m. | 295.5 ± 4.4 | 284.7 ± 4.2 | >0.05 * | - |
| AAR, lethality (4+), % | 33.0 | 48.0 | >0.05 ** | - |
| AAR, heavy reactions (3+ and 4+), % | 33.0 | 48.0 | >0.05 ** | All animals with heavy AAR died |
| Anaphylactic index (mean score of AAR) | 2.29 | 2.44 | >0.05 *** | - |
| Level of IgG to OVA, mg/cm3, M ± s.e.m. | 5.53 ± 0.90 | 6.14 ± 0.98 | >0.05 * >0.05 *** | - |
| Level of IgG to OVA, optical density units at 492 nm, M ± s.e.m. | 1.316 ± 0.043 | 1.345 ± 0.038 | >0.05 * >0.05 *** | - |
| lg[level of IgG to OVA] | 0.580 ± 0.088 | 0.637 ± 0.081 | >0.05 * >0.05 *** | |
| Groups | Number of Animals | OVA Immunization +/− | Dose of SiO2, mg/kg bw | Indices, M ± s.e.m. | |||||
|---|---|---|---|---|---|---|---|---|---|
| Number of CD45RA+ Cells (B-Ly), % | Number of CD3+ Cells (T-Ly), % | Number of CD3+CD4+ (T-Helpers), % | Number of CD3+CD8+ Cells (T-Cytotoxic), % | Ratio CD4/CD8 | Number of CD161a+ Cells (Natural Killers), % | ||||
| 3 | 10 | + | 0 | 37.5 ± 2.5 | 47.5 ± 2.6 | 52.5 ± 4.3 | 44.85 ± 4.5 | 1.42 ± 0.29 | 5.13 ± 0.77 |
| 4 | 10 | + | 100 | 36.8 ± 3.2 | 50.8 ± 3.7 | 49.4 ± 3.2 | 48.25 ± 3.2 | 1.10 ± 0.15 | 5.18 ± 0.44 |
| 5 | 10 | − | 0 | 36.8 ± 3.3 | 49.9 ± 2.2 | 54.2 ± 3.3 | 43.15 ± 3.2 | 1.38 ± 0.19 | 4.32 ± 0.69 |
| 6 | 9 | − | 100 | 28.7 ± 3.0 | 56.9 ± 3.0 | 42.7 ± 3.8 | 56.35 ± 3.7 | 0.82 ± 0.12 | 7.58 ± 0.93 |
| Homogeneity of distribution in groups 1-5, ANOVA, p | >0.05 | >0.05 | >0.05 | >0.05 | >0.05 | 0.021 | |||
| Paired significance, p * | gr.3-gr.4 | >0.05/>0.05 | >0.05/>0.05 | >0.05/>0.05 | >0.05/>0.05 | >0.05/>0.05 | >0.05/>0.05 | ||
| gr.5-gr.6 | >0.05/>0.05 | >0.05/>0.05 | 0.035 | 0.014 | 0.026 | 0.011 | |||
| gr.3-gr.5 | >0.05/>0.05 | >0.05/>0.05 | >0.05/>0.05 | >0.05/>0.05 | >0.05/>0.05 | >0.05/>0.05 | |||
| gr.4-gr.6 | >0.05/>0.05 | >0.05/>0.05 | >0.05/>0.05 | >0.05/>0.05 | >0.05/>0.05 | 0.039/0.037 | |||
| Factorial analysis, ANOVA, p | Factor of NPs | >0.05 | >0.05 | >0.05 | 0.034 | 0.033 | 0.042 | ||
| Factor of immunization | >0.05 | >0.05 | >0.05 | >0.05 | >0.05 | >0.05 | |||
Publisher’s Note: MDPI stays neutral with regard to jurisdictional claims in published maps and institutional affiliations. |
© 2020 by the authors. Licensee MDPI, Basel, Switzerland. This article is an open access article distributed under the terms and conditions of the Creative Commons Attribution (CC BY) license (http://creativecommons.org/licenses/by/4.0/).
Share and Cite
Gmoshinski, I.V.; Shipelin, V.A.; Shumakova, A.A.; Trushina, E.N.; Mustafina, O.K.; Safenkova, I.V.; Khotimchenko, S.A.; Nikityuk, D.B.; Tutelyan, V.A. Toxicity Evaluation of Nanostructured Silica Orally Administered to Rats: Influence on Immune System Function. Nanomaterials 2020, 10, 2126. https://doi.org/10.3390/nano10112126
Gmoshinski IV, Shipelin VA, Shumakova AA, Trushina EN, Mustafina OK, Safenkova IV, Khotimchenko SA, Nikityuk DB, Tutelyan VA. Toxicity Evaluation of Nanostructured Silica Orally Administered to Rats: Influence on Immune System Function. Nanomaterials. 2020; 10(11):2126. https://doi.org/10.3390/nano10112126
Chicago/Turabian StyleGmoshinski, Ivan V., Vladimir A. Shipelin, Antonina A. Shumakova, Eleonora N. Trushina, Oksana K. Mustafina, Irina V. Safenkova, Sergey A. Khotimchenko, Dmitry B. Nikityuk, and Viktor A. Tutelyan. 2020. "Toxicity Evaluation of Nanostructured Silica Orally Administered to Rats: Influence on Immune System Function" Nanomaterials 10, no. 11: 2126. https://doi.org/10.3390/nano10112126
APA StyleGmoshinski, I. V., Shipelin, V. A., Shumakova, A. A., Trushina, E. N., Mustafina, O. K., Safenkova, I. V., Khotimchenko, S. A., Nikityuk, D. B., & Tutelyan, V. A. (2020). Toxicity Evaluation of Nanostructured Silica Orally Administered to Rats: Influence on Immune System Function. Nanomaterials, 10(11), 2126. https://doi.org/10.3390/nano10112126

