Enhanced Supercapacitive Performance of Higher-Ordered 3D-Hierarchical Structures of Hydrothermally Obtained ZnCo2O4 for Energy Storage Devices
Abstract
1. Introduction
2. Materials and Methods
Fabrication of 3D-Peony-Like ZCO
3. Results and Discussion
3.1. XRD Analysis
3.2. Morphologic Analysis
3.3. XPS Analysis
3.4. BET Analysis
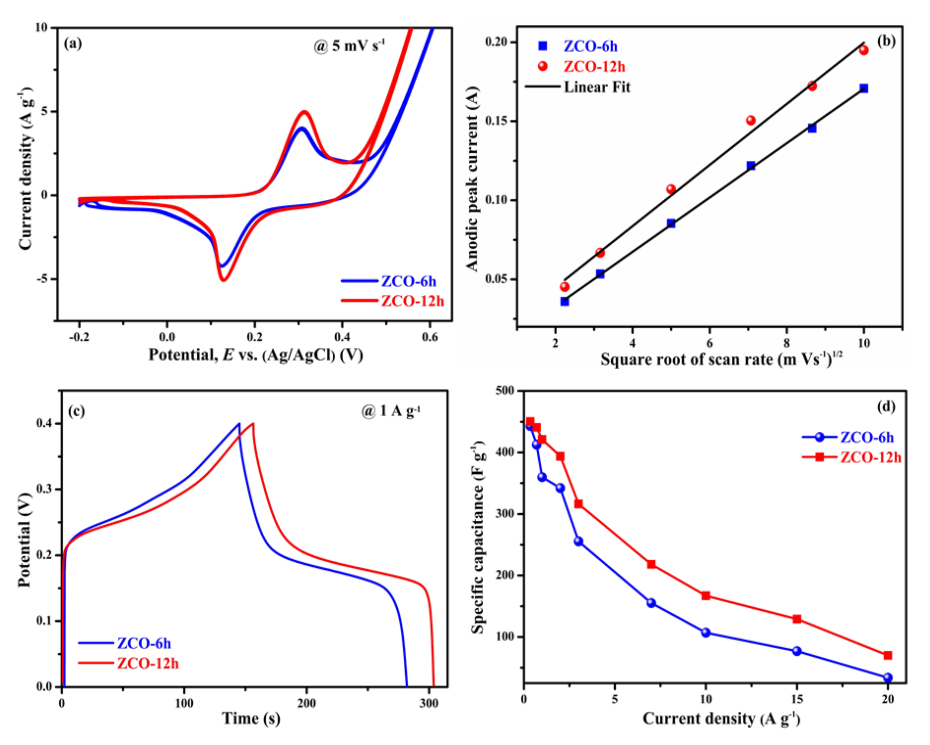
3.5. Electrochemical Analysis
4. Conclusions
Supplementary Materials
Author Contributions
Funding
Acknowledgments
Conflicts of Interest
References
- González, A.; Goikolea, E.; Barrena, J.A.; Mysyk, R. Review on supercapacitors: Technologies and materials. Renew. Sustain. Energy Rev. 2016, 58, 1189–1206. [Google Scholar] [CrossRef]
 - Simon, P.; Gogotsi, Y. Materials for electrochemical capacitors. Nat. Mater. 2008, 7, 845–854. [Google Scholar] [CrossRef]
 - Zhang, Y.; Ma, M.; Yang, J.; Su, H.; Huang, W.; Dong, X. Selective synthesis of hierarchical mesoporous spinel NiCo2O4 for high-performance supercapacitors. Nanoscale 2014, 6, 4303–4308. [Google Scholar] [CrossRef]
 - Chen, H.; Wang, X.; Guan, L.; Chen, L.; Tao, J. Surface engineering of layered SnO micro-plates for impressive high supercapacitor performance. Mater. Chem. Phys. 2019, 238, 121889. [Google Scholar] [CrossRef]
 - Wang, W.; Yang, Y.; Yang, S.; Guo, Z.; Feng, C.; Tang, X. Synthesis and electrochemical performance of ZnCo2O4 for lithium-ion battery application. Electrochim. Acta 2015, 155, 297–304. [Google Scholar] [CrossRef]
 - Iro, Z.S.; Subramani, C.; Dash, S.S. A brief review on electrode materials for supercapacitor. Int. J. Electrochem. Sci. 2016, 11, 10628–10643. [Google Scholar] [CrossRef]
 - Wu, W.; Wang, M.; Ma, J.; Cao, Y.; Deng, Y. Electrochromic metal oxides: Recent progress and prospect. Adv. Electron. Mater. 2018, 4, 1–19. [Google Scholar] [CrossRef]
 - Yu, Z.; Tetard, L.; Zhai, L.; Thomas, J. Supercapacitor electrode materials: Nanostructures from 0 to 3 dimensions. Energy Environ. Sci. 2015, 8, 702–730. [Google Scholar] [CrossRef]
 - Radhamani, A.V.; Shareef, K.M.; Rao, M.S.R. ZnO@MnO2 core-shell nanofiber cathodes for high performance asymmetric supercapacitors. ACS Appl. Mater. Interfaces 2016, 44, 30531–30542. [Google Scholar] [CrossRef] [PubMed]
 - Sharma, K.; Arora, A.; Tripathi, S.K. Review of supercapacitors: Materials and devices. J. Energy Storage 2019, 21, 801–825. [Google Scholar] [CrossRef]
 - Tomboc, G.M.; Jadhav, H.S.; Kim, H. PVP assisted morphology-controlled synthesis of hierarchical mesoporous ZnCo2O4 nanoparticles for high-performance pseudocapacitor. Chem. Eng. J. 2017, 308, 202–213. [Google Scholar] [CrossRef]
 - Liao, Q.; Li, N.; Jin, S.; Yang, G.; Wang, C. All-solid-state symmetric supercapacitor based on Co3O4 nanoparticles on vertically aligned graphene. ACS Nano 2015, 9, 5310–5317. [Google Scholar] [CrossRef]
 - Wei, L.; Tian, K.; Zhang, X.; Jin, Y.; Shi, T.; Guo, X. 3D porous hierarchical microspheres of activated carbon from nature through nanotechnology for electrochemical double-layer capacitors. ACS Sustain. Chem. Eng. 2016, 4, 6463–6472. [Google Scholar] [CrossRef]
 - Huang, L.; Chen, D.; Ding, Y.; Wang, Z.L.; Zeng, Z.; Liu, M. Hybrid composite Ni(OH)2@NiCo2O4 grown on carbon fiber paper for high-performance supercapacitors. ACS Appl. Mater. Interfaces 2013, 5, 11159–11162. [Google Scholar] [CrossRef]
 - Qiu, K.; Lu, Y.; Zhang, D.; Cheng, J.; Yan, H.; Xu, J.; Liu, X.; Kim, J.K.; Luo, Y. Mesoporous, hierarchical core/shell structured ZnCo2O4/MnO2 nanocone forests for high-performance supercapacitors. Nano Energy 2015, 11, 687–696. [Google Scholar] [CrossRef]
 - Niu, H.; Yang, X.; Jiang, H.; Zhou, D.; Li, X.; Zhang, T.; Liu, J.; Wang, Q.; Qu, F. Hierarchical core-shell heterostructure of porous carbon nanofiber@ZnCo2O4 nanoneedle arrays: Advanced binder-free electrodes for all-solid-state supercapacitors. J. Mater. Chem. A 2015, 3, 24082–24094. [Google Scholar] [CrossRef]
 - Xiao, J.; Wan, L.; Yang, S.; Xiao, F.; Wang, S. Design hierarchical electrodes with highly conductive NiCo2S4 nanotube arrays grown on carbon fiber paper for high-performance pseudocapacitors. Nano Lett. 2014, 14, 831–838. [Google Scholar] [CrossRef]
 - Zhang, Y.; Zhang, Y.; Zhang, D.; Sun, L. Urchin-like NiCo2O4 nanoneedles grown on mesocarbon microbeads with synergistic electrochemical properties as electrodes for symmetric supercapacitors. Dalt. Trans. 2017, 46, 9457–9465. [Google Scholar] [CrossRef]
 - Kumar, V.; Mariappan, C.R.; Azmi, R.; Moock, D.; Indris, S.; Bruns, M.; Ehrenberg, H.; Vijaya Prakash, G. Pseudocapacitance of mesoporous spinel-type MCo2O4 (M = Co, Zn, and Ni) rods fabricated by a facile solvothermal route. ACS Omega 2017, 2, 6003–6013. [Google Scholar] [CrossRef]
 - Jadhav, H.S.; Pawar, S.M.; Jadhav, A.H.; Thorat, G.M.; Seo, J.G. Hierarchical mesoporous 3D flower-like CuCo2O4/NF for high-performance electrochemical energy storage. Sci. Rep. 2016, 6, 2–13. [Google Scholar] [CrossRef]
 - Gai, Y.; Shang, Y.; Gong, L.; Su, L.; Hao, L.; Dong, F.; Li, J. A self-template synthesis of porous ZnCo2O4 microspheres for high-performance quasi-solid-state asymmetric supercapacitors. RSC Adv. 2017, 7, 1038–1044. [Google Scholar] [CrossRef]
 - Kumbhar, V.S.; Nguyen, V.Q.; Lee, Y.R.; Lokhande, C.D.; Kim, D.H.; Shim, J.J. Electrochemically growth-controlled honeycomb-like NiMoO4 nanoporous network on nickel foam and its applications in all-solid-state asymmetric supercapacitors. New J. Chem. 2018, 42, 14805–14816. [Google Scholar] [CrossRef]
 - Bao, L.; Zang, J.; Li, X. Flexible Zn2SnO4/MnO2 core/shell nanocable-carbon microfiber hybrid composites for high-performance supercapacitor electrodes. Nano Lett. 2011, 11, 1215–1220. [Google Scholar] [CrossRef] [PubMed]
 - Gao, X.; Wang, W.; Bi, J.; Chen, Y.; Hao, X.; Sun, X.; Zhang, J. Morphology-controllable preparation of NiFe2O4 as high-performance electrode material for supercapacitor. Electrochim. Acta 2019, 296, 181–189. [Google Scholar] [CrossRef]
 - Bao, F.; Wang, X.; Zhao, X.; Wang, Y.; Ji, Y.; Zhang, H.; Liu, X. Controlled growth of mesoporous ZnCo2O4 nanosheet arrays on Ni foam as high-rate electrodes for supercapacitors. RSC Adv. 2014, 4, 2393–2397. [Google Scholar] [CrossRef]
 - Chen, S.; Xue, M.; Li, Y.; Pan, Y.; Zhu, L.; Zhang, D.; Fang, Q.; Qiu, S. Porous ZnCo2O4 nanoparticles derived from a new mixed-metal organic framework for supercapacitors. Inorg. Chem. Front. 2015, 2, 177–183. [Google Scholar] [CrossRef]
 - Wu, C.; Cai, J.; Zhang, Q.; Zhou, X.; Zhu, Y.; Li, L.; Shen, P.; Zhang, K. Direct growth of urchin-like ZnCo2O4 microspheres assembled from nanowires on nickel foam as high-performance electrodes for supercapacitors. Electrochim. Acta 2015, 169, 202–209. [Google Scholar] [CrossRef]
 - Cheng, J.; Lu, Y.; Qiu, K.; Yan, H.; Hou, X.; Xu, J.; Han, L.; Liu, X.; Kim, J.K.; Luo, Y. Mesoporous ZnCo2O4 nanoflakes grown on nickel foam as electrodes for high performance supercapacitors. Phys. Chem. Chem. Phys. 2015, 17, 17016–17022. [Google Scholar] [CrossRef]
 - Liu, B.; Liu, B.; Wang, Q.; Wang, X.; Xiang, Q.; Chen, D.; Shen, G. Erratum: New energy storage option: Toward ZnCo2O4 nanorods/nickel foam architectures for high-performance supercapacitors. ACS Appl. Mater. Interfaces 2014, 6, 2199. [Google Scholar] [CrossRef]
 - Xu, L.; Zhao, Y.; Lian, J.; Xu, Y.; Bao, J.; Qiu, J.; Xu, L.; Xu, H.; Hua, M.; Li, H. Morphology controlled preparation of ZnCo2O4 nanostructures for asymmetric supercapacitor with ultrahigh energy density. Energy 2017, 123, 296–304. [Google Scholar] [CrossRef]
 - Venkatachalam, V.; Alsalme, A.; Alswieleh, A.; Jayavel, R. Double hydroxide mediated synthesis of nanostructured ZnCo2O4 as high-performance electrode material for supercapacitor applications. Chem. Eng. J. 2017, 321, 474–483. [Google Scholar] [CrossRef]
 - Wang, Q.; Du, J.; Zhu, Y.; Yang, J.; Chen, J.; Wang, C.; Li, L.; Jiao, L. Facile fabrication and supercapacitive properties of mesoporous zinc cobaltite microspheres. J. Power Sources 2015, 284, 138–145. [Google Scholar] [CrossRef]
 - Shang, Y.; Xie, T.; Gai, Y.; Su, L.; Gong, L.; Lv, H.; Dong, F. Self-assembled hierarchical peony-like ZnCo2O4 for high-performance asymmetric supercapacitors. Electrochim. Acta 2017, 253, 281–290. [Google Scholar] [CrossRef]
 - Sahoo, S.; Shim, J.J. Facile synthesis of three-dimensional ternary ZnCo2O4/reduced graphene oxide/NiO composite film on nickel foam for next generation supercapacitor electrodes. ACS Sustain. Chem. Eng. 2017, 5, 241–251. [Google Scholar] [CrossRef]
 - Muniz, F.T.L.; Miranda, M.A.R.; Morilla Dos Santos, C.; Sasaki, J.M. The Scherrer equation and the dynamical theory of X-ray diffraction. Acta Crystallogr. Sect. A Found. Adv. 2016, 72, 385–390. [Google Scholar] [CrossRef]
 - Wang, D.; Guan, B.; Li, Y.; Li, D.; Xu, Z.; Hu, Y.; Wang, Y.; Zhang, H. Morphology-controlled synthesis of hierarchical mesoporous α-Ni(OH)2 microspheres for high-performance asymmetric supercapacitors. J. Alloys Compd. 2018, 737, 238–247. [Google Scholar] [CrossRef]
 - Shi, L.; Zhang, J.; Liu, H.; Que, M.; Cai, X.; Tan, S.; Huang, L. Flower-like Ni(OH)2 hybridized g-C3N4 for high-performance supercapacitor electrode material. Mater. Lett. 2015, 145, 150–153. [Google Scholar] [CrossRef]
 - Dillip, G.R.; Banerjee, A.N.; Anitha, V.C.; Deva Prasad Raju, B.; Joo, S.W.; Min, B.K. Oxygen vacancy-induced structural, optical, and enhanced supercapacitive performance of zinc oxide anchored graphitic carbon nanofiber hybrid electrodes. ACS Appl. Mater. Interfaces 2016, 8, 5025–5039. [Google Scholar] [CrossRef]
 - Al Haj, Y.; Balamurugan, J.; Kim, N.H.; Lee, J.H. Nitrogen-doped graphene encapsulated cobalt iron sulfide as an advanced electrode for high-performance asymmetric supercapacitors. J. Mater. Chem. A 2019, 7, 3941–3952. [Google Scholar] [CrossRef]
 - Li, G.R.; Wang, Z.L.; Zheng, F.L.; Ou, Y.N.; Tong, Y.X. ZnO@MoO3 core/shell nanocables: Facile electrochemical synthesis and enhanced supercapacitor performances. J. Mater. Chem. 2011, 21, 4217–4221. [Google Scholar] [CrossRef]
 - Wang, Z.; Lu, S.; He, G.; Lv, A.; Shen, Y.; Xu, W. In situ construction of dual-morphology ZnCo2O4 for high-performance asymmetric supercapacitors. Nanoscale Adv. 2019, 1, 3086–3094. [Google Scholar] [CrossRef]
 - Ranganatha, S.; Munichandraiah, N. Solvothermal synthesis of mesoporous NiCoP for high performance electrochemical supercapacitors. Mater. Chem. Phys. 2019, 224, 124–128. [Google Scholar] [CrossRef]
 - Wang, S.; Pu, J.; Tong, Y.; Cheng, Y.; Gao, Y.; Wang, Z. ZnCo2O4 nanowire arrays grown on nickel foam for high-performance pseudocapacitors. J. Mater. Chem. A 2014, 2, 5434–5440. [Google Scholar] [CrossRef]
 - Guo, L.; Ru, Q.; Song, X.; Hu, S.; Mo, Y. Pineapple-shaped ZnCo2O4 microspheres as anode materials for lithium ion batteries with prominent rate performance. J. Mater. Chem. A 2015, 3, 8683–8692. [Google Scholar] [CrossRef]
 - Yang, J.; Liu, W.; Niu, H.; Cheng, K.; Ye, K.; Zhu, K.; Wang, G.; Cao, D.; Yan, J. Ultrahigh energy density battery-type asymmetric supercapacitors: NiMoO4 nanorod-decorated graphene and graphene/Fe2O3 quantum dots. Nano Res. 2018, 11, 4744–4758. [Google Scholar] [CrossRef]
 - Singh, A.K.; Sarkar, D.; Khan, G.; Mandal, K. Unique hydrogenated Ni/NiO core/shell 1D nano- heterostructures with superior electrochemical performance as supercapacitors. J. Mater. Chem. A 2013, 1, 12759–12767. [Google Scholar] [CrossRef]
 - Zhang, D.; Zhang, Y.; Li, X.; Luo, Y.; Huang, H.; Wang, J.; Chu, P.K. Self-assembly of mesoporous ZnCo2O4 nanomaterials: Density functional theory calculation and flexible all-solid-state energy storage. J. Mater. Chem. A 2015, 4, 568–577. [Google Scholar] [CrossRef]
 - Umeshbabu, E.; Rajeshkhanna, G.; Justin, P.; Rao, G.R. Synthesis of mesoporous NiCo2O4–rGO by a solvothermal method for charge storage applications. RSC Adv. 2015, 5, 66657–66666. [Google Scholar] [CrossRef]
 - Zhao, J.; Li, Z.; Zhang, M.; Meng, A.; Li, Q. Direct growth of ultrathin NiCo2O4/NiO nanosheets on SiC nanowires as a free-standing advanced electrode for high-performance asymmetric supercapacitors. ACS Sustain. Chem. Eng. 2016, 4, 3598–3608. [Google Scholar] [CrossRef]
 









| Sample | Peak Binding Energy (eV ± 0.1)/ (Relative Atomic Concentration (%))/FWHM (eV) | Ratio | Elemental at% | |||||||||||
|---|---|---|---|---|---|---|---|---|---|---|---|---|---|---|
| O 1s | Zn 2p | Co 2p | Zn/Co | O | Zn | Co | ||||||||
| Co3+ | Co2+ | |||||||||||||
| O1 | O2 | O3 | O4 | Zn1 | Zn2 | Co1 | Co3 | Co2 | Co4 | |||||
| ZCO-6h | 529.4 (41.24) [1.05]  | 530.6 (8.66) [1.05]  | 531.5 (7.20) [1.05]  | 532.5 (2.23) [1.05]  | 1021.0 (20.17) [2.26]  | 1044.2 | 779.6 (7.87) [1.60]  | 794.6 | 780.8 (12.63) [3.26]  | 795.8 | 0.984 | 59.33 | 20.17 | 20.5 | 
| ZCO-12h | 529.4 (34.10) [1.15]  | 530.9 (12.67) [1.15]  | 531.9 (7.71) [1.15]  | 533.1 (3.84) [1.15]  | 1021.3 (21.56) [2.89]  | 1044.4 | 779.6 (5.78) [1.50]  | 794.6 | 781.1 (14.34) [3.50]  | 795.8 | 1.071 | 58.32 | 21.56 | 20.12 | 
| Material | Synthesis Method | Morphology | Specific Capacitance (F·g−1 @ 1 A·g−1) | [Ref.] | 
|---|---|---|---|---|
| NiCo2O4 | Hydrothermal | Microsphere | 327 | [19] | 
| CuCo2O4 | Solution combustion | Cauliflower | 338 | [20] | 
| MnCo2O4 | Hydrothermal | Nanowire | 349.8 | [22] | 
| MgCo2O4 | Molten salt method | particle | 321 | [23] | 
| CoMn2O4 | Solvothermal | Flower-like | 321 | [24] | 
| MnCo2O4 | Solvothermal | Nanosheet | 346 | [35] | 
| ZnCo2O4 | Hydrothermal | Nanosheet | 290.5 | [39] | 
| ZnCo2O4(ZCO-6h) | Hydrothermal | Flower-like | 359.85 | Present work | 
| ZnCo2O4(ZCO-12h) | Hydrothermal | Flake-like | 421.05 | Present work | 
© 2020 by the authors. Licensee MDPI, Basel, Switzerland. This article is an open access article distributed under the terms and conditions of the Creative Commons Attribution (CC BY) license (http://creativecommons.org/licenses/by/4.0/).
Share and Cite
Rajasekhara Reddy, G.; Siva Kumar, N.; Deva Prasad Raju, B.; Shanmugam, G.; Al-Ghurabi, E.H.; Asif, M. Enhanced Supercapacitive Performance of Higher-Ordered 3D-Hierarchical Structures of Hydrothermally Obtained ZnCo2O4 for Energy Storage Devices. Nanomaterials 2020, 10, 1206. https://doi.org/10.3390/nano10061206
Rajasekhara Reddy G, Siva Kumar N, Deva Prasad Raju B, Shanmugam G, Al-Ghurabi EH, Asif M. Enhanced Supercapacitive Performance of Higher-Ordered 3D-Hierarchical Structures of Hydrothermally Obtained ZnCo2O4 for Energy Storage Devices. Nanomaterials. 2020; 10(6):1206. https://doi.org/10.3390/nano10061206
Chicago/Turabian StyleRajasekhara Reddy, Gutturu, Nadavala Siva Kumar, Borelli Deva Prasad Raju, Gnanendra Shanmugam, Ebrahim H. Al-Ghurabi, and Mohammad Asif. 2020. "Enhanced Supercapacitive Performance of Higher-Ordered 3D-Hierarchical Structures of Hydrothermally Obtained ZnCo2O4 for Energy Storage Devices" Nanomaterials 10, no. 6: 1206. https://doi.org/10.3390/nano10061206
APA StyleRajasekhara Reddy, G., Siva Kumar, N., Deva Prasad Raju, B., Shanmugam, G., Al-Ghurabi, E. H., & Asif, M. (2020). Enhanced Supercapacitive Performance of Higher-Ordered 3D-Hierarchical Structures of Hydrothermally Obtained ZnCo2O4 for Energy Storage Devices. Nanomaterials, 10(6), 1206. https://doi.org/10.3390/nano10061206
        
