A Versatile and Ultrasensitive Electrochemical Sensing Platform for Detection of Chlorpromazine Based on Nitrogen-Doped Carbon Dots/Cuprous Oxide Composite
Abstract
1. Introduction
2. Materials and Methods
2.1. Materials and Reagents
2.2. Synthesis of N-CDs
2.3. Synthesis of N-CDs/Cu2O Composite
2.4. Preparation of N-CDs/Cu2O/Nf Composite Modified Electrode
2.5. Real Sample Preparation
3. Results and Discussion
3.1. Physicochemical Characterization
3.2. Electrochemical Characterization of N-CDs/Cu2O/Nf/GCE
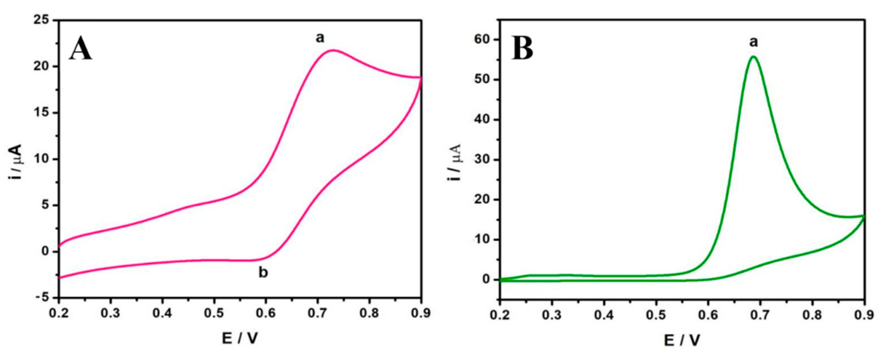
3.3. Electrochemical Performance of N-CDs/Cu2O/Nf/GCE towards CPZ Oxidation
3.4. Analytical Performance
3.5. Interference Study
3.6. Stability, Repeatability, and Reproducibility
3.7. Real Sample Analysis
4. Conclusion
Supplementary Materials
Author Contributions
Funding
Conflicts of Interest
References
- Akira, S.; Snyder, S.H. Schizophrenia: Diverse approaches to a complex disease. Science 2002, 296, 692–695. [Google Scholar] [CrossRef]
- Ahmadzadeh, S.; Karimi, F.; Atar, N.; Sartori, E.R.; Faghih-Mirzaei, E.; Afsharmanesh, E. Synthesis of CdO nanoparticles using direct chemical precipitation method: Fabrication of novel voltammetric sensor for square wave voltammetry determination of chlorpromazine in pharmaceutical samples. Inorg. Nano-Metal Chem. 2017, 47, 347–353. [Google Scholar] [CrossRef]
- Stevenson, D.; Reid, E. Determination of Chlorpromazine and Its Sulfoxide and 7-Hydroxy Metabolites by Ion-Pair High Pressure Liquid Chromatography. Anal. Lett. 1981, 14, 741–761. [Google Scholar] [CrossRef]
- Sakthivel, R.; Kubendhiran, S.; Chen, S.-M. Functionalization of a carbon nanofiber with a tetrasulfonatophenyl ruthenium(II)porphine complex for real-time amperometric sensing of chlorpromazine. Microchim. Acta. 2019, 186, 285. [Google Scholar] [CrossRef] [PubMed]
- Sgaragli, G.; Ninci, R.; Della Corte, L.; Valoti, M.; Nardini, M.; Andreoli, V.; Moneti, G. Promazine. A major plasma metabolite of chlorpromazine in a population of chronic schizophrenics. Drug Metab. Dispos. 1986, 14, 263–266. [Google Scholar] [PubMed]
- Huang, Y.; Chen, Z. Chemiluminescence of chlorpromazine hydrochloride based on cerium (IV) oxidation sensitized by rhodamine 6G. Talanta 2002, 57, 953–959. [Google Scholar] [CrossRef]
- Zimová, N.; Němec, I.; Zima, J. Determination of chlorpromazine and thioridazine by differential pulse voltammetry in acetonitrile medium. Talanta 1986, 33, 467–470. [Google Scholar] [CrossRef]
- Ninci, R.; Giovannini, M.G.; Della Corte, L.; Sgaragli, G. Isothermal gas chromatographic determination of nanogram amounts of chlorimipramine, chlorpromazine and their N-desmethyl metabolites in plasma using nitrogen-selective detection. J. Chromatogr. B Biomed. Sci. Appl. 1986, 381, 315–322. [Google Scholar] [CrossRef]
- Xu, G.; Dong, S. Electrochemiluminescent Detection of Chlorpromazine by Selective Preconcentration at a Lauric Acid-Modified Carbon Paste Electrode Using Tris(2,2‘-bipyridine)ruthenium(II). Anal. Chem. 2000, 72, 5308–5312. [Google Scholar] [CrossRef]
- Chen, D.; Ríos, A.; de Castro, M.D.L.; Valcárcel, M. Simultaneous flow-injection determination of chlorpromazine and promethazine by photochemical reaction. Talanta 1991, 38, 1227–1233. [Google Scholar] [CrossRef]
- Palakollu, V.N.; Chiwunze, T.E.; Gill, A.A.S.; Thapliyal, N.; Maru, S.M.; Karpoormath, R. Electrochemical sensitive determination of isoprenaline at β-cyclodextrin functionalized graphene oxide and electrochemically generated acid yellow 9 polymer modified electrode. J. Mol. Liq. 2017, 248, 953–962. [Google Scholar] [CrossRef]
- Palakollu, V.N.; Thapliyal, N.; Chiwunze, T.E.; Karpoormath, R.; Karunanidhi, S.; Cherukupalli, S. Electrochemically reduced graphene oxide/Poly-Glycine composite modified electrode for sensitive determination of l-dopa. Mater. Sci. Eng. C 2017, 77, 394–404. [Google Scholar] [CrossRef]
- Reddaiah, K.; Madhusudana Reddy, T.; Venkata Ramana, D.K.; Subba Rao, Y. Poly-Alizarin red S/multiwalled carbon nanotube modified glassy carbon electrode for the boost up of electrocatalytic activity towards the investigation of dopamine and simultaneous resolution in the presence of 5-HT: A voltammetric study. Mater. Sci. Eng. C 2016, 62, 506–517. [Google Scholar] [CrossRef]
- Govindasamy, M.; Wang, S.-F.; Jothiramalingam, R.; Noora Ibrahim, S.; Al-lohedan, H.A. A screen-printed electrode modified with tungsten disulfide nanosheets for nanomolar detection of the arsenic drug roxarsone. Microchim. Acta 2019, 186, 420. [Google Scholar] [CrossRef]
- Khodadadi, A.; Faghih-Mirzaei, E.; Karimi-Maleh, H.; Abbaspourrad, A.; Agarwal, S.; Gupta, V.K. A new epirubicin biosensor based on amplifying DNA interactions with polypyrrole and nitrogen-doped reduced graphene: Experimental and docking theoretical investigations. Sensors Actuators B Chem. 2019, 284, 568–574. [Google Scholar] [CrossRef]
- Yola, M.L. Electrochemical activity enhancement of monodisperse boron nitride quantum dots on graphene oxide: Its application for simultaneous detection of organophosphate pesticides in real samples. J. Mol. Liq. 2019, 277, 50–57. [Google Scholar] [CrossRef]
- Miraki, M.; Karimi-Maleh, H.; Taher, M.A.; Cheraghi, S.; Karimi, F.; Agarwal, S.; Gupta, V.K. Voltammetric amplified platform based on ionic liquid/NiO nanocomposite for determination of benserazide and levodopa. J. Mol. Liq. 2019, 278, 672–676. [Google Scholar] [CrossRef]
- Zhang, F.; Li, Y.; Gu, Y.; Wang, Z.; Wang, C. One-pot solvothermal synthesis of a Cu2O/Graphene nanocomposite and its application in an electrochemical sensor for dopamine. Microchim. Acta 2011, 173, 103–109. [Google Scholar] [CrossRef]
- Yang, K.; Yan, Z.; Ma, L.; Du, Y.; Peng, B.; Feng, J. A Facile One-Step Synthesis of Cuprous Oxide/Silver Nanocomposites as Efficient Electrode-Modifying Materials for Nonenzyme Hydrogen Peroxide Sensor. Nanomater. 2019, 9, 523. [Google Scholar] [CrossRef]
- Zhuang, X.; Wang, H.; He, T.; Chen, L. Enhanced voltammetric determination of dopamine using a glassy carbon electrode modified with ionic liquid-functionalized graphene and carbon dots. Microchim. Acta 2016, 183, 3177–3182. [Google Scholar] [CrossRef]
- Sun, D.; Ban, R.; Zhang, P.-H.; Wu, G.-H.; Zhang, J.-R.; Zhu, J.-J. Hair fiber as a precursor for synthesizing of sulfur- and nitrogen-co-doped carbon dots with tunable luminescence properties. Carbon 2013, 64, 424–434. [Google Scholar] [CrossRef]
- Pan, M.; Xie, X.; Liu, K.; Yang, J.; Hong, L.; Wang, S. Fluorescent Carbon Quantum Dots—Synthesis, Functionalization and Sensing Application in Food Analysis. Nanomaterials 2020, 10, 930. [Google Scholar] [CrossRef]
- Zheng, X.T.; Ananthanarayanan, A.; Luo, K.Q.; Chen, P. Glowing Graphene Quantum Dots and Carbon Dots: Properties, Syntheses, and Biological Applications. Small 2015, 11, 1620–1636. [Google Scholar] [CrossRef]
- Yola, M.L.; Atar, N. Development of molecular imprinted sensor including graphitic carbon nitride/N-doped carbon dots composite for novel recognition of epinephrine. Compos. Part B Eng. 2019, 175, 107113. [Google Scholar] [CrossRef]
- Li, J.; Jiang, J.; Xu, Z.; Liu, M.; Tang, S.; Yang, C.; Qian, D. Facile synthesis of Pd−Cu@Cu2O/N-RGO hybrid and its application for electrochemical detection of tryptophan. Electrochim. Acta 2018, 260, 526–535. [Google Scholar] [CrossRef]
- Xu, Q.; Kuang, T.; Liu, Y.; Cai, L.; Peng, X.; Sreenivasan Sreeprasad, T.; Zhao, P.; Yu, Z.; Li, N. Heteroatom-doped carbon dots: Synthesis, characterization, properties, photoluminescence mechanism and biological applications. J. Mater. Chem. B 2016, 4, 7204–7219. [Google Scholar] [CrossRef]
- Jahanbakhshi, M.; Habibi, B. A novel and facile synthesis of carbon quantum dots via salep hydrothermal treatment as the silver nanoparticles support: Application to electroanalytical determination of H2O2 in fetal bovine serum. Biosens. Bioelectron. 2016, 81, 143–150. [Google Scholar] [CrossRef]
- Luo, J.; Cui, J.; Wang, Y.; Yu, D.; Qin, Y.; Zheng, H.; Shu, X.; Tan, H.H.; Zhang, Y.; Wu, Y. Metal-organic framework-derived porous Cu2O/Cu@C core-shell nanowires and their application in uric acid biosensor. Appl. Surf. Sci. 2020, 506, 144662. [Google Scholar] [CrossRef]
- Khan, S.B.; Akhtar, K.; Bakhsh, E.M.; Asiri, A.M. Electrochemical detection and catalytic removal of 4-nitrophenol using CeO2-Cu2O and CeO2-Cu2O/CH nanocomposites. Appl. Surf. Sci. 2019, 492, 726–735. [Google Scholar] [CrossRef]
- Li, X.; Yang, Z.; Xu, S.; Zhang, W.; Su, Y.; Hu, N.; Lu, W.; Feng, J.; Zhang, Y. Morphology Control and Photocatalysis Enhancement by in Situ Hybridization of Cuprous Oxide with Nitrogen-Doped Carbon Quantum Dots. Langmuir 2016, 32, 9418–9427. [Google Scholar] [CrossRef]
- Waseda, Y.; Matsubara, E.; Kozo, S. X-Ray Diffraction Crystallography: Introduction, Examples and Solved Problems; Springer Verlag: Berlin, Germany, 2011. [Google Scholar]
- Dang, D.K.; Sundaram, C.; Ngo, Y.-L.T.; Choi, W.M.; Chung, J.S.; Kim, E.J.; Hur, S.H. Pyromellitic acid-derived highly fluorescent N-doped carbon dots for the sensitive and selective determination of 4-nitrophenol. Dye. Pigment. 2019, 165, 327–334. [Google Scholar] [CrossRef]
- Han, X.; He, X.; Sun, L.; Han, X.; Zhan, W.; Xu, J.; Wang, X.; Chen, J. Increasing Effectiveness of Photogenerated Carriers by in Situ Anchoring of Cu2O Nanoparticles on a Nitrogen-Doped Porous Carbon Yolk–Shell Cuboctahedral Framework. ACS Catal. 2018, 8, 3348–3356. [Google Scholar] [CrossRef]
- Yang, Z.; Xu, M.; Liu, Y.; He, F.; Gao, F.; Su, Y.; Wei, H.; Zhang, Y. Nitrogen-doped, carbon-rich, highly photoluminescent carbon dots from ammonium citrate. Nanoscale 2014, 6, 1890–1895. [Google Scholar] [CrossRef]
- Zhang, R.; Chen, W. Nitrogen-doped carbon quantum dots: Facile synthesis and application as a “turn-off” fluorescent probe for detection of Hg2+ ions. Biosens. Bioelectron. 2014, 55, 83–90. [Google Scholar] [CrossRef]
- Zhang, X.; Zhang, Z.; Hu, F.; Li, D.; Zhou, D.; Jing, P.; Du, F.; Qu, S. Carbon-Dots-Derived 3D Highly Nitrogen-Doped Porous Carbon Framework for High-Performance Lithium Ion Storage. ACS Sustain. Chem. Eng. 2019, 7, 9848–9856. [Google Scholar] [CrossRef]
- Nanthagopal, M.; Santhoshkumar, P.; Shaji, N.; Praveen, S.; Kang, H.S.; Senthil, C.; Lee, C.W. Nitrogen-doped carbon-coated Li[Ni0.8Co0.1Mn0.1]O2 cathode material for enhanced lithium-ion storage. Appl. Surf. Sci. 2019, 492, 871–878. [Google Scholar] [CrossRef]
- Jeong, H.M.; Lee, J.W.; Shin, W.H.; Choi, Y.J.; Shin, H.J.; Kang, J.K.; Choi, J.W. Nitrogen-Doped Graphene for High-Performance Ultracapacitors and the Importance of Nitrogen-Doped Sites at Basal Planes. Nano Lett. 2011, 11, 2472–2477. [Google Scholar] [CrossRef]
- Allen, J.B.; Larry, R.F. Electrochemical Methods: Fundamentals and Applications; John Wiley & Sons: New York, NY, USA, 2001. [Google Scholar]
- Yola, M.L.; Atar, N. Simultaneous determination of β-agonists on hexagonal boron nitride nanosheets/multi-walled carbon nanotubes nanocomposite modified glassy carbon electrode. Mater. Sci. Eng. C 2019, 96, 669–676. [Google Scholar] [CrossRef]
- Hu, S.; Huang, Q.; Lin, Y.; Wei, C.; Zhang, H.; Zhang, W.; Guo, Z.; Bao, X.; Shi, J.; Hao, A. Reduced graphene oxide-carbon dots composite as an enhanced material for electrochemical determination of dopamine. Electrochim. Acta 2014, 130, 805–809. [Google Scholar] [CrossRef]
- Zhang, M.; Bao, W.-Q.; Wang, Y.; Deng, N.; He, J.-B. In situ monitoring of chlorpromazine radical intermediate by spectroelectrochemistry. J. Electroanal. Chem. 2014, 724, 1–7. [Google Scholar] [CrossRef]
- Mutharani, B.; Ranganathan, P.; Chen, S.-M. Highly sensitive and selective electrochemical detection of antipsychotic drug chlorpromazine in biological samples based on poly-N-isopropylacrylamide microgel. J. Taiwan Inst. Chem. Eng. 2019, 96, 599–609. [Google Scholar] [CrossRef]
- Kokulnathan, T.; Kumar, J.V.; Chen, S.-M.; Karthik, R.; Elangovan, A.; Muthuraj, V. One-step sonochemical synthesis of 1D β-stannous tungstate nanorods: An efficient and excellent electrocatalyst for the selective electrochemical detection of antipsychotic drug chlorpromazine. Ultrason. Sonochem. 2018, 44, 231–239. [Google Scholar] [CrossRef] [PubMed]
- Vinoth Kumar, J.; Karthik, R.; Chen, S.-M.; Kokulnathan, T.; Sakthinathan, S.; Muthuraj, V.; Chiu, T.-W.; Chen, T.-W. Highly selective electrochemical detection of antipsychotic drug chlorpromazine in drug and human urine samples based on peas-like strontium molybdate as an electrocatalyst. Inorg. Chem. Front. 2018, 5, 643–655. [Google Scholar] [CrossRef]
- Petković, B.B.; Kuzmanović, D.; Dimitrijević, T.; Krstić, M.P.; Stanković, D.M. Novel Strategy for Electroanalytical Detection of Antipsychotic Drugs Chlorpromazine and Thioridazine; Possibilities for Simultaneous Determination. Int. J. Electrochem. Sci. 2017, 12, 3709–3720. [Google Scholar] [CrossRef]
- Hajian, A.; Rafati, A.; Afraz, A.; Najafi, M. Electrosynthesis of Polythiophene Nanowires and Their Application for Sensing of Chlorpromazine. J. Electrochem. Soc. 2014, 161, 196–200. [Google Scholar] [CrossRef]









| Sensing Material | Technique | pH | Linear Range (M) | LOD (nM) | Ref. |
|---|---|---|---|---|---|
| PNIPAM | DPV | 7.0 | 0.05 µM–7999 µM | 16 | [43] |
| β-SnWNRs | Amperometry | 7.0 | 0.01 µM–457 µM | 3 | [44] |
| CdO/NPs/IL | Chronoamperometry | 7.0 | 0.1 µM–350 µM | 70 | [2] |
| Peas-like SrM | DPV | 7.0 | 0.1 µM–143 µM; 153 µM–1683 µM | 28 | [45] |
| BDD | DPV | 4.0 | 0.1 µM–40.0 µM | 30 | [46] |
| PTN | DPV | 7.0 | 0.1 µM–130 µM | 300 | [47] |
| N-CDs/Cu2O/Nf | DPV | 7.0 | 0.001 µM–230 µM | 25 | Present work |
| Sample | S. No | Added (µM) | Found (µM) | Recovery (%) | Bias (%) |
|---|---|---|---|---|---|
| Tablet | 1 | 0 | Not detected | - | - |
| 2 | 10 | 09.94 | 99.40 | 0.6 | |
| 3 | 20 | 20.22 | 100.10 | 1.1 | |
| 4 | 30 | 30.01 | 100.03 | 0.03 | |
| Human Urine | 1 | 0 | Not detected | - | - |
| 2 | 10 | 09.71 | 97.10 | 2.90 | |
| 3 | 20 | 20.50 | 102.50 | 2.50 | |
| 4 | 30 | 29.31 | 97.70 | 2.30 |
© 2020 by the authors. Licensee MDPI, Basel, Switzerland. This article is an open access article distributed under the terms and conditions of the Creative Commons Attribution (CC BY) license (http://creativecommons.org/licenses/by/4.0/).
Share and Cite
Palakollu, V.N.; Karpoormath, R.; Wang, L.; Tang, J.-N.; Liu, C. A Versatile and Ultrasensitive Electrochemical Sensing Platform for Detection of Chlorpromazine Based on Nitrogen-Doped Carbon Dots/Cuprous Oxide Composite. Nanomaterials 2020, 10, 1513. https://doi.org/10.3390/nano10081513
Palakollu VN, Karpoormath R, Wang L, Tang J-N, Liu C. A Versatile and Ultrasensitive Electrochemical Sensing Platform for Detection of Chlorpromazine Based on Nitrogen-Doped Carbon Dots/Cuprous Oxide Composite. Nanomaterials. 2020; 10(8):1513. https://doi.org/10.3390/nano10081513
Chicago/Turabian StylePalakollu, Venkata Narayana, Rajshekhar Karpoormath, Lei Wang, Jiao-Ning Tang, and Chen Liu. 2020. "A Versatile and Ultrasensitive Electrochemical Sensing Platform for Detection of Chlorpromazine Based on Nitrogen-Doped Carbon Dots/Cuprous Oxide Composite" Nanomaterials 10, no. 8: 1513. https://doi.org/10.3390/nano10081513
APA StylePalakollu, V. N., Karpoormath, R., Wang, L., Tang, J.-N., & Liu, C. (2020). A Versatile and Ultrasensitive Electrochemical Sensing Platform for Detection of Chlorpromazine Based on Nitrogen-Doped Carbon Dots/Cuprous Oxide Composite. Nanomaterials, 10(8), 1513. https://doi.org/10.3390/nano10081513

