Fluorescent Imprinted Nanoparticles for the Effective Monitoring of Irinotecan in Human Plasma
Abstract
1. Introduction
2. Materials and Methods
2.1. Chemicals
2.2. Instrumentation
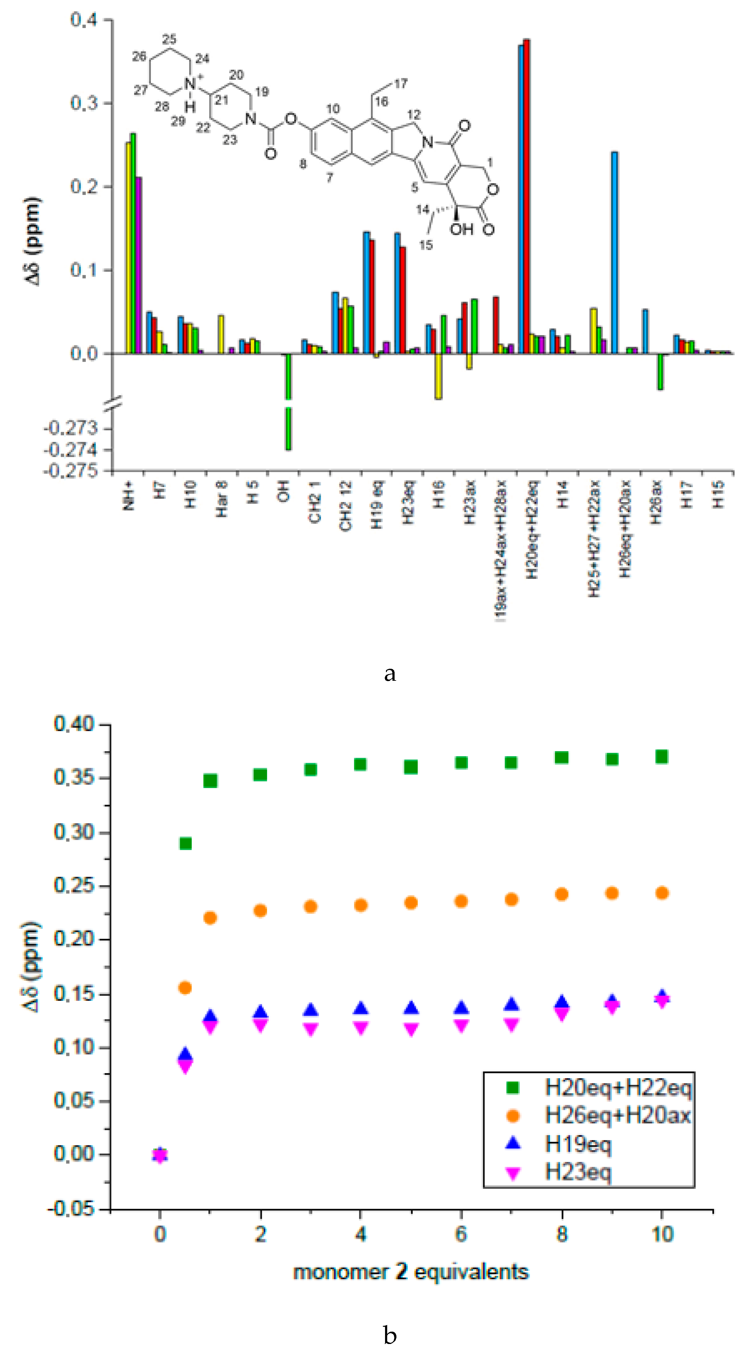
2.3. 1H-NMR Titrations
2.4. Synthesis of the Polymers (General Procedure)
2.5. Dynamic Light Scattering
2.6. Transmission Electron Microscopy
2.7. Rebinding Tests
2.8. Fluorimetry
2.9. Fluorescence Titrations in Plasma
3. Results and Discussion
3.1. Selection of Functional Monomers
3.2. Synthesis and Characterisation of the Polymers
3.3. Fluorimetry and Evaluation in Human Plasma
4. Conclusions
Supplementary Materials
Author Contributions
Funding
Conflicts of Interest
References
- Fukuoka, M. Current status of irinotecan in lung cancer. Oncology 2001, 15, 6–7. [Google Scholar] [PubMed]
- Rodríguez Cáceres, M.I.; Durán-Merás, I.; Ornelas Soto, N.E.; López de Alba, P.L.; López Martínez, L. Spectrofluorimetric determination of irinotecan in the presence of oxidant and metal ions. Talanta 2008, 74, 1484–1491. [Google Scholar] [CrossRef] [PubMed]
- Karadas, N.; Sanli, S.; Akmese, B.; Dogan-Topal, B.; Can, A.; Ozkan, S.A. Analytical application of polymethylene blue-multiwalled carbon nanotubes modified glassy carbon electrode on anticancer drug irinotecan and determination of its ionization constant value. Talanta 2013, 115, 911–919. [Google Scholar] [CrossRef] [PubMed]
- Weekes, J.; Lam, A.K.Y.; Sebesan, S.; Ho, Y.H. Irinotecan therapy and molecular targets in colorectal cancer: A systemic review. World J. Gastroenterol. 2009, 15, 3597–3602. [Google Scholar] [CrossRef]
- Chabot, G.G. Clinical pharmacokinetics of irinotecan. Clin. Pharmacokinet. 1997, 33, 245–259. [Google Scholar] [CrossRef]
- Marangon, E.; Posocco, B.; Mazzega, E.; Toffoli, G. Development and validation of a High-Performance Liquid Chromatography–Tandem Mass Spectrometry method for the simultaneous determination of irinotecan and its main metabolites in human plasma and its application in a clinical pharmacokinetic study. PLoS ONE 2015, 10, e0118194. [Google Scholar] [CrossRef]
- Alnaim, L. Therapeutic Drug Monitoring of cancer chemotherapy. J. Oncol. Pharm. Pract. 2007, 13, 207–221. [Google Scholar] [CrossRef]
- Pearce, C.M.; Resmini, M. Towards point of care systems for the therapeutic drug monitoring of imatinib. Anal. Bioanal. Chem. 2020, 412, 5925–5933. [Google Scholar] [CrossRef]
- Hahn, R.Z.; Arnhold, P.C.; Andriguetti, N.B.; Schneider, A.; Klück, H.M.; dos Reis, S.L.; Bastiani, M.F.; Kael, I.; Cezimbra da Silva, A.C.; Schwartsmann, G.; et al. Determination of irinotecan and its metabolite SN-38 in dried bloodspots using high-performance liquid-chromatography with fluorescence detection. J. Pharm. Biomed. Anal. 2018, 150, 51–58. [Google Scholar] [CrossRef]
- Ragot, S.; Marquet, P.; Lachatre, F.; Rousseau, A.; Lacassie, E.; Gaulier, J.M.; Dupuy, J.L.; Lachatre, G. Sensitive determination of irinotecan (CPT-11) and its active metabolite SN-38 in human serum using liquid chromatography-electrospray mass spectrometry. J. Chromatogr. B 1999, 736, 175–184. [Google Scholar] [CrossRef]
- Calandra, E.; Crotti, S.; Nitti, D.; Roverso, M.; Toffoli, G.; Marangon, E.; Posocco, B.; Traldi, P.; Agostini, M. The development of a matrix-assisted laser desorption/ionization (MALDI)-based analytical method for determination of irinotecan levels in human plasma: Preliminary results. J. Mass Spectr. 2015, 50, 959–962. [Google Scholar] [CrossRef] [PubMed]
- Vlatakis, G.; Andersson, L.I.; Müller, R.; Mosbach, K. Drug Assay using antibody mimics made by molecular imprinting. Nature 1993, 361, 645–647. [Google Scholar] [CrossRef] [PubMed]
- Roy, B.; Vo Duy, S.; Puy, J.I.; Martin, C.; Guitton, J.; Dumontet, C.; Périgaud, C.; Lefebvre-Tournier, I. Synthesis and evaluation of a molecularly imprinted polymer for selective solid-phase extraction of irinotecan from human serum samples. J. Funct. Biomater. 2012, 3, 131–142. [Google Scholar] [CrossRef] [PubMed]
- Xue, J.Q.; Li, D.W.; Qu, L.L.; Long, Y.T. Surface-imprinted core-shell Au nanoparticles for selective detection of bisphenol A based on surface-enhanced Raman scattering. Anal. Chim. Acta 2013, 777, 57–62. [Google Scholar] [CrossRef]
- Ciardelli, G.; Cioni, B.; Cristallini, C. Acrylic polymeric nanospheres for the release and recognition of molecules of clinical interest. Biosens. Bioelectron. 2004, 20, 1083–1090. [Google Scholar] [CrossRef]
- Pasetto, P.; Maddock, S.C.; Resmini, M. Synthesis and characterization of molecularly imprinted catalytic microgels for carbonate hydrolysis. Anal. Chim. Acta 2005, 542, 66–75. [Google Scholar] [CrossRef]
- Flavin, K.; Resmini, M. Imprinted nanomaterials: A new class of synthetic receptors. Anal. Bioanal. Chem. 2009, 393, 437–444. [Google Scholar] [CrossRef]
- Liu, H.; Hong, Y.; Chen, L. Molecularly imprinted polymers coated on carbon nanotubes for matrix solid phase dispersion extraction of camptothecin from Camptotheca acuminate. Anal. Methods 2015, 7, 8100–8108. [Google Scholar] [CrossRef]
- Pellizzoni, E.; Tommasini, M.; Marangon, E.; Rizzolio, F.; Saito, G.; Benedetti, F.; Toffoli, G.; Resmini, M.; Berti, F. Fluorescent molecularly imprinted nanogels for the detection of anticancer drugs in human plasma. Biosens. Bioelectron. 2016, 86, 913–919. [Google Scholar] [CrossRef]
- Lakowicz, J.R. Principles of Fluorescence Spectroscopy, 3rd ed.; Springer: Cham, Switzerland, 2006; ISBN 13: 978-0387-31278-1. [Google Scholar]
- May, B.; Poteau, X.; Yuan, D.; Brown, R.G. A study of a highly efficient resonance energy transfer between 7-N,N-diethylamino-4-methylcoumarin and 9-butyl-4-butylamino-1,8-naphthalimide. Dyes Pigm. 1999, 42, 79–84. [Google Scholar] [CrossRef]
- De Bruijn, P.; Verweij, J.; Loos, W.J.; Nooter, K.; Stoter, G.; Sparreboom, A. Determination of irinotecan (CPT-11) and its active metabolite SN-38 in human plasma by reversed-phase high-performance liquid chromatography with fluorescence detection. J. Chromatogr. B 1997, 698, 277–285. [Google Scholar] [CrossRef]
- Sai, K.; Kaniwa, N.; Ozawa, S.; Sawada, J.I. An analytical method for irinotecan (CPT-11) and its metabolites using a high-performance liquid chromatography: Parallel detection with fluorescence and mass spectrometry. Biomed. Chrom. 2002, 16, 209–218. [Google Scholar] [CrossRef] [PubMed]
- Poujol, S.; Inguet, F.; Malosse, F.; Astre, C.; Ychou, M.; Culine, S.; Bressolle, F. Sensitive HPLC-fluorescence method for irinotecan and four major metabolites in human plasma and saliva: Application to pharmacokinetic studies. Clin. Chem. 2003, 49, 1900–1908. [Google Scholar] [CrossRef] [PubMed]
- Alexiou, M.S.; Tychopoulos, V.; Ghorbanian, S.; Tyman, J.H.P.; Brown, R.G.; Brittain, P. The UV-Visible absorption and fluorescence of some substituted 1,8-Naphthalimides and naphthalic anhydrides. J. Chem. Soc. Perkin Trans. 1990, 2, 837–842. [Google Scholar] [CrossRef]
- Ton, X.A.; Acha, V.; Bonomi, P.; Tse Sum Bui, B.; Haupt, K. A disposable evanescent wave fiber optic sensor coated with a Molecularly imprinted polymer as a selective fluorescence probe. Biosens. Bioelectron. 2015, 64, 359–366. [Google Scholar] [CrossRef]
- Wagner, W.R.; Wan, M.; Biyikal, E.; Benito-Peña; Moreno-Bondi, M.C.; Lazraq, I.; Rurack, K.; Sellergren, B. Synthesis, spectroscopic, and analyte-responsive behavior of a polymerizable naphthalimide-based carboxylate probe and molecularly imprinted polymers prepared thereof. J. Org. Chem. 2013, 784, 1377–1389. [Google Scholar] [CrossRef]
- Ton, X.A.M.; Tse Sum Bui, B.; Resmini, M.; Bonomi, P.; Dika, I.; Soppera, O.; Haupt, K. A Versatile fiber-optic fluorescence sensor based on molecularly imprinted microstructures polymerized in situ. Angew. Chem. Int. Ed. 2013, 52, 8317–8321. [Google Scholar] [CrossRef]
- Rouhani, S.; Nahavandifard, F. Molecular imprinting-based fluorescent optosensor using a polymerizable 1,8-naphthalimide dye as a florescence functional monomer. Sens. Act. B 2014, 197, 185–192. [Google Scholar] [CrossRef]
- Saito, G.; Velluto, D.; Resmini, M. Synthesis of 1,8-naphthalimide-based probes with fluorescent switch triggered by flufenamic acid. R. Soc. Open Sci. 2018, 5172137. [Google Scholar] [CrossRef]
- Dato Paduka, A.H.; Kruger, P.E.; Gunnlaugsson, T. Colorimetric ‘naked-eye’ and fluorescent sensors for anions based on amidourea functionalised 1,8-naphthalimide structures: Anion recognition via either deprotonation or hydrogen bonding in DMSO. New J. Chem. 2008, 32, 1153–1161. [Google Scholar]
- Bojinov, V.; Konstantinova, T. Synthesis of polymerizable 1,8-naphtalimide dyes containing hindered amine fragment. Dyes Pigm. 2002, 54, 239–245. [Google Scholar] [CrossRef]
- Bardajee, G.R. Microwave-assisted solvent-free synthesis of fluorescent naphthalimide dyes. Dyes Pigm. 2013, 99, 52–58. [Google Scholar] [CrossRef]
- Zhang, Y.; Feng, S.; Wu, Q.; Wang, K.; Yi, X.; Wang, H.; Pan, Y. Microwave-assisted synthesis and evaluation of naphthalimides derivatives as free radical scavengers. Med. Chem. Res. 2011, 20, 752–759. [Google Scholar] [CrossRef]
- Wu, Q.; Qin, W. Solvent-Free Synthesis of 1,8-Naphthalimide Derivatives Under Microwaves Irradiation. Asian J. Chem. 2011, 23, 4713–4714. [Google Scholar]
- Graham, N.B.; Cameron, A. Nanogels and microgels: The new polymeric materials playground. Pure Appl. Chem. 1998, 70, 1271–1275. [Google Scholar] [CrossRef]
- Liu, P.; Pearce, C.M.; Anastasiadi, R.-M.; Resmini, M.; Castilla, A.M. Covalently Crosslinked Nanogels: An NMR Study of the Effect of Monomer Reactivity on Composition and Structure. Polymers 2019, 11, 353. [Google Scholar] [CrossRef]
- Biffis, A.; Graham, N.B.; Siedlaczek, G.; Stalberg, S.; Wulff, G. The Synthesis, Characterization and Molecular Recognition Properties of Imprinted Microgels. Macromol. Chem. Phys. 2001, 202, 163–171. [Google Scholar] [CrossRef]
- Hassan, P.A.; Rana, S.; Verma, G. Making Sense of Brownian Motion: Colloid Characterization by Dynamic Light Scattering. Langmuir 2015, 31, 3–12. [Google Scholar] [CrossRef]
- Stetefeld, J.; McKenna, S.A.; Patel, T.R. Dynamic light scattering: A practical guide and applications in biomedical sciences. Biophys. Rev. 2016, 8, 409–427. [Google Scholar] [CrossRef]







| Polymer | Template [mg] | Functional Monomer [mg] | AIBN [mg] | Co-Monomer [mg] | Cross-Linker [mg] | DMSO [mL] |
|---|---|---|---|---|---|---|
| MIP-A | 41.0 | 10.0 | 17.0 | MAA 6.1 | 46.2 | 6.61 |
| NIP-A | - | |||||
| MIP-B | 41.0 | 15.0 | 17.0 | MAA 12.2 | 59.5 | 7.88 |
| NIP-B | - | |||||
| MIP-C | 41.0 | 15.0 | 17.0 | MAA 4.3 | 46.0 | 5.92 |
| NIP-C | - | |||||
| MIP-D | 41.0 | 15.0 | 17.0 | NIPAM 5.7 | 46.2 | 6.06 |
| NIP-D | - | |||||
| MIP-E | 41.0 | 15.0 | 17.0 | AA 3.5 | 46.2 | 5.87 |
| NIP-E | - | |||||
| MIP-F | 41.0 | 30.0 | 17.0 | - | 46.2 | 6.85 |
| NIP-F | - |
| MIP | Monomer 5 % a | Co-Monomer% a | Cross-Linker % a | YieldMIP (NIP)% b | Irinotecan Rebinding c nmol/mg | Specificity IF d | Fluorimetry % quenching e KSV f 105 L/mol | DLS Size(nm) g PDI h |
|---|---|---|---|---|---|---|---|---|
| A | 10 | MAA | 70 | 92 | 44 | 1.6 | - | 16.1 ± 1.0 |
| 20 | (98) | 0.062 | ||||||
| B | 10 | MAA | 60 | 93 | 49 | 1.0 | - | 40.9 ± 2.3 |
| 30 | (80) | 0.056 | ||||||
| C | 15 | MAA | 70 | 58 | 25 | 0.6 | 17 | 19.0 ± 6.1 |
| (15) | (63) | 0.101 | 0.136 | |||||
| D | 15 | NIPAM (15) | 70 | 69 | 8 | 0.9 | - | 15.7 ± 1.4 |
| (49) | 0.089 | |||||||
| E | 15 | AA | 70 | 73 | 5 | 0.7 | - | 27.9 ± 2.6 |
| 15 | (41) | 0.093 | ||||||
| F | 30 | - | 70 | 77 | 19 | 2.5 | 38 | 13.1 ± 2.0 |
| (42) | 43.5 ± 1.8 | 0.153 |
© 2020 by the authors. Licensee MDPI, Basel, Switzerland. This article is an open access article distributed under the terms and conditions of the Creative Commons Attribution (CC BY) license (http://creativecommons.org/licenses/by/4.0/).
Share and Cite
Tommasini, M.; Pellizzoni, E.; Iacuzzi, V.; Marangon, E.; Posocco, P.; Forzato, C.; Bertoncin, P.; Toffoli, G.; Resmini, M.; Berti, F. Fluorescent Imprinted Nanoparticles for the Effective Monitoring of Irinotecan in Human Plasma. Nanomaterials 2020, 10, 1707. https://doi.org/10.3390/nano10091707
Tommasini M, Pellizzoni E, Iacuzzi V, Marangon E, Posocco P, Forzato C, Bertoncin P, Toffoli G, Resmini M, Berti F. Fluorescent Imprinted Nanoparticles for the Effective Monitoring of Irinotecan in Human Plasma. Nanomaterials. 2020; 10(9):1707. https://doi.org/10.3390/nano10091707
Chicago/Turabian StyleTommasini, Martina, Elena Pellizzoni, Valentina Iacuzzi, Elena Marangon, Paola Posocco, Cristina Forzato, Paolo Bertoncin, Giuseppe Toffoli, Marina Resmini, and Federico Berti. 2020. "Fluorescent Imprinted Nanoparticles for the Effective Monitoring of Irinotecan in Human Plasma" Nanomaterials 10, no. 9: 1707. https://doi.org/10.3390/nano10091707
APA StyleTommasini, M., Pellizzoni, E., Iacuzzi, V., Marangon, E., Posocco, P., Forzato, C., Bertoncin, P., Toffoli, G., Resmini, M., & Berti, F. (2020). Fluorescent Imprinted Nanoparticles for the Effective Monitoring of Irinotecan in Human Plasma. Nanomaterials, 10(9), 1707. https://doi.org/10.3390/nano10091707

