CuBi2O4 Synthesis, Characterization, and Application in Sensitive Amperometric/Voltammetric Detection of Amoxicillin in Aqueous Solutions
Abstract
1. Introduction
2. Materials and Methods
2.1. Synthesis and Characterization of CuBi2O4
2.2. Copper Bismuthate-Carbon Nanofiber Paste Electrode (CuBi/CNF) Obtaining and Electrochemical Characterization
2.3. Electrochemical Detection of AMX
3. Results
3.1. Characterization of Bi2Cu(C2O4)4·0.25H2O Oxalate Precursor
3.2. Characterization of the CuBi2O4 Powder
3.3. Application in Electrochemical Sensing of Amoxicillin (AMX)
3.3.1. Cyclic Voltammetry
3.3.2. Influence of the Scan Rate
3.3.3. Differential-Pulsed Voltammetry (DPV) and Square-Wave Voltammetry (SWV)
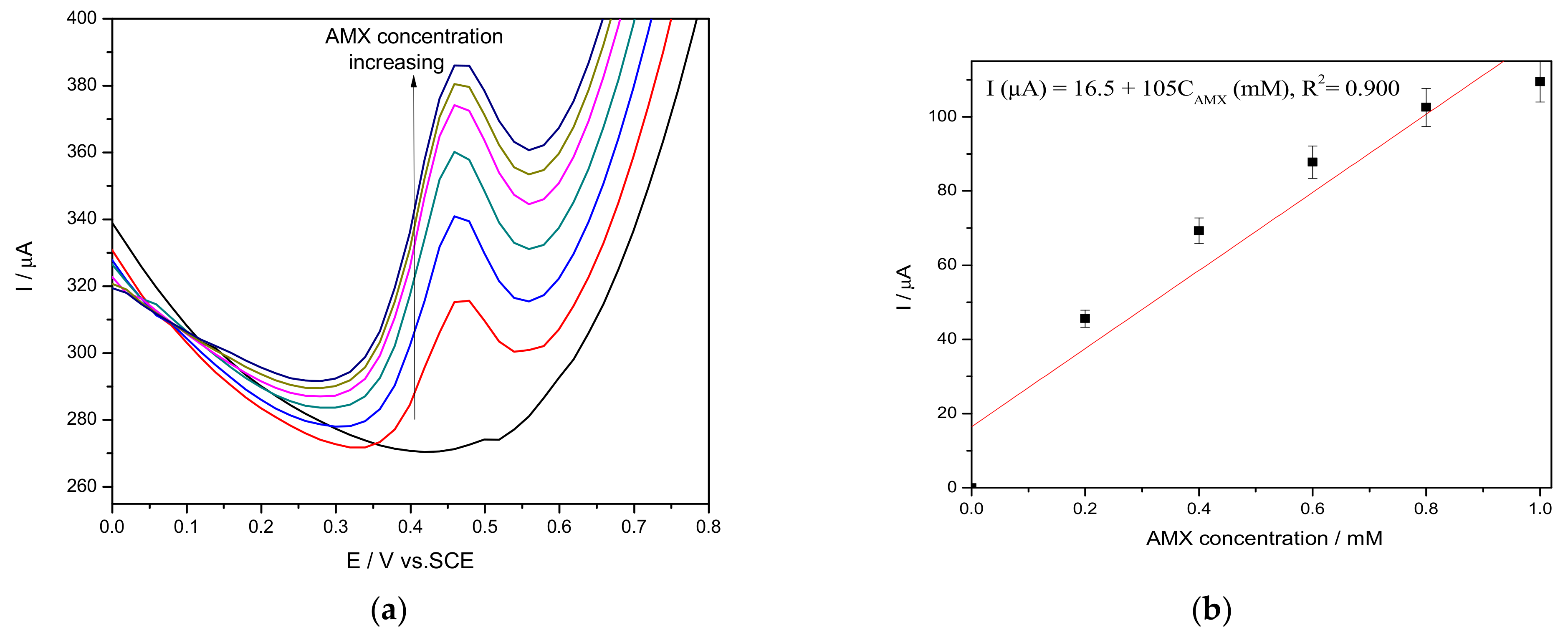
3.3.4. Amperometry for AMX Detection on the CuBi/CNF Electrode
4. Conclusions
Author Contributions
Funding
Conflicts of Interest
References
- Baciu, A.; Pop, A.; Manea, F.; Schoonman, J. Simultaneous arsenic (III) and lead (II) detection from aqueous solution by anodic stripping square-wave voltammetry. Environ. Eng. Manag. J. 2014, 13, 2317–2323. [Google Scholar]
- Ardelean, M.; Manea, F.; Vaszilcsin, N.; Pode, R. Electrochemical detection of sulphide in water/ seawater using nanostructured carbon–epoxy composite electrodes. Anal. Methods 2014, 6, 4775–4782. [Google Scholar] [CrossRef]
- Marken, F.; Gerrard, M.L.; Mellor, I.M.; Mortimer, R.J.; Madden, C.E.; Fletcher, S.; Holt, K.; Foord, J.S.; Dahm, F. Voltammetry at Carbon Nanofiber Electrodes. Electrochem. Commun. 2001, 3, 177–180. [Google Scholar] [CrossRef]
- Motoc, S.; Manea, F.; Orha, C.; Pop, A. Enhanced Electrochemical Response of Diclofenac at a Fullerene–Carbon Nanofiber Paste Electrode. Sensors 2019, 19, 1332. [Google Scholar] [CrossRef]
- Manea, F.; Motoc, S.; Pop, A.; Remes, A.; Schoonman, J. Silver-functionalized carbon nanofiber composite electrodes for ibuprofen detection. Nanoscale Res. Lett. 2012, 7, 33. [Google Scholar] [CrossRef]
- Arai, T.; Yanagida, M.; Konishi, Y.; Iwasaki, Y.; Sugihara, H.; Sayama, K. Efficient complete oxidation of acetaldehyde into CO2 over CuBi2O4/WO3 composite photocatalyst under visible and UV light irradiation. J. Phys. Chem. C 2007, 111, 7574–7577. [Google Scholar] [CrossRef]
- Najafian, H.; Manteghi, F.; Beshkar, F. Fabrication of nanocomposite photocatalyst CuBi2O removal of acid brown 14 as water pollutant under visible light irradiation. J. Hazard. Mater. 2019, 361, 210–220. [Google Scholar] [CrossRef] [PubMed]
- Berglund, S.P.; Abdi, F.F.; Bogdanoff, P.; Chernseddine, A.; Friedrich, D.; van de Krol, R. Comprehensive Evaluation of CuBi2O4 as a Photocathode Material for Photoelectrochemical Water Splitting. Chem. Mater. 2016, 28, 4231–4242. [Google Scholar] [CrossRef]
- Kang, D.; Hill, J.C.; Park, Y.; Choi, K.S. Photoelectrochemical Properties and Photostabilities of High Surface Area CuBi2O4 and Ag-Doped CuBi2O4 Photocathodes. Chem. Mater. 2016, 28, 4331–4340. [Google Scholar] [CrossRef]
- Wu, C.H.; Onno, E.; Lin, C.L. CuO nanoparticles decorated nano-dendrite-structured CuBi2O4 for highly sensitive and selective electrochemical detection of glucose. Electrochim. Acta 2017, 229, 129–140. [Google Scholar] [CrossRef]
- Van Nguyen, T.H.; Cheng-Hsien, W.; Shao-Yu, L.; Chia-Yu, L. CoOx nanoparticles modified CuBi2O4 submicron-sized square columns as a sensitive and selective sensing material for amperometric detection of glucose. J. Taiwan Inst. Chem. Eng. 2019, 95, 241–251. [Google Scholar] [CrossRef]
- Zhan, Y.; Lin, F.F.; Wei, T. Facile synthesis of Cu bismuthate nanosheets and sensitive electrochemical detection of tartaric acid. J. Alloys. Compd. 2017, 723, 1062–1069. [Google Scholar] [CrossRef]
- Guo, X.Y.; Mao, Y.J.; Yu, C.H.; Qiu, F.L.; Pei, L.Z.; Ling, X.Z.; Zhang, M.C.; Fan, C.G. Polythiopene/copper bismuthate nanosheet nanocomposites modified glassy carbon electrode for electrochemical detection of benzoic acid. Int. J. Electrochem. Sci. 2020, 15, 10463–10475. [Google Scholar] [CrossRef]
- Zhang, Y.C.; Yang, H.; Wang, W.P.; Zhang, H.M.; Li, R.S.; Wang, X.X.; Yu, R.C. A promising supercapacitor electrode material of CuBi2O4 hierarchical microspheres synthesized via a coprecipitation route. J. Alloys Compd. 2016, 684, 707–713. [Google Scholar] [CrossRef]
- Muthukrishnaraj, A.; Vadivel, S.; Made Joni, I.; Balasubramanian, N. Development of reduced graphene oxide/CuBi2O4 hybrid for enhanced photocatalytic behavior under visible light irradiation. Ceram. Int. 2015, 41, 6164–6168. [Google Scholar] [CrossRef]
- Xie, Y.; Zhang, Y.; Yang, G.; Liu, C.; Wang, J. Hydrothermal synthesis of CuBi2O4 nanosheets and their photocatalytic behavior under visible light irradiation. Mat. Lett. 2013, 107, 291–294. [Google Scholar] [CrossRef]
- Chen, X.; Dai, Y.; Guo, J. Hydrothermal synthesis of well-distributed spherical CuBi2O4 with enhanced photocatalytic activity under visible light irradiation. Mat. Lett. 2015, 161, 251–254. [Google Scholar] [CrossRef]
- Chen, X.Y.; Ma, C.; Li, X.X.; Chen, P.; Fang, J.G. Hierarchical Bi2CuO4 microspheres: Hydrothermal synthesis and catalytic performance in wet oxidation of methylene blue. Catal. Commun. 2009, 10, 1020–1024. [Google Scholar] [CrossRef]
- Hossain, M.K.; Samu, G.F.; Gandhan, K.S.; Santhanagopalan, J.; Ping Liu, C.; Rajeshwar, K. Solution combustion synthesis, characterization, and photocatalytic activity of CuBi2O4 and its nanocomposites with CuO and α-Bi2O3. J. Phys. Chem. C 2017, 121, 8252–8261. [Google Scholar] [CrossRef]
- Anandan, S.; Lee, G.; Yang, C.; Ashokkumar, M.; Wu, J.J. Sonochemical synthesis of Bi2CuO4 nanoparticles for catalytic degradation of nonylphenol ethoxylate. Chem. Eng. J. 2012, 183, 46–52. [Google Scholar] [CrossRef]
- Fagerquist, C.K.; Lightfield, A.R.; Lehotay, S.J. Confirmatory and quantitative analysis of beta-lactam antibiotics in bovine kidney tissue by dispersive solid-phase extraction and liquid chromatography tandem mass spectrometry. J. Anal. Chem. 2005, 77, 1473–1482. [Google Scholar] [CrossRef]
- Lima, D.R.; Lima, E.C.; Umpierres, C.S.; Thue, P.S.; El-Chaghaby, G.A.; da Silva, R.S.; Pavan, F.A.; Dias, S.L.; Biron, C. Removal of amoxicillin from simulated hospital effluents by adsorption using activated carbons prepared from capsules of cashew of Para. J. Environ. Sci. Pollut. Res. 2019, 26, 16396–16408. [Google Scholar] [CrossRef]
- European Commission. Commission Implementing Decision (EU) 2018/840 of 5 June 2018 establishing a watch list of substances for Union-wide monitoring in the field of water policy pursuant to Directive 2008/105/EC of the European Parliament and of the Council and repealing Commission Implementing Decision (EU) 2015/495. Off. J. Eur. Union 2018, L 141, 9–12. [Google Scholar]
- Matar, K.M. Simple and rapid LC method for the determination of amoxicillin in plasma. J. Chromatogr. 2006, 64, 255–360. [Google Scholar] [CrossRef]
- Pajchel, G.; Pawlowski, K.; Tyski, S. CE versus LC for simultaneous determination of amoxicillin/clavulanic acid and ampicillin/sulbactam in pharmaceutical formulations for injections. J. Pharm. Biom. Anal. 2002, 29, 75–81. [Google Scholar] [CrossRef]
- Hrioua, A.; Loudiki, A.; Farahi, A.; Bakasse, M.; Lahrich, S.; Saqrane, S.; El Mhammedi, M.A. Recent advances in electrochemical sensors for amoxicillin detection in biological and environmental samples. Bioelectrochemistry 2021, 137, 107687. [Google Scholar] [CrossRef] [PubMed]
- Rezaei, B.; Damiri, S. Electrochemistry and Adsorptive Stripping Voltammetric Determination of Amoxicillin on a Multiwalled Carbon Nanotubes Modified Glassy Carbon Electrode. Electroanalysis 2009, 21, 1577–1586. [Google Scholar] [CrossRef]
- Essousi, H.; Barhoumi, H.; Karastogianni, S.; Girousi, S.T. An Electrochemical Sensor Based on Reduced Graphene Oxide, Gold Nanoparticles and Molecular Imprinted Overoxidized Polypyrrole for Amoxicillin Determination. Electroanalysis 2020, 32, 1546–1558. [Google Scholar] [CrossRef]
- Karuwan, T.; Mantim, P.; Chaisuwan, P.; Wilairat, Y.; Einaga, O.; Chailapakul, L.; Suntornsuk, L. Pulsed Amperometry for Anti-fouling of Boron-doped Diamond in Electroanalysis of β-Agonists: Application to Flow Injection for Pharmaceutical Analysis. Sensors 2006, 6, 1837–1850. [Google Scholar] [CrossRef]
- Dumitru, R.; Manea, F.; Păcurariu, C.; Lupa, L.; Pop, A.; Cioablă, A.; Surdu, A.; Ianculescu, A. Synthesis, Characterization of Nanosized ZnCr2O4 and Its Photocatalytic Performance in the Degradation of Humic Acid from Drinking Water. Catalysts 2018, 8, 210. [Google Scholar] [CrossRef]
- Fujita, J.; Nakamoto, K.; Kobayshi, M. Infrared Spectra of Metallic Complexes. II. The Absorption Bands of Coördinated Water in Aquo Complexes. J. Am. Chem. Soc. 1956, 78, 3963–3965. [Google Scholar] [CrossRef]
- Dumitru, R.; Papa, F.; Balint, I.; Culita, D.; Munteanu, C.; Stanica, N.; Ianculescu, A.; Diamandescu, L.; Carp, O. Mesoporous cobalt ferrite: A rival of platinum catalyst in methane combustion reaction. Appl. Catal. A Gen. 2013, 467, 178–186. [Google Scholar] [CrossRef]
- Nakamoto, K. Infrared and Raman Spectra of Inorganic and Coordination Compounds; Wiley: New York, NY, USA, 1986; ISBN 0471010669. [Google Scholar]
- Dumitru, R.; Ianculescu, A.; Păcurariu, C.; Lupa, L.; Pop, A.; Vasile, B.; Surdu, A.; Manea, F. BiFeO3-synthesis, characterization and its photocatalytic activity towards doxorubicin degradation from water. Ceram. Intern. 2019, 45, 2789–2802. [Google Scholar] [CrossRef]
- Konopka, S.J.; McDuffie, B. Diffusion coefficients of ferri- and ferrocyanide ions in aqueous media, using twin-electrode thin-layer electrochemistry. Anal. Chem. 1970, 42, 1741–1746. [Google Scholar] [CrossRef]
- Vilas-Boas, A.; Valderrama, P.; Fontes, N.; Geraldo, D.; Bento, F. Evaluation of total polyphenol content of wines by means of voltammetric techniques: Cyclic voltammetry vs differential pulse voltammetry. Food Chem. 2019, 276, 719–725. [Google Scholar] [CrossRef]
- Farahani, K.Z.; Benvidi, A.; Rezaeinasab, M.; Abbasi, S.; Abdollahi-Alibeik, M.; Rezaeipoor-Anari, A.; Zarchi, M.A.K.; Abadi, S.S.A.D.M. Potentiality of PARAFAC approaches for simultaneous determination of N-acetylcysteine and acetaminophen based on the second-order data obtained from differential pulse voltammetry. Talanta 2019, 192, 439–447. [Google Scholar] [CrossRef] [PubMed]
- Pop, A.; Lung, S.; Orha, C.; Manea, F. Silver/graphene-modified boron doped diamond electrode for selective detection of carbaryl and paraquat from water. Int. J. Electrochem. Sci. 2018, 13, 2651–2660. [Google Scholar] [CrossRef]












| Calcination Temperature (°C) | 500 | 600 | 700 | |
|---|---|---|---|---|
| Phase composition |
|
|
| |
| CuBi2O4 structure | Tetragonal, P4/ncc | Tetragonal, P4/ncc | Tetragonal, P4/ncc | |
| Unit cell parameters | a (Å) | 8.501143 ± 0.000912 | 8.500031 ± 0.000566 | 8.496553 ± 0.000555 |
| b (Å) | 8.501143 ± 0.000912 | 8.500031 ± 0.000566 | 8.496553 ± 0.000555 | |
| c (Å) | 5.817769 ± 0.000817 | 5.827083 ± 0.000496 | 5.822091 ± 0.000478 | |
| α = β = γ (°) | 90 | 90 | 90 | |
| Unit cell volume, V (Å3) | 420.4469 | 421.0097 | 420.3050 | |
| Expected R, Rexp | 11.26198 | 10.68391 | 10.97338 | |
| R profile, Rp | 9.08664 | 6.68487 | 7.20859 | |
| Weighted R profile, Rwp | 13.50014 | 9.18731 | 9.57705 | |
| Goodness of fit, χ2 | 1.43697 | 0.73946 | 0.7617 | |
| Crystallite size, <D> (nm) | 29.79 ± 8.24 | 33.64 ± 5.65 | 54.00 ± 4.87 | |
| Internal strains, <S> (%) | 0.29 ± 0.04 | 0.26 ± 0.06 | 0.17 ± 0.08 | |
| Technique | Working Parameters | Detection Potential (V/SCE) | Sensitivity (µA µM−1 cm−2) | LOD (µM) | LOQ (µM) | R2 |
|---|---|---|---|---|---|---|
| CV | v = 0.05 V s−1 | +0.550 | 181 | 0.965 | 3.22 | 0.938 |
| −1.00 | 78.5 | 1.31 | 4.80 | 0.920 | ||
| DPV | SP = 0.02 V | +0.500 | 538 | 0.150 | 0.520 | 0.946 |
| MA = 0.10 V | ||||||
| V = 0.20 V s−1 | ||||||
| SWV | SP = 0.02 V | +0.500 | 653 | 1.60 | 5.33 | 0.945 |
| MA = 0.10 V | ||||||
| f = 20 Hz; v = 0.20 V s−1 | ||||||
| CA | +0.750 | 70.9 | 5.87 | 19.6 | 0.984 | |
| MPA | two potential levels, pulse time = 0.10 s | +0.750 | 503 | 2.43 | 8.12 | 0.983 |
| −1.00 | 183 | 4.74 | 15.8 | 0.937 |
Publisher’s Note: MDPI stays neutral with regard to jurisdictional claims in published maps and institutional affiliations. |
© 2021 by the authors. Licensee MDPI, Basel, Switzerland. This article is an open access article distributed under the terms and conditions of the Creative Commons Attribution (CC BY) license (http://creativecommons.org/licenses/by/4.0/).
Share and Cite
Dumitru, R.; Negrea, S.; Păcurariu, C.; Surdu, A.; Ianculescu, A.; Pop, A.; Manea, F. CuBi2O4 Synthesis, Characterization, and Application in Sensitive Amperometric/Voltammetric Detection of Amoxicillin in Aqueous Solutions. Nanomaterials 2021, 11, 740. https://doi.org/10.3390/nano11030740
Dumitru R, Negrea S, Păcurariu C, Surdu A, Ianculescu A, Pop A, Manea F. CuBi2O4 Synthesis, Characterization, and Application in Sensitive Amperometric/Voltammetric Detection of Amoxicillin in Aqueous Solutions. Nanomaterials. 2021; 11(3):740. https://doi.org/10.3390/nano11030740
Chicago/Turabian StyleDumitru (m.Vodă), Raluca, Sorina Negrea, Cornelia Păcurariu, Adrian Surdu, Adelina Ianculescu, Aniela Pop, and Florica Manea. 2021. "CuBi2O4 Synthesis, Characterization, and Application in Sensitive Amperometric/Voltammetric Detection of Amoxicillin in Aqueous Solutions" Nanomaterials 11, no. 3: 740. https://doi.org/10.3390/nano11030740
APA StyleDumitru, R., Negrea, S., Păcurariu, C., Surdu, A., Ianculescu, A., Pop, A., & Manea, F. (2021). CuBi2O4 Synthesis, Characterization, and Application in Sensitive Amperometric/Voltammetric Detection of Amoxicillin in Aqueous Solutions. Nanomaterials, 11(3), 740. https://doi.org/10.3390/nano11030740

