Modulation of Ferroelectric and Optical Properties of La/Co-Doped KNbO3 Ceramics
Abstract
:1. Introduction
2. Materials and Methods
3. Results and Discussion
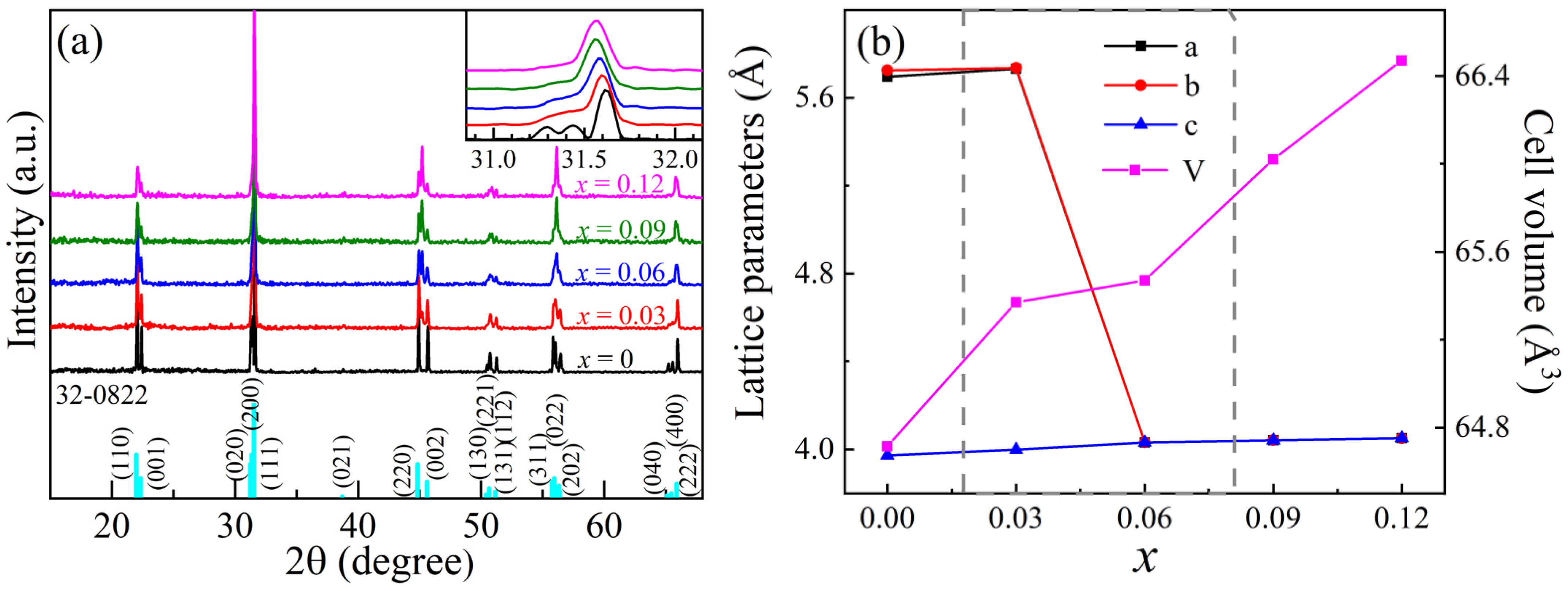
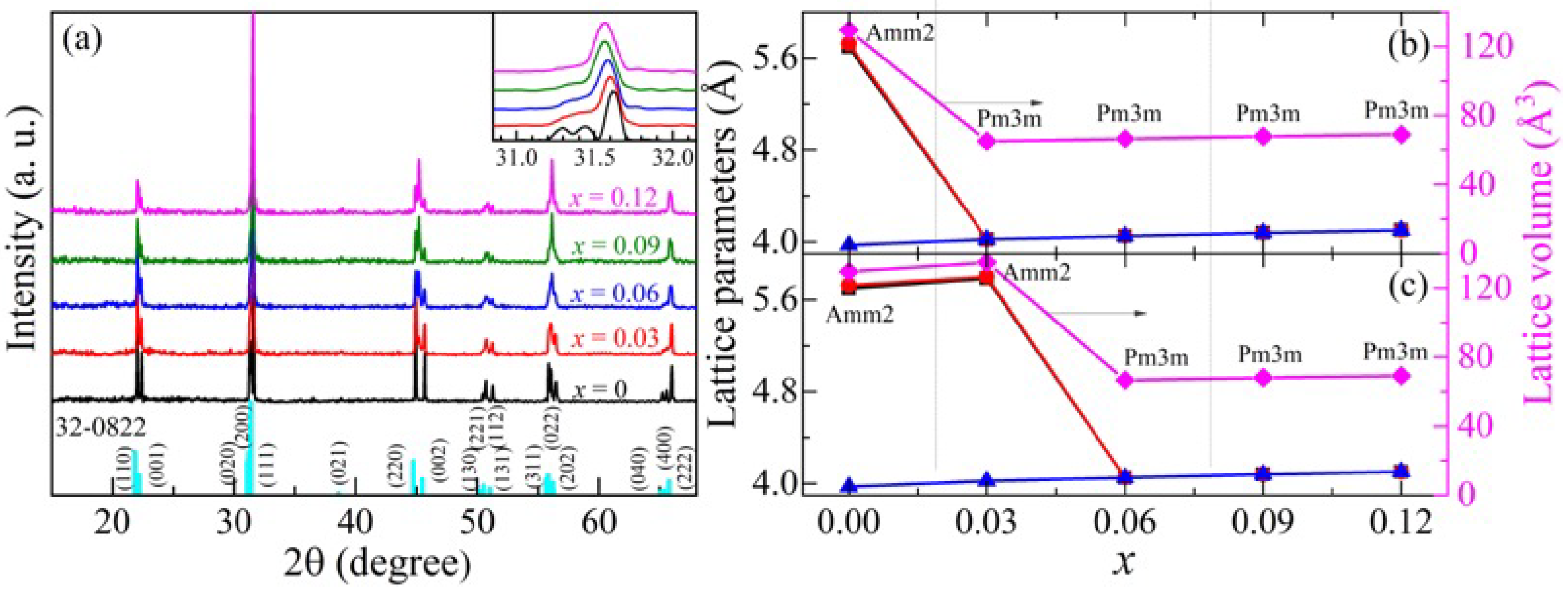
3.1. Structure
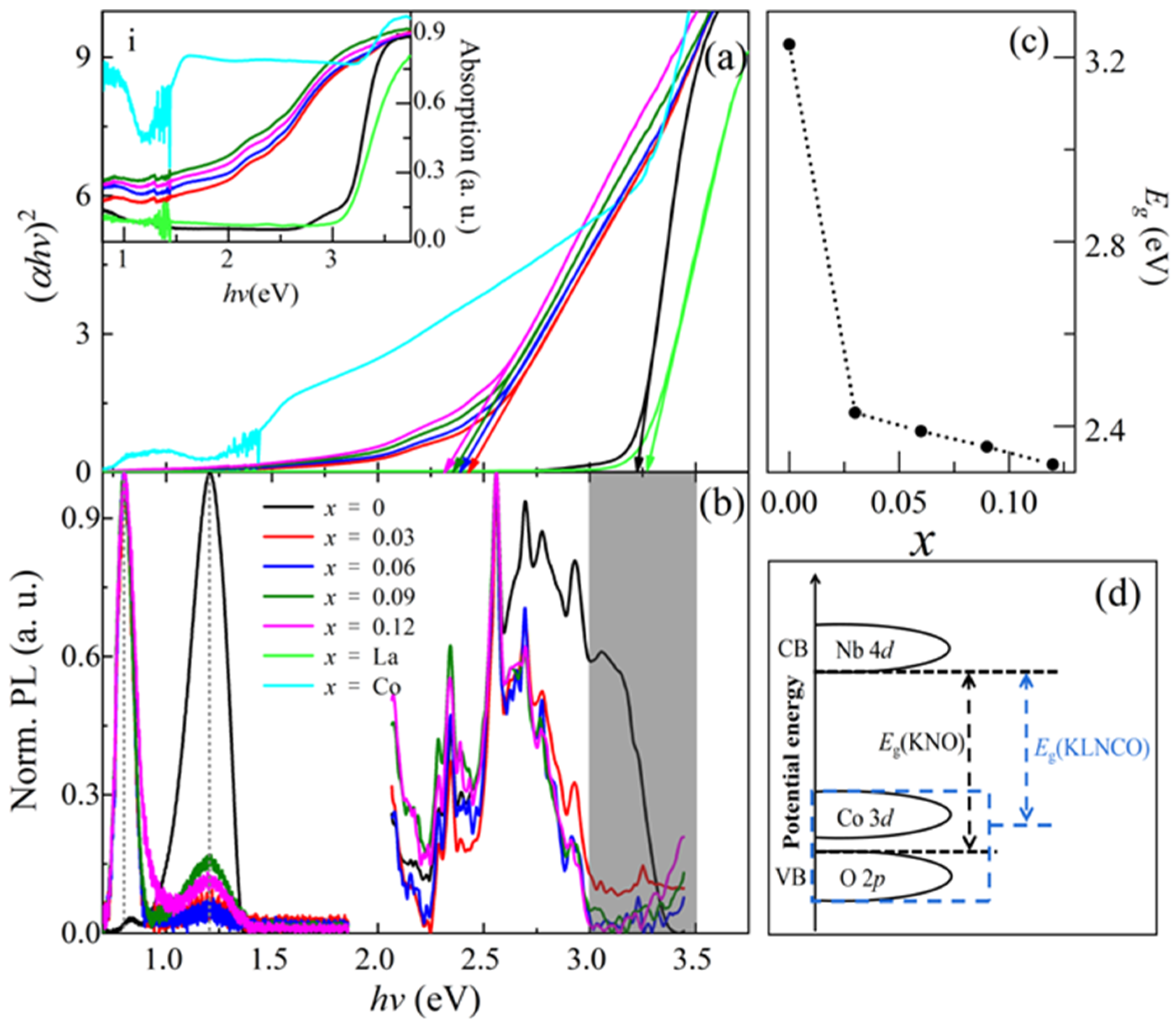
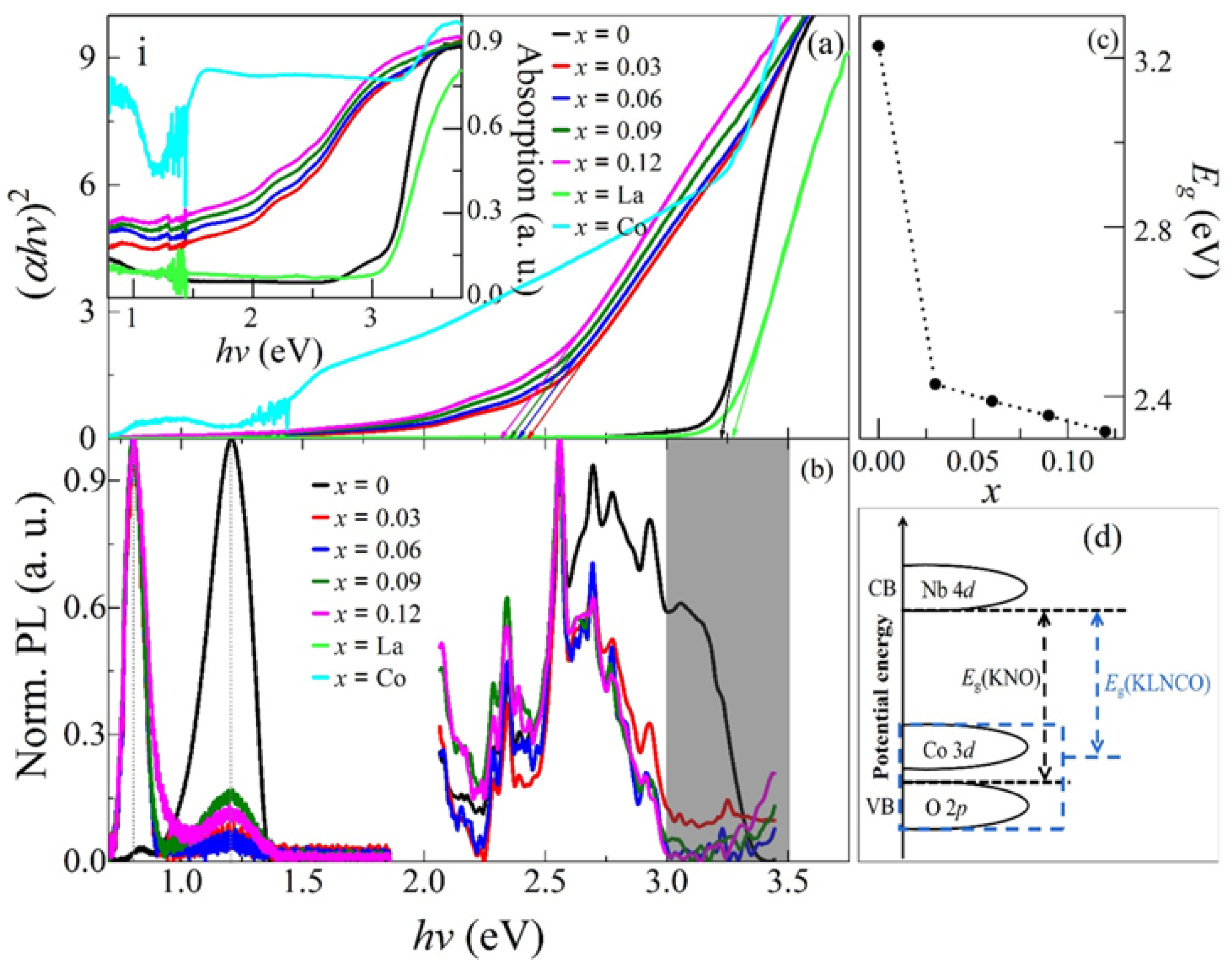
3.2. Optical and Ferroelectric Properties
4. Conclusions
Author Contributions
Funding
Data Availability Statement
Conflicts of Interest
References
- Choi, T.; Lee, S.; Choi, Y.J.; Kiryukhin, V.; Cheong, S.W. Switchable ferroelectric diode and photovoltaic effect in BiFeO3. Science 2009, 324, 63–66. [Google Scholar] [CrossRef]
- Bayart, A.; Szczepanski, F.; Blach, J.-F.; Rousseau, J.; Katelnikovas, A.; Saitzek, S. Upconversion luminescence properties and thermal quenching mechanisms in the layered perovskite La1.9Er0.1Ti2O7 towards an application as optical temperature sensor. J. Alloys Compd. 2018, 744, 516–527. [Google Scholar] [CrossRef]
- Shi, T.; Li, G.; Zhu, J. Compositional design strategy for high performance ferroelectric oxides with perovskite structure. Ceram. Int. 2017, 43, 2910–2917. [Google Scholar] [CrossRef]
- Canu, G.; Bottaro, G.; Buscaglia, M.T.; Costa, C.; Condurache, O.; Curecheriu, L.; Mitoseriu, L.; Buscaglia, V.; Armelao, L. Ferroelectric order driven Eu(3+) photoluminescence in BaZrxTi1−xO3 perovskite. Sci. Rep. 2019, 9, 6441. [Google Scholar] [CrossRef] [Green Version]
- Xu, W.; Li, H.; Zheng, Y.; Lei, W.; Wang, Z.; Cheng, Y.; Qi, R.; Peng, H.; Lin, H.; Yue, F.; et al. Atomic Insights into Ti Doping on the Stability Enhancement of Truncated Octahedron LiMn2O4 Nanoparticles. Nanomaterials 2021, 11, 508. [Google Scholar] [CrossRef]
- Chen, Y.; Ma, W.; Tan, C.; Luo, M.; Zhou, W.; Yao, N.; Wang, H.; Zhang, L.; Xu, T.; Tong, T.; et al. Broadband Bi2O2 Se Photodetectors from Infrared to Terahertz. Adv. Funct. Mater. 2021, 31, 2009554. [Google Scholar] [CrossRef]
- Raja, S.; Babu, R.R.; Ramamurthi, K. Structural and ferromagnetic properties of KNbO3 microrods. AIP Conf. Proc. 2017, 1832, 140045. [Google Scholar] [CrossRef]
- Wang, T.; Deng, H.; Meng, X.; Cao, H.; Zhou, W.; Shen, P.; Zhang, Y.; Yang, P.; Chu, J. Tunable polarization and magnetization at room-temperature in narrow bandgap Aurivillius Bi6Fe2−xCox/2Nix/2Ti3O18. Ceram. Int. 2017, 43, 8792–8799. [Google Scholar] [CrossRef]
- Manikandan, M.; Saravana Kumar, K.; Venkateswaran, C. Mn doping instigated multiferroicity and magneto-dielectric coupling in KNbO3. J. Appl. Phys. 2015, 118, 234105. [Google Scholar] [CrossRef]
- Raja, S.; Ramesh Babu, R.; Ramamurthi, K.; Sethuraman, K. Influence of Cr-doping on structural, morphological, optical, dielectric and magnetic properties of KNbO3 ceramics. Mater. Chem. Phys. 2018, 213, 130–139. [Google Scholar] [CrossRef]
- Wu, G.; Wang, X.; Chen, Y.; Wu, S.; Shen, H.; Lin, T.; Ge, J.; Hu, W.; Zhang, S.-T.; Meng, X.J.; et al. Two-dimensional series connected photovoltaic cells defined by ferroelectric domains. Appl. Phys. Lett. 2020, 116, 073101. [Google Scholar] [CrossRef]
- Gao, A.; Liu, E.; Long, M.; Zhou, W.; Wang, Y.; Xia, T.; Hu, W.; Wang, B.; Miao, F. Gate-tunable rectification inversion and photovoltaic detection in graphene/WSe2 heterostructures. Appl. Phys. Lett. 2016, 108, 223501. [Google Scholar] [CrossRef]
- Raja, S.; Ramesh Babu, R.; Ramamurthi, K.; Moorthy Babu, S. Room temperature ferromagnetic behavior, linear and nonlinear optical properties of KNbO3 microrods. Ceram. Int. 2018, 44, 3297–3306. [Google Scholar] [CrossRef]
- Zhou, W.; Deng, H.; Yang, P.; Chu, J. Structural phase transition, narrow band gap, and room-temperature ferromagnetism in [KNbO3]1−x[BaNi1/2Nb1/2O3−δ]x ferroelectrics. Appl. Phys. Lett. 2014, 105, 111904. [Google Scholar] [CrossRef]
- Grinberg, I.; West, D.V.; Torres, M.; Gou, G.; Stein, D.M.; Wu, L.; Chen, G.; Gallo, E.M.; Akbashev, A.R.; Davies, P.K.; et al. Perovskite oxides for visible-light-absorbing ferroelectric and photovoltaic materials. Nature 2013, 503, 509–512. [Google Scholar] [CrossRef]
- Si, S.; Deng, H.; Zhou, W.; Wang, T.; Yang, P.; Chu, J. Modified structure and optical band-gap in perovskite ferroelectric (1-x)KNbO3-xBaCo1/3Nb2/3O3 ceramics. Ceram. Int. 2018, 44, 14638–14644. [Google Scholar] [CrossRef]
- Shen, Z.X.; Hu, Z.P.; Chong, T.C.; Beh, C.Y.; Tang, S.H.; Kuok, M.H. Pressure-induced strong mode coupling and phase transitions in KNbO3. Phys. Rev. B Condens. Matter 1995, 52, 3976–3980. [Google Scholar] [CrossRef]
- Pascual-Gonzalez, C.; Schileo, G.; Feteira, A. Band gap narrowing in ferroelectric KNbO3-Bi(Yb,Me)O3 (Me = Fe or Mn) ceramics. Appl. Phys. Lett. 2016, 109, 132902. [Google Scholar] [CrossRef] [Green Version]
- Luisman, L.; Feteira, A.; Reichmann, K. Weak-relaxor behaviour in Bi/Yb-doped KNbO3 ceramics. Appl. Phys. Lett. 2011, 99, 192901. [Google Scholar] [CrossRef]
- Bartasyte, A.; Kreisel, J.; Peng, W.; Guilloux-Viry, M. Temperature-dependent Raman scattering of KTa1−xNbxO3 thin films. Appl. Phys. Lett. 2010, 96, 262903. [Google Scholar] [CrossRef] [Green Version]
- MOSS, T.S. Theory of the Spectral Distribution of Recombination Radiation from InSb. Proc. Phys. Soc. Sect. B 1957, 70, 247–250. [Google Scholar] [CrossRef]
- Bortolani, F.; del Campo, A.; Fernandez, J.F.; Clemens, F.; Rubio-Marcos, F. High Strain in (K,Na)NbO3-Based Lead-Free Piezoelectric Fibers. Chem. Mater. 2014, 26, 3838–3848. [Google Scholar] [CrossRef]
- Yu, L.-M.; Wang, J.-M.; Qu, P.; Liu, B.-X.; Luo, T.-T.; Liu, L.-M.; Xin, Y.-R.; Hao, X.-Q.; Song, M.-P. [KNbO3]1−x[BaCo1/2Nb1/2O3−δ]x inorganic perovskite oxide coupled with TiO2 nanorods photoelectrode: Toward efficient enhancement of photoelectrochemical properties. Mater. Chem. Phys. 2021, 264, 124426. [Google Scholar] [CrossRef]
- Kar, S.K.; Swain, S.; Sonia; Kumar, P. High dielectric constant and low optical band gap studies of La-modified Ba(Fe0.5Nb0.5)O3 ceramics. Mater. Chem. Phys. 2015, 155, 171–177. [Google Scholar] [CrossRef]
- Benedek, N.A.; Fennie, C.J. Why Are There So Few Perovskite Ferroelectrics? J. Phys. Chem. C 2013, 117, 13339–13349. [Google Scholar] [CrossRef] [Green Version]
- Habib, M.; Lee, M.H.; Kim, D.J.; Akram, F.; Choi, H.I.; Kim, M.-H.; Kim, W.-J.; Song, T.K. Phase diagram for Bi-site La-doped BiFeO3BaTiO3 lead-free piezoelectric ceramics. J. Mater. 2021, 7, 40–50. [Google Scholar] [CrossRef]





Publisher’s Note: MDPI stays neutral with regard to jurisdictional claims in published maps and institutional affiliations. |
© 2021 by the authors. Licensee MDPI, Basel, Switzerland. This article is an open access article distributed under the terms and conditions of the Creative Commons Attribution (CC BY) license (https://creativecommons.org/licenses/by/4.0/).
Share and Cite
Zhang, X.; Qi, R.; Dong, S.; Yang, S.; Jing, C.; Sun, L.; Chen, Y.; Hong, X.; Yang, P.; Yue, F.; et al. Modulation of Ferroelectric and Optical Properties of La/Co-Doped KNbO3 Ceramics. Nanomaterials 2021, 11, 2273. https://doi.org/10.3390/nano11092273
Zhang X, Qi R, Dong S, Yang S, Jing C, Sun L, Chen Y, Hong X, Yang P, Yue F, et al. Modulation of Ferroelectric and Optical Properties of La/Co-Doped KNbO3 Ceramics. Nanomaterials. 2021; 11(9):2273. https://doi.org/10.3390/nano11092273
Chicago/Turabian StyleZhang, Xue, Ruijuan Qi, Shangwei Dong, Shuai Yang, Chengbin Jing, Lin Sun, Ye Chen, Xuekun Hong, Pingxiong Yang, Fangyu Yue, and et al. 2021. "Modulation of Ferroelectric and Optical Properties of La/Co-Doped KNbO3 Ceramics" Nanomaterials 11, no. 9: 2273. https://doi.org/10.3390/nano11092273
APA StyleZhang, X., Qi, R., Dong, S., Yang, S., Jing, C., Sun, L., Chen, Y., Hong, X., Yang, P., Yue, F., & Chu, J. (2021). Modulation of Ferroelectric and Optical Properties of La/Co-Doped KNbO3 Ceramics. Nanomaterials, 11(9), 2273. https://doi.org/10.3390/nano11092273
