Photocatalytic Degradation of Dissolved Phenol by Immobilized Zinc Oxide Nanoparticles: Batch Studies, Continuous Flow Experiments, and Numerical Modeling
Abstract
:1. Introduction
2. Materials and Methods
2.1. Materials and Chemicals
2.2. Immobilization of ZnO on Duranit Balls
2.3. Dnit-ZnO-Photocatalyst Characterization
2.4. Dnit-ZnO Photocatalytic Activity
2.4.1. Batch Photocatalysis Tests
2.4.2. Mechanism of Phenol Degradation
2.4.3. Continuous Flow Photocatalysis Tests
2.4.4. Background Experiments
2.4.5. Mathematical Modeling and Numerical Simulation
3. Results and Discussion
3.1. Morphological and Optical Properties
3.2. Batch Tests of Photocatalysis
3.2.1. Sorption of Phenol
3.2.2. Photolysis
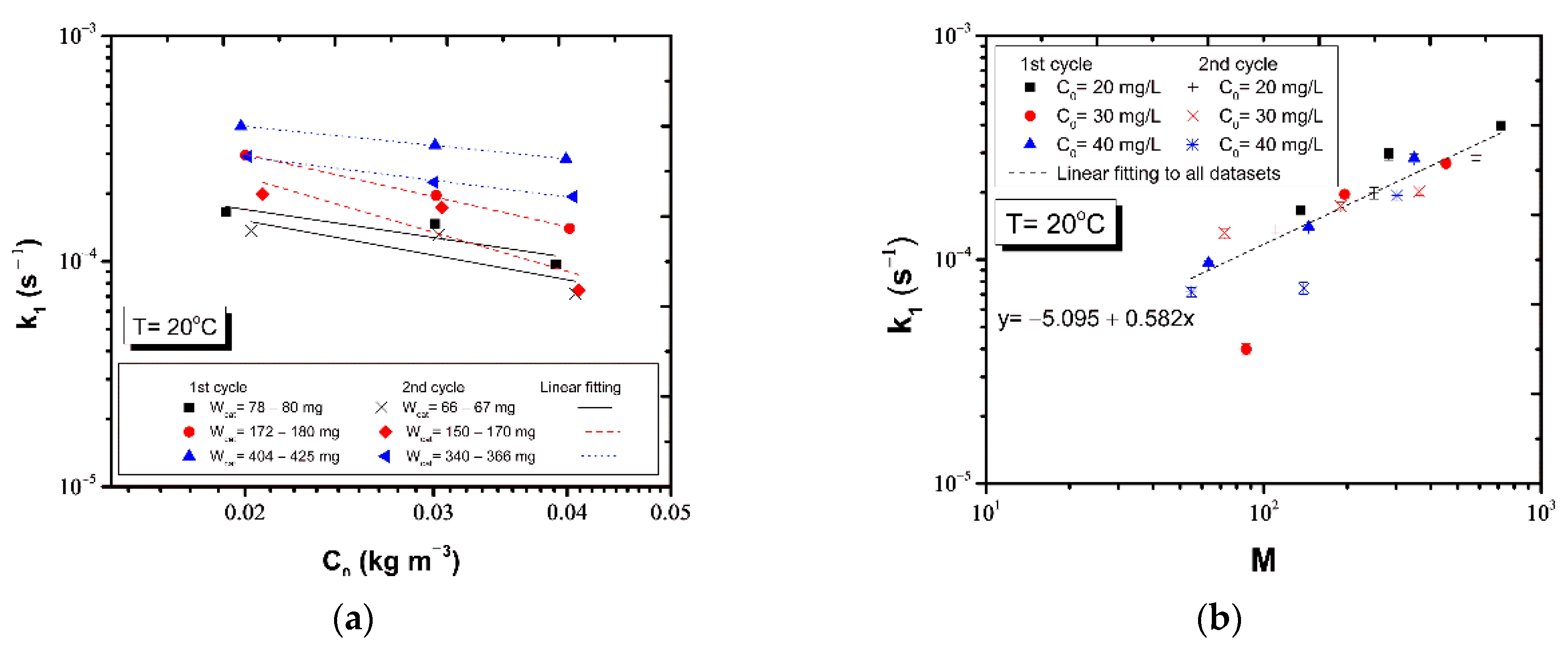
3.2.3. Parametric Analysis of Batch Tests
3.2.4. Mechanism of Phenol Degradation
3.3. Continuous Flow Tests of Photocatalysis
4. Conclusions
- ZnO nanorods of diameter 38–50 nm, length 0.15–0.25 μm were attached on the surface of Duranit balls by creating uniform coatings of thickness 4–5 μm.
- ZnO nanoparticles immobilized on Duranit beads were proven very efficient toward the photodegradation of phenol.
- Significant detachment of ZnO might occur under the intense stirring caused by injected air, while the loss of immobilized ZnO is insignificant under continuous flow conditions.
- Comparable values of kinetic constant were obtained from tests conducted in batch and continuous modes.
- The immobilized ZnO photocatalysts maintain their performance even after their reuse for several cycles.
- The overall phenol photo-degradation process on immobilized ZnO catalyst is an m-order process with m < 1.
- The phenol photo-degradation mechanism agrees with the general scheme of two parallel pathways with catechol and hydroquinone as intermediates transformed into ortho- and para- benzoquinones, the oxidation of which is quite slow.
- The pseudo-first order kinetic constant resulting from batch tests scales with the ratio of catalyst mass to initial phenol mass, M, according to a power law with an exponent between 0.4 and 0.7, depending on the temperature and catalyst ageing.
- The pseudo-first order kinetic constant resulting from continuous flow tests scales with the Peclet number according to a power law with an exponent equal to 0.24.
Author Contributions
Funding
Data Availability Statement
Acknowledgments
Conflicts of Interest
Appendix A




References
- Masindi, V.; Muedi, K.L. Environmental Contamination by Heavy Metals. In Heavy Metals; InTech Open: London, UK, 2018. [Google Scholar]
- Environmental Protection Agency (EPA). Toxicological Review of phenol. EPA/635/R-02/006, CAS No. 108-95-2, Washington DC, USA, September 2002. Available online: https://cfpub.epa.gov/ncea/iris2/chemicalLanding.cfm?substance_nmbr=88 (accessed on 26 December 2021).
- Afsharnia, M.; Saeidi, M.; Zarei, A.; Narooie, M.R.; Biglari, H. Phenol Removal from Aqueous Environment by Adsorption onto Pomegranate Peel Carbon. Electron. Physician 2016, 8, 3248–3256. [Google Scholar] [CrossRef] [PubMed] [Green Version]
- Abbassian, K.; Kargari, A.; Kaghazchi, T. Phenol Removal from Aqueous Solutions by a Novel Industrial Solvent. Chem. Eng. Commun. 2015, 202, 408–413. [Google Scholar] [CrossRef]
- Lo Balbo, A.; Hurst, J.; Campo Dall’Orto, V.; Rezzano, I. Solid-phase extraction of phenolic compounds with poly[metalloprotoporphyrin IX]. J. Appl. Polym. Sci. 2001, 81, 3038–3043. [Google Scholar] [CrossRef]
- Yadav, A.; Teja, A.K.; Verma, N. Removal of phenol from water by catalytic wet air oxidation using carbon bead-supported iron nanoparticle-containing carbon nanofibers in an especially configured reactor. J. Environ. Chem. Eng. 2016, 4, 1504–1513. [Google Scholar] [CrossRef]
- Abou-Taleb, E.M.; Hellal, M.S.; Kamal, K.H. Electro-oxidation of phenol in petroleum wastewater using a novel pilot-scale electrochemical cell with graphite and stainless-steel electrodes. Water Environ. J. 2021, 35, 259–268. [Google Scholar] [CrossRef]
- Van Aken, P.; Lambert, N.; Van den Broeck, R.; Degrève, J.; Dewil, R. Advances in ozonation and biodegradation processes to enhance chlorophenol abatement in multisubstrate wastewaters: A review. Environ. Sci. Water Res. Technol. 2019, 5, 444–481. [Google Scholar] [CrossRef]
- Khatri, I.; Singh, S.; Garg, A. Performance of electro-Fenton process for phenol removal using Iron electrodes and activated carbon. J. Environ. Chem. Eng. 2018, 6, 7368–7376. [Google Scholar] [CrossRef]
- Agarwal, P.; Gupta, R.; Agarwal, N. A Review on Enzymatic Treatment of Phenols in Wastewater. J. Biotechnol. Biomater. 2016, 06. [Google Scholar] [CrossRef]
- Nickheslat, A.; Amin, M.M.; Izanloo, H.; Fatehizadeh, A.; Mousavi, S.M. Phenol Photocatalytic Degradation by Advanced Oxidation Process under Ultraviolet Radiation Using Titanium Dioxide. J. Environ. Public Health 2013, 2013, 1–9. [Google Scholar] [CrossRef] [Green Version]
- Villegas, L.G.C.; Mashhadi, N.; Chen, M.; Mukherjee, D.; Taylor, K.E.; Biswas, N. A Short Review of Techniques for Phenol Removal from Wastewater. Curr. Pollut. Rep. 2016, 2, 157–167. [Google Scholar] [CrossRef] [Green Version]
- Vaiano, V.; Sannino, D.; Sacco, O. Heterogeneous photocatalysis. In Nanomaterials for the Detection and Removal of Wastewater Pollutants; Elsevier: Amsterdam, The Netherlands, 2020; pp. 285–301. [Google Scholar]
- Mustapha, S.; Ndamitso, M.M.; Abdulkareem, A.S.; Tijani, J.O.; Shuaib, D.T.; Ajala, A.O.; Mohammed, A.K. Application of TiO2 and ZnO nanoparticles immobilized on clay in wastewater treatment: A review. Appl. Water Sci. 2020, 10, 49. [Google Scholar] [CrossRef] [Green Version]
- Levchuk, I.; Guillard, C.; Dappozze, F.; Parola, S.; Leonard, D.; Sillanpää, M. Photocatalytic activity of TiO2 films immobilized on aluminum foam by atomic layer deposition technique. J. Photochem. Photobiol. A Chem. 2016, 328, 16–23. [Google Scholar] [CrossRef]
- Allé, P.H.; Fanou, G.D.; Robert, D.; Adouby, K.; Drogui, P. Photocatalytic degradation of Rhodamine B dye with TiO2 immobilized on SiC foam using full factorial design. Appl. Water Sci. 2020, 10, 207. [Google Scholar] [CrossRef]
- Ahmed, S.N.; Inam, A.; Haider, W. γ-Fe2O3 photocatalyst immobilized on a porous Ni substrate for recyclable solar photocatalysis. J. Nanoparticle Res. 2019, 21, 238. [Google Scholar] [CrossRef]
- Gemeay, A.; El-Halwagy, M. Immobilization Impact of Photocatalysts onto Graphene Oxide. In Graphene Oxide—Applications and Opportunities; InTech Open: London, UK, 2018. [Google Scholar]
- Karavasilis, M.V.; Tsakiroglou, C.D. Use of immobilized zinc oxide photocatalysts for wastewater treatment: Application to methylene blue degradation. Can. J. Chem. Eng. 2021, 1–18. [Google Scholar] [CrossRef]
- Dijkstra, M.F.; Michorius, A.; Buwalda, H.; Panneman, H.; Winkelman, J.G.; Beenackers, A.A.C. Comparison of the efficiency of immobilized and suspended systems in photocatalytic degradation. Catal. Today 2001, 66, 487–494. [Google Scholar] [CrossRef]
- Turchi, C.S.; Ollis, D.F. Comment. Photocatalytic reactor design: An example of mass-transfer limitations with an immobilized catalyst. J. Phys. Chem. 1988, 92, 6852–6853. [Google Scholar] [CrossRef]
- Wang, M.; Zhou, Y.; Zhang, Y.; Hahn, S.H.; Kim, E.J. From Zn(OH)2 to ZnO: A study on the mechanism of phase transformation. CrystEngComm 2011, 13, 6024. [Google Scholar] [CrossRef]
- Environmental Protection Agency. Method 420.1: Phenolics (Spectrophotometric, Manual 4 AAP with Distillation); No. 32730; Environmental Protection Agency: Washington, DC, USA, 1978.
- Stewart, W.E.; Caracotsios, M. Computer-Aided Modelling of Reactive Systems; Wiley-Interscience: Hoboken, NJ, USA, 2008. [Google Scholar]
- Coulter, J.B.; Birnie, D.P. Assessing Tauc Plot Slope Quantification: ZnO Thin Films as a Model System. Phys. Status Solidi 2018, 255, 1700393. [Google Scholar] [CrossRef]
- Xiong, G.; Pal, U.; Serrano, J.G. Correlations among size, defects, and photoluminescence in ZnO nanoparticles. J. Appl. Phys. 2007, 101, 024317. [Google Scholar] [CrossRef] [Green Version]
- Puech, P.; Kandara, M.; Paredes, G.; Moulin, L.; Weiss-Hortala, E.; Kundu, A.; Ratel-Ramond, N.; Plewa, J.-M.; Pellenq, R.; Monthioux, M. Analyzing the Raman Spectra of Graphenic Carbon Materials from Kerogens to Nanotubes: What Type of Information Can Be Extracted from Defect Bands? C J. Carbon Res. 2019, 5, 69. [Google Scholar] [CrossRef] [Green Version]
- Jay, L.; Chirwa, E. Pathway Analysis of Phenol Degradation by UV/TiO2 Photocatalysis Utilising the C-13 Isotopic Labelling Technique. Chem. Eng. Trans. 2018, 70, 181–186. [Google Scholar] [CrossRef]
- Laxman, K.; Rashdi, M.A.; Sabahi, J.A.; Abri, M.A.; Dutta, J. Supported versus colloidal zinc oxide for advanced oxidation processes. Appl. Surf. Sci. 2017, 411, 285–290. [Google Scholar] [CrossRef]
- Talrose, V.; Yermakov, A.N.; Leskin, A.N.; Usov, A.A.; Goncharova, A.A.; Messineva, N.A.; Usova, N.V.; Efimkina, M.V.; Aristova, V.E. UV/Visible Spectra. In UV/Vis Database User’s Guide; Mallard, W.G., Linstrom, P.J., Eds.; National Institute of Standards and Technology: Gaithersburg, MD, USA, 2021. [Google Scholar]
- Ollis, D.F. Kinetics of Photocatalyzed Reactions: Five Lessons Learned. Front. Chem. 2018, 6, 378. [Google Scholar] [CrossRef] [PubMed] [Green Version]

















| Property | PMMA | STST |
|---|---|---|
| 0.42 | 0.42 | |
| (m2) | 8.042 × 10−4 | 1.649 × 10−3 |
| (m) | 0.189 | 0.324 |
| (mm) | 3.0–5.0 | 3.0–5.0 |
| 1.5 | 1.5 | |
| (m) | 1.0 × 10−2 | 1.0 × 10−2 |
| (m2 s−1) | 9.1 × 10−10 | 9.1 × 10−10 |
| (mg/L) | 20.0 | 20.0 |
| Wcat (g) | 4.306 | 8.645 |
| Wsubs (g) | 158.77 | 467.19 |
| (mL/min) | 2, 10, 50 | 2, 10, 50 |
| (mL) | 105, 210, 310 | 50, 250, 750 |
| Initial Phenol Concentration | 20 mg/L | 30 mg/L | 40 mg/L | |||||||
|---|---|---|---|---|---|---|---|---|---|---|
| Mass of Deposited ZnO Photocatalyst (mg) | ||||||||||
| Mass of Duranit Balls (g) | ~5 | ~10 | ~20 | ~5 | ~10 | ~20 | ~5 | ~10 | ~20 | |
| Temperature | 20 °C | 78 | 172 | 425 | 78 | 182 | 404 | 78 | 182 | 416 |
| 25 °C | 80 | 170 | 285 | 80 | 170 | 248 | 80 | 148 | 290 | |
| 30 °C | 167 | 299 | 287 | 167 | 299 | 285 | 185 | 335 | 340 | |
| Initial Phenol Concentration | 20 mg/L | 30 mg/L | 40 mg/L | |||||||
|---|---|---|---|---|---|---|---|---|---|---|
| Mass of Deposited ZnO Photocatalyst (mg) | ||||||||||
| Mass of Duranit balls (g) | ~5 | ~10 | ~20 | ~5 | ~10 | ~20 | ~5 | ~10 | ~20 | |
| Temperature | 20 °C | 67.3 | 149.8 | 343.3 | 65.9 | 169.3 | 327.3 | 66.8 | 169.8 | 366 |
| 25 °C | 74.1 | 142 | 208.7 | 75.7 | 145.5 | 219.4 | 73.8 | 124.6 | 248.7 | |
| 30 °C | 142.7 | 233.4 | 249.7 | 149.1 | 242.2 | 259.3 | 163.4 | 311 | 307.4 | |
| 20 °C | 25 °C | 30 °C | ||||
|---|---|---|---|---|---|---|
| Cycle | Catalyst Mass (mg) | m–1 | Catalyst Mass (mg) | m–1 | Catalyst Mass (mg) | m–1 |
| 1st | 78–80 | –0.70724 | 79–80 | −0.24838 | 167–185 | −0.39258 |
| 2nd | 66–67 | −0.87037 | 74–76 | −0.48008 | 143–163 | −0.66167 |
| 1st | 172–182 | −1.06729 | 150–170 | −0.96533 | 300–335 | −0.61697 |
| 2nd | 150–170 | −1.3849 | 125–142 | −1.51594 | 233–311 | −0.26766 |
| 1st | 404–425 | −0.47856 | 250–290 | −0.7849 | 290–340 | −0.82332 |
| 2nd | 340–366 | −0.59051 | 209–250 | −2.79594 | 250–307 | −0.51947 |
| Reactor Type | Q (mL/min) | VT (mL) | M | τTR | M’ | Pe | Kinetic Constant, kr (s−1) | Da |
|---|---|---|---|---|---|---|---|---|
| PMMA | 2.0 | 105 | 3.59 × 103 | 1.75 | 1.30 × 103 | 1.84 × 104 | (0.985 ± 0.111) × 10−4 | 0.1886 |
| 2.0 | 210 | 3.50 | 0.79 × 103 | 1.84 × 104 | (1.189 ± 0.249) × 10−4 | 0.2277 | ||
| 2.0 | 310 | 5.16 | 0.58 × 103 | 1.84 × 104 | (0.929 ± 0.218) × 10−4 | 0.1779 | ||
| 10.0 | 105 | 1.75 | 1.30 × 103 | 9.22 × 104 | (1.555 ± 0.143) × 10−4 | 0.0595 | ||
| 50.0 | 105 | 1.75 | 1.30 × 103 | 46.1 × 104 | (2.115 ± 0.159) × 10−4 | 0.0162 | ||
| STST | 2.0 | 50 | 1.92 × 103 | 0.22 | 1.57 × 103 | 1.69 × 104 | (1.239 ± 0.239) × 10−4 | 0.834 |
| 2.0 | 250 | 1.11 | 0.91 × 103 | 1.69 × 104 | (0.612 ± 0.075) × 10−4 | 0.412 | ||
| 2.0 | 750 | 3.33 | 0.44 × 103 | 1.69 × 104 | (0.452 ± 0.144) × 10−4 | 0.305 | ||
| 10.0 | 250 | 1.11 | 0.91 × 103 | 8.46 × 104 | (1.087 ± 0.147) × 10−4 | 0.146 | ||
| 50.0 | 250 | 1.11 | 0.91 × 103 | 42.3 × 104 | (1.324 ± 0.153) × 10−4 | 0.035 |
Publisher’s Note: MDPI stays neutral with regard to jurisdictional claims in published maps and institutional affiliations. |
© 2021 by the authors. Licensee MDPI, Basel, Switzerland. This article is an open access article distributed under the terms and conditions of the Creative Commons Attribution (CC BY) license (https://creativecommons.org/licenses/by/4.0/).
Share and Cite
Karavasilis, M.V.; Theodoropoulou, M.A.; Tsakiroglou, C.D. Photocatalytic Degradation of Dissolved Phenol by Immobilized Zinc Oxide Nanoparticles: Batch Studies, Continuous Flow Experiments, and Numerical Modeling. Nanomaterials 2022, 12, 69. https://doi.org/10.3390/nano12010069
Karavasilis MV, Theodoropoulou MA, Tsakiroglou CD. Photocatalytic Degradation of Dissolved Phenol by Immobilized Zinc Oxide Nanoparticles: Batch Studies, Continuous Flow Experiments, and Numerical Modeling. Nanomaterials. 2022; 12(1):69. https://doi.org/10.3390/nano12010069
Chicago/Turabian StyleKaravasilis, Michalis V., Maria A. Theodoropoulou, and Christos D. Tsakiroglou. 2022. "Photocatalytic Degradation of Dissolved Phenol by Immobilized Zinc Oxide Nanoparticles: Batch Studies, Continuous Flow Experiments, and Numerical Modeling" Nanomaterials 12, no. 1: 69. https://doi.org/10.3390/nano12010069
APA StyleKaravasilis, M. V., Theodoropoulou, M. A., & Tsakiroglou, C. D. (2022). Photocatalytic Degradation of Dissolved Phenol by Immobilized Zinc Oxide Nanoparticles: Batch Studies, Continuous Flow Experiments, and Numerical Modeling. Nanomaterials, 12(1), 69. https://doi.org/10.3390/nano12010069

