Thermally Evaporated Copper Iodide Hole-Transporter for Stable CdS/CdTe Thin-Film Solar Cells
Abstract
:1. Introduction
2. Materials and Methods
3. Results and Discussion
3.1. Structural Characterization
3.2. Opto-Electrical Characterization
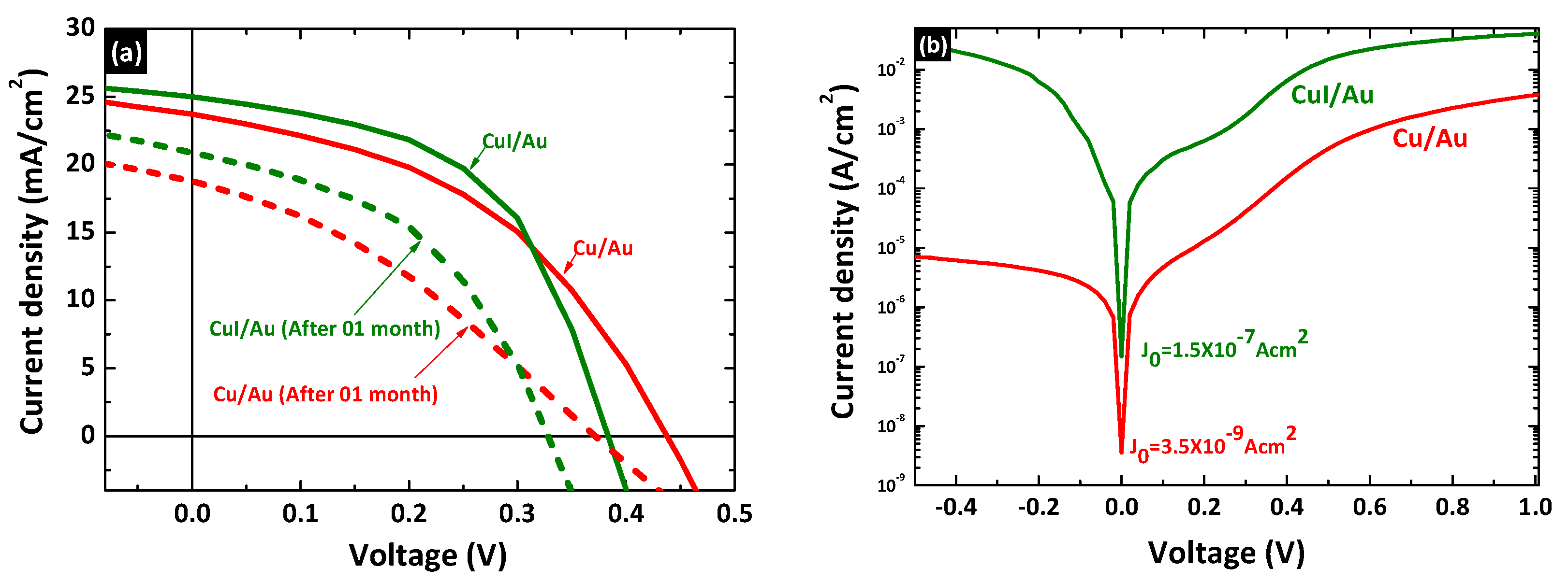
3.3. Current-Voltage (J–V) Characteristics of CdS/CdTe Thin-Film Solar Cells
3.4. Influence of Fabrication Conditions on J–V Characteristics of CdS/CdTe/CuI/Au Device
4. Conclusions
Supplementary Materials
Author Contributions
Funding
Institutional Review Board Statement
Informed Consent Statement
Data Availability Statement
Acknowledgments
Conflicts of Interest
References
- NREL Photovoltaic Research: Best Research Cell Efficiency Char. Available online: https://www.nrel.gov/pv/cell-efficiency.html (accessed on 9 June 2022).
- First Solar Series 6 Advanced Thin Film Solar Technology. Available online: https://www.firstsolar.com/-/media/First-Solar/Technical-Documents/Series-6-CuRe/Series-6-CuRe-Datasheet.ashx?la=en-Emea (accessed on 9 June 2022).
- Raj, R.; Gupta, H.; Purohit, L.P. Performance of V2O5 Hole Selective Layer in CdS/CdTe Heterostructure Solar Cell. J. Alloys Compd. 2022, 907, 164408. [Google Scholar] [CrossRef]
- Ch, T.; Anwer, S.; Rouf, S.A.; Nawaz, A.; Javed, T.; Munir, T.; Zheng, L.; Deliang, W. Back Contact Buffer Layer of WO3 Nanosheets in Thin-Film CdTe Solar Cell. J. Alloys Compd. 2021, 887, 161367. [Google Scholar] [CrossRef]
- He, F.; Yin, X.; Li, J.; Lin, S.; Wu, L.; Hao, X.; Zhang, J.; Feng, L. Characterization of Sputtered MoOx Thin Films with Different Oxygen Content and Their Application as Back Contact in CdTe Solar Cells. Vacuum 2020, 176, 109337. [Google Scholar] [CrossRef]
- Kuddus, A.; Rahman, M.F.; Ahmmed, S.; Hossain, J.; Ismail, A.B.M. Role of Facile Synthesized V2O5 as Hole Transport Layer for CdS/CdTe Heterojunction Solar Cell: Validation of Simulation Using Experimental Data. Superlattices Microstruct. 2019, 132, 106168. [Google Scholar] [CrossRef]
- Wang, D.; Yang, R.; Wu, L.; Shen, K.; Wang, D. Band Alignment of CdTe with MoOx Oxide and Fabrication of High Efficiency CdTe Solar Cells. Sol. Energy 2018, 162, 637–645. [Google Scholar] [CrossRef]
- Xiao, D.; Li, X.; Wang, D.; Li, Q.; Shen, K.; Wang, D. CdTe Thin Film Solar Cell with NiO as a Back Contact Buffer Layer. Sol. Energy Mater. Sol. Cells 2017, 169, 61–67. [Google Scholar] [CrossRef]
- Paudel, N.R.; Compaan, A.D.; Yan, Y. Ultrathin CdTe Solar Cells with MoO3−x /Au Back Contacts. J. Electron. Mater. 2014, 43, 2783–2787. [Google Scholar] [CrossRef]
- Khrypunov, G.; Bereznev, S.; Meriuts, A.; Kopach, G.; Kovtun, N.; Deyneko, N. Development Organic Back Contact for Thin-Film CdS/CdTe Solar Cell. Phys. Chem. Solid State 2010, 11, 248–251. [Google Scholar]
- Guo, X.; Tan, Q.; Liu, S.; Qin, D.; Mo, Y.; Hou, L.; Liu, A.; Wu, H.; Ma, Y. High-Efficiency Solution-Processed CdTe Nanocrystal Solar Cells Incorporating a Novel Crosslinkable Conjugated Polymer as the Hole Transport Layer. Nano Energy 2018, 46, 150–157. [Google Scholar] [CrossRef]
- Varadharajaperumal, S.; Ilango, M.S.; Hegde, G.; Satyanarayan, M.N. Effect of CuPc and PEDOT:PSS as Hole Transport Layers in Planar Heterojunction CdS/CdTe Solar Cell. Mater. Res. Express 2019, 6, 095009. [Google Scholar] [CrossRef]
- Keen, D.A.; Hull, S. The High-Temperature Structural Behaviour of Copper(I) Iodide. J. Phys. Condens. Matter 1995, 7, 5793–5804. [Google Scholar] [CrossRef]
- Hanif, Q.A.; Ramelan, A.H.; Saputri, L.N.M.Z.; Wahyuningsih, S. Modification of CuI Based Hole Transport Material for Solid State DSSC Application. IOP Conf. Ser. Mater. Sci. Eng. 2018, 333, 012029. [Google Scholar] [CrossRef]
- Peng, Y.; Yaacobi-Gross, N.; Perumal, A.K.; Faber, H.A.; Vourlias, G.; Patsalas, P.A.; Bradley, D.D.C.; He, Z.; Anthopoulos, T.D. Efficient Organic Solar Cells Using Copper(I) Iodide (CuI) Hole Transport Layers. Appl. Phys. Lett. 2015, 106, 243302. [Google Scholar] [CrossRef] [Green Version]
- Khadka, D.B.; Shirai, Y.; Yanagida, M.; Miyano, K. Ammoniated Aqueous Precursor Ink Processed Copper Iodide as Hole Transport Layer for Inverted Planar Perovskite Solar Cells. Sol. Energy Mater. Sol. Cells 2020, 210, 110486. [Google Scholar] [CrossRef]
- Uthayaraj, S.; Karunarathne, D.G.B.C.; Kumara, G.R.A.; Murugathas, T.; Rasalingam, S.; Rajapakse, R.M.G.; Ravirajan, P.; Velauthapillai, D. Powder Pressed Cuprous Iodide (CuI) as A Hole. Materials 2019, 12, 2037. [Google Scholar] [CrossRef] [Green Version]
- Saranin, D.; Gostischev, P.; Tatarinov, D.; Ermanova, I.; Mazov, V.; Muratov, D.; Tameev, A.; Kuznetsov, D.; Didenko, S.; Di Carlo, A. Copper Iodide Interlayer for Improved Charge Extraction and Stability of Inverted Perovskite Solar Cells. Materials 2019, 12, 1406. [Google Scholar] [CrossRef] [Green Version]
- Takahashi, K.; Suzuki, Y. Perovskite Solar Cells with CuI Inorganic Hole Conductor. Jpn. J. Appl. Phys. 2017, 56, 08MC04. [Google Scholar] [CrossRef] [Green Version]
- Li, X.; Yang, J.; Jiang, Q.; Chu, W.; Zhang, D.; Zhou, Z.; Xin, J. Synergistic Effect to High-Performance Perovskite Solar Cells with Reduced Hysteresis and Improved Stability by the Introduction of Na-Treated TiO2 and Spraying-Deposited CuI as Transport Layers. ACS Appl. Mater. Interfaces 2017, 9, 41354–41362. [Google Scholar] [CrossRef]
- Sun, W.; Ye, S.; Rao, H.; Li, Y.; Liu, Z.; Xiao, L.; Chen, Z.; Bian, Z.; Huang, C. Room-Temperature and Solution-Processed Copper Iodide as the Hole Transport Layer for Inverted Planar Perovskite Solar Cells. Nanoscale 2016, 8, 15954–15960. [Google Scholar] [CrossRef]
- Gharibzadeh, S.; Nejand, B.A.; Moshaii, A.; Mohammadian, N.; Alizadeh, A.H.; Mohammadpour, R.; Ahmadi, V.; Alizadeh, A. Two-Step Physical Deposition of a Compact Cui Hole-Transport Layer and the Formation of an Interfacial Species in Perovskite Solar Cells. ChemSusChem 2016, 9, 1929–1937. [Google Scholar] [CrossRef]
- Chen, W.Y.; Deng, L.L.; Dai, S.M.; Wang, X.; Tian, C.B.; Zhan, X.X.; Xie, S.Y.; Huang, R.B.; Zheng, L.S. Low-Cost Solution-Processed Copper Iodide as an Alternative to PEDOT:PSS Hole Transport Layer for Efficient and Stable Inverted Planar Heterojunction Perovskite Solar Cells. J. Mater. Chem. A 2015, 3, 19353–19359. [Google Scholar] [CrossRef]
- Christians, J.A.; Fung, R.C.M.; Kamat, P.V. An Inorganic Hole Conductor for Organo-Lead Halide Perovskite Solar Cells. Improved Hole Conductivity with Copper Iodide. J. Am. Chem. Soc. 2014, 136, 758–764. [Google Scholar] [CrossRef]
- Mohan, V.; Gautam, A.K.; Choudhary, S.D.; Mariam Bee, M.K.; Puviarasi, R.; Saranya, S.; Agrawal, N. Enhanced Performance Organic Light Emitting Diode with CuI:CuPC Composite Hole Transport Layer. IEEE Trans. Nanotechnol. 2020, 19, 699–703. [Google Scholar] [CrossRef]
- Baek, S.D.; Kwon, D.K.; Kim, Y.C.; Myoung, J.M. Violet Light-Emitting Diodes Based on p-CuI Thin Film/n-MgZnO Quantum Dot Heterojunction. ACS Appl. Mater. Interfaces 2020, 12, 6037–6047. [Google Scholar] [CrossRef]
- Hotra, Z.; Voznyak, L.; Kostiv, N.; Volunyuk, D.; Pakhomov, G.; Łuka, G.; Witkowski, B.; Wachnicki, Ł. Structural and Optical Properties of Copper Iodide Thin Films for Their Application in Organic Electronic Devices. In Proceedings of the Modern Problems of Radio Engineering, Telecommunications and Computer Science-Proceedings of the 11th International Conference, TCSET’2012. pp. 528–529. Available online: https://www.elibrary.ru/item.asp?id=17986046 (accessed on 9 June 2022).
- Liu, Z.; Qayyum, M.F.; Wu, C.; Whited, M.T.; Djurovich, P.I.; Hodgson, K.O.; Hedman, B.; Solomon, E.I.; Thompson, M.E. A Codeposition Route to CuI-Pyridine Coordination Complexes for Organic Light-Emitting Diodes. J. Am. Chem. Soc. 2011, 133, 3700–3703. [Google Scholar] [CrossRef] [Green Version]
- Rahmi, G.H.; Pratiwi, P.; Nuryadi, B.W.; Aimon, A.H.; Winata, T.; Iskandar, F. Preparation of Copper Iodide (CuI) Thin Film by In-Situ Spraying and Its Properties. J. Phys. Conf. Ser. 2016, 739, 012050. [Google Scholar] [CrossRef] [Green Version]
- Joseph, N.; Sebastian, T.; John, J.C.; Augustine, S. Synthesis and Characterization of Sprayed Copper Iodide Thin Films on Flexible Substrate. AIP Conf. Proc. 2020, 2263, 050008. [Google Scholar] [CrossRef]
- Gotoh, K.; Cui, M.; Takahashi, I.; Kurokawa, Y.; Usami, N. Development of Spin-Coated Copper Iodide on Silicon for Use in Hole-Selective Contacts. Energy Procedia 2017, 124, 598–603. [Google Scholar] [CrossRef]
- Inudo, S.; Miyake, M.; Hirato, T. Electrical Properties of CuI Films Prepared by Spin Coating. Phys. Status Solidi Appl. Mater. Sci. 2013, 210, 2395–2398. [Google Scholar] [CrossRef] [Green Version]
- Klochko, N.P.; Klepikova, K.S.; Kopach, V.R.; Zhadan, D.O.; Starikov, V.V.; Sofronov, D.S.; Khrypunova, I.V.; Petrushenko, S.I.; Dukarov, S.V.; Lyubov, V.M.; et al. Solution-Produced Copper Iodide Thin Films for Photosensor and for Vertical Thermoelectric Nanogenerator, Which Uses a Spontaneous Temperature Gradient. J. Mater. Sci. Mater. Electron. 2019, 30, 17514–17524. [Google Scholar] [CrossRef]
- Kang, H.; Liu, R.; Chen, K.; Zheng, Y.; Xu, Z. Electrodeposition and Optical Properties of Highly Oriented γ-CuI Thin Films. Electrochim. Acta 2010, 55, 8121–8125. [Google Scholar] [CrossRef]
- Bulakhe, R.N.; Shinde, N.M.; Thorat, R.D.; Nikam, S.S.; Lokhande, C.D. Deposition of Copper Iodide Thin Films by Chemical Bath Deposition (CBD) and Successive Ionic Layer Adsorption and Reaction (SILAR) Methods. Curr. Appl. Phys. 2013, 13, 1661–1667. [Google Scholar] [CrossRef]
- Yang, C.; Souchay, D.; Kneiß, M.; Bogner, M.; Wei, H.M.; Lorenz, M.; Oeckler, O.; Benstetter, G.; Fu, Y.Q.; Grundmann, M. Transparent Flexible Thermoelectric Material Based on Non-Toxic Earth-Abundant p-Type Copper Iodide Thin Film. Nat. Commun. 2017, 8, 4–10. [Google Scholar] [CrossRef]
- Zhu, B.L.; Zhao, X.Z. Transparent Conductive CuI Thin Films Prepared by Pulsed Laser Deposition. Phys. Status Solidi Appl. Mater. Sci. 2011, 208, 91–96. [Google Scholar] [CrossRef]
- Zi, M.; Li, J.; Zhang, Z.; Wang, X.; Han, J.; Yang, X.; Qiu, Z.; Gong, H.; Ji, Z.; Cao, B. Effect of Deposition Temperature on Transparent Conductive Properties of γ-CuI Film Prepared by Vacuum Thermal Evaporation. Phys. Status Solidi Appl. Mater. Sci. 2015, 212, 1466–1470. [Google Scholar] [CrossRef]
- Kaushik, D.K.; Selvaraj, M.; Ramu, S.; Subrahmanyam, A. Thermal Evaporated Copper Iodide (CuI) Thin Films: A Note on the Disorder Evaluated through the Temperature Dependent Electrical Properties. Sol. Energy Mater. Sol. Cells 2017, 165, 52–58. [Google Scholar] [CrossRef]
- Yang, C.; Kneib, M.; Lorenz, M.; Grundmann, M. Room-Temperature Synthesized Copper Iodide Thin Filmas Degenerate p-Type Transparent Conductor with a Boosted Figure of Merit. Proc. Natl. Acad. Sci. USA 2016, 113, 12929–12933. [Google Scholar] [CrossRef] [Green Version]
- Amalina, M.N.; Rasheid, N.A.; Rusop, M. The Properties of Sprayed Nanostructured P-Type CuI Films for Dye-Sensitized Solar Cells Application. J. Nanomater. 2012, 2012, 3. [Google Scholar] [CrossRef] [Green Version]
- Johan, M.R.; Si-Wen, K.; Hawari, N.; Aznan, N.A.K. Synthesis and Characterization of Copper (I) Iodide Nanoparticles via Chemical Route. Int. J. Electrochem. Sci. 2012, 7, 4942–4950. [Google Scholar]
- Kim, D.; Nakayama, M.; Kojima, O.; Tanaka, I.; Ichida, H.; Nakanishi, T.; Nishimura, H. Thermal-Strain-Induced Splitting of Heavy- and Light-Hole Exciton Energies in Cui Thin Films Grown by Vacuum Evaporation. Phys. Rev. B-Condens. Matter Mater. Phys. 1999, 60, 13879–13884. [Google Scholar] [CrossRef]
- Gajanayake, G.K.U.P.; De Silva, D.S.M.; Atapattu, H.Y.R. Altering NH4OH Concentration in Producing Chemical Bath Deposited CdS to Steadily Support Electrodeposited CdTe. Mater. Sci. Eng. B Solid-State Mater. Adv. Technol. 2021, 265, 114952. [Google Scholar] [CrossRef]
- Hariech, S.; Aida, M.S.; Bougdira, J.; Belmahi, M.; Medjahdi, G.; Genève, D.; Attaf, N.; Rinnert, H. Cadmium Sulfide Thin Films Growth by Chemical Bath Deposition. J. Semicond. 2018, 39, 034004. [Google Scholar] [CrossRef]
- Thanihaichelvan, M.; Loheeswaran, S.; Balashangar, K.; Velauthapillai, D.; Ravirajan, P. Polymer/Fullerene Blend Solar Cells with Cadmium Sulfide Thin Film as an Alternative Hole-Blocking Layer. Polymers 2019, 11, 460. [Google Scholar] [CrossRef] [PubMed] [Green Version]
- Kumarage, W.G.C.; Wijesundara, L.B.D.R.P.; Seneviratne, V.A.; Jayalath, C.P.; Dassanayake, B.S. Influence of Bath Temperature on CBD-CdS Thin Films. Procedia Eng. 2016, 139, 64–68. [Google Scholar] [CrossRef] [Green Version]
- Li, D.B.; Song, Z.; Bista, S.S.; Alfadhili, F.K.; Awni, R.A.; Shrestha, N.; Rhiannon, D.M.; Phillips, A.B.; Heben, M.J.; Ellingson, R.J.; et al. CuSCN as the Back Contact for Efficient ZMO/CdTe Solar Cells. Materials 2020, 13, 1991. [Google Scholar] [CrossRef] [PubMed]
- Smits, F.M. Measurement of Sheet Resistivities with the Four-Point Probe. Bell Syst. Tech. J. 1958, 37, 711–718. [Google Scholar] [CrossRef]
- Kumarage, C.; Wijesundera, R.P.; Kaur, N.; Dassanayake, B. A Comparative Assessment: Chemical Bath Deposited and Electrodeposited CdS Films A Comparative Assessment: Electrodeposited CdS Films Chemical Bath Deposited. Int. J. Electroact. Mater. 2019, 7, 1–6. [Google Scholar]
- Kumarage, W.G.C.; Wijesundera, R.P.; Seneviratne, V.A.; Jayalath, C.P.; Gunawardhana, N.; Kaur, N.; Comini, E.; Dassanayake, B.S. Growth and Characterization of Seed-Assisted, EDTA-Treated, Chemical Bath-Deposited CdS. J. Electron. Mater. 2021, 50, 4858–4865. [Google Scholar] [CrossRef]
- Kumarage, W.G.C.; Wijesundera, R.P.; Seneviratne, V.A.; Jayalath, C.P.; Dassanayake, B.S. Tunable Optoelectronic Properties of CBD-CdS Thin Films via Bath Temperature Alterations. J. Phys. D. Appl. Phys. 2016, 49, 95109. [Google Scholar] [CrossRef]
- Harif, M.N.; Rahman, K.S.; Doroody, C.; Rosly, H.N.; Isah, M.; Alghoul, M.A.; Misran, H.; Amin, N. Microstructural Evolution of Oxygen Incorporated CdTe Thin Films Deposited by Close-Spaced Sublimation. Mater. Lett. 2021, 306, 130552. [Google Scholar] [CrossRef]
- Flores Mendoza, M.A.; Castanedo Pérez, R.; Torres Delgado, G.; Márquez Marín, J.; Cruz Orea, A.; Zelaya Angel, O. Structural, Morphological, Optical and Electrical Properties of CdTe Films Deposited by CSS under an Argon-Oxygen Mixture and Vacuum. Sol. Energy Mater. Sol. Cells 2011, 95, 2023–2027. [Google Scholar] [CrossRef]
- Poirier, D.M.; Weaver, J.H. CdTe(110) by XPS. Surf. Sci. Spectra 1993, 2, 209–216. [Google Scholar] [CrossRef]
- Vasquez, R.P. CuI by XPS. Surf. Sci. Spectra 1993, 2, 149–154. [Google Scholar] [CrossRef]
- Nelson, J.; Kirkpatrick, J.; Ravirajan, P. Factors Limiting the Efficiency of Molecular Photovoltaic Devices. Phys. Rev. B 2004, 69, 035337. [Google Scholar] [CrossRef]
- Corwine, C.R.; Pudov, A.O.; Gloeckler, M.; Demtsu, S.H.; Sites, J.R. Copper Inclusion and Migration from the Back Contact in CdTe Solar Cells. Sol. Energy Mater. Sol. Cells 2004, 82, 481–489. [Google Scholar] [CrossRef]
- Hädrich, M.; Heisler, C.; Reislöhner, U.; Kraft, C.; Metzner, H. Back Contact Formation in Thin Cadmium Telluride Solar Cells. Thin Solid Films 2011, 519, 7156–7159. [Google Scholar] [CrossRef]
- Niemegeers, A.; Burgelman, M. Effect of the Au/CdTe Back Contact on IV and CV Characteristics of Au/CdTe/CdS/TCO Solar Cells. J. Appl. Phys. 1997, 81, 2881–2886. [Google Scholar] [CrossRef]
- Fahrenbnich, A.L. Exploring Back Contact Technology to Increase CdS/CdTe Solar Cell Efficiency. Mater. Res. Soc. Symp. Proc. 2007, 1012, 283–290. [Google Scholar] [CrossRef]
- Kephart, J.M.; McCamy, J.W.; Ma, Z.; Ganjoo, A.; Alamgir, F.M.; Sampath, W.S. Band Alignment of Front Contact Layers for High-Efficiency CdTe Solar Cells. Sol. Energy Mater. Sol. Cells 2016, 157, 266–275. [Google Scholar] [CrossRef] [Green Version]
- Li, X.; Shen, K.; Li, Q.; Deng, Y.; Zhu, P.; Wang, D. Roll-over Behavior in Current-Voltage Curve Introduced by an Energy Barrier at the Front Contact in Thin Film CdTe Solar Cell. Sol. Energy 2018, 165, 27–34. [Google Scholar] [CrossRef]
- Roussillon, Y.; Karpov, V.G.; Shvydka, D.; Drayton, J.; Compaan, A.D. Back Contact and Reach-through Diode Effects in Thin-Film Photovoltaics. J. Appl. Phys. 2004, 96, 7283–7288. [Google Scholar] [CrossRef]
- Montgomery, A.; Guo, L.; Grice, C.; Awni, R.A.; Saurav, S.; Li, L.; Yan, Y.; Yan, F. Solution-Processed Copper (I) Thiocyanate (CuSCN) for Highly Efficient CdSe/CdTe Thin-Film Solar Cells. Prog. Photovolt. Res. Appl. 2019, 27, 665–672. [Google Scholar] [CrossRef]
- Balcioglu, A.; Ahrenkiel, R.K.; Hasoon, F.; Balcioglu, A.; Ahrenkiel, R.K.; Hasoon, F. Deep-Level Impurities in CdTe/CdS Thin-Film Solar Cells Deep-Level Impurities in CdTe/CdS Thin-Film Solar Cells. J. Appl. Phys. 2016, 7175, 10–14. [Google Scholar]
- Kumar, S.G.; Rao, K.S.R.K. Physics and Chemistry of CdTe/CdS Thin Film Heterojunction Photovoltaic Devices: Fundamental and Critical Aspects. Energy Environ. Sci. 2014, 7, 45–102. [Google Scholar] [CrossRef]
- Wei, S.H.; Zhang, S.B. Chemical Trends of Defect Formation and Doping Limit in II-VI Semiconductors: The Case of CdTe. Phys. Rev. B-Condens. Matter Mater. Phys. 2002, 66, 155211. [Google Scholar] [CrossRef]
- Echendu, O.K.; Fauzi, F.; Weerasinghe, A.R.; Dharmadasa, I.M. High Short-Circuit Current Density CdTe Solar Cells Using All-Electrodeposited Semiconductors. Thin Solid Films 2014, 556, 529–534. [Google Scholar] [CrossRef]
- Paul, S.; Grover, S.; Repins, I.L.; Keyes, B.M.; Contreras, M.A.; Ramanathan, K.; Noufi, R.; Zhao, Z.; Liao, F.; Li, J.V. Analysis of Back-Contact Interface Recombination in Thin-Film Solar Cells. IEEE J. Photovolt. 2018, 8, 871–878. [Google Scholar] [CrossRef]
- Cruz-Campa, J.L.; Zubia, D. CdTe Thin Film Growth Model under CSS Conditions. Sol. Energy Mater. Sol. Cells 2009, 93, 15–18. [Google Scholar] [CrossRef]
- Gordillo, G.; Flórez, J.M.; Hernández, L.C. Preparation and Characterization of CdTe Thin Films Deposited by CSS. Sol. Energy Mater. Sol. Cells 1995, 37, 273–281. [Google Scholar] [CrossRef]
- Ferekides, C.; Britt, J.; Ma, Y.; Killian, L. High Efficiency CdTe Solar Cells by Close Spaced Sublimation. In Proceedings of the Conference Record of the Twenty Third IEEE Photovoltaic Specialists Conference-1993 (Cat. No.93CH3283-9), Louisville, KY, USA, 10–14 May 1993; pp. 389–393. [Google Scholar] [CrossRef]
- García-Alvarado, G.I.; de Moure-Flores, F.; Mayén-Hernández, S.A.; Santos-Cruz, D.; Rivera-Muñoz, E.M.; Contreras-Puente, G.S.; Pal, M.; Santos-Cruz, J. CdTe/CdS Solar Cells with CdTe Grown at Low Vacuum. Vacuum 2017, 142, 175–180. [Google Scholar] [CrossRef]
- Enam, F.M.T.; Rahman, K.S.; Kamaruzzaman, M.I.; Sobayel, K.; Aktharuzzaman, M.; Amin, N. An Investigation on Structural and Electrical Properties of Close-Spaced Sublimation Grown CdTe Thin Films in Different Growth Conditions. Chalcogenide Lett. 2017, 14, 125–131. [Google Scholar]
- Munshi, A.H.; Kephart, J.M.; Abbas, A.; Shimpi, T.M.; Barth, K.; Walls, J.M.; Sampath, W.S. Effect of Varying Deposition and Substrate Temperature on Sublimated CdTe Thin-Film Photovoltaics. In Proceedings of the 2016 IEEE 43rd Photovoltaic Specialists Conference (PVSC), Portland, OR, USA, 5–10 June 2016; pp. 465–469. [Google Scholar]












| Film | Average Roughness (nm) | RMS Roughness (nm) |
|---|---|---|
| CBD-CdS | 33.60 | 8.42 |
| CSS-CdTe | 114.30 | 25.32 |
| TE-CuI | 87.00 | 18.72 |
| Device | JSC (mA/cm2) | VOC (V) | FF | PCE (%) |
|---|---|---|---|---|
| Cu/Au | 23.71 | 0.44 | 0.44 | 4.57 |
| Cu/Au After 01 month | 18.78 | 0.37 | 0.34 | 2.35 |
| CuI/Au | 25.00 | 0.39 | 0.52 | 5.05 |
| CuI/Au After 01 month | 20.87 | 0.33 | 0.46 | 3.13 |
| CSS Condition | JSC (mA/cm2) | VOC (V) | FF | PCE (%) | PCE Drops |
|---|---|---|---|---|---|
| 5.0 torr | 25.00 | 0.39 | 0.52 | 5.05 | 38% |
| After 01 month | 20.87 | 0.33 | 0.46 | 3.13 | |
| 7.9 torr | 21.90 | 0.63 | 0.49 | 6.92 | 10% |
| After 01 month | 20.72 | 0.64 | 0.47 | 6.25 |
Publisher’s Note: MDPI stays neutral with regard to jurisdictional claims in published maps and institutional affiliations. |
© 2022 by the authors. Licensee MDPI, Basel, Switzerland. This article is an open access article distributed under the terms and conditions of the Creative Commons Attribution (CC BY) license (https://creativecommons.org/licenses/by/4.0/).
Share and Cite
Thivakarasarma, T.; Lakmal, A.A.I.; Dassanayake, B.S.; Velauthapillai, D.; Ravirajan, P. Thermally Evaporated Copper Iodide Hole-Transporter for Stable CdS/CdTe Thin-Film Solar Cells. Nanomaterials 2022, 12, 2507. https://doi.org/10.3390/nano12142507
Thivakarasarma T, Lakmal AAI, Dassanayake BS, Velauthapillai D, Ravirajan P. Thermally Evaporated Copper Iodide Hole-Transporter for Stable CdS/CdTe Thin-Film Solar Cells. Nanomaterials. 2022; 12(14):2507. https://doi.org/10.3390/nano12142507
Chicago/Turabian StyleThivakarasarma, Thuraisamykurukkal, Adikari Arachchige Isuru Lakmal, Buddhika Senarath Dassanayake, Dhayalan Velauthapillai, and Punniamoorthy Ravirajan. 2022. "Thermally Evaporated Copper Iodide Hole-Transporter for Stable CdS/CdTe Thin-Film Solar Cells" Nanomaterials 12, no. 14: 2507. https://doi.org/10.3390/nano12142507
APA StyleThivakarasarma, T., Lakmal, A. A. I., Dassanayake, B. S., Velauthapillai, D., & Ravirajan, P. (2022). Thermally Evaporated Copper Iodide Hole-Transporter for Stable CdS/CdTe Thin-Film Solar Cells. Nanomaterials, 12(14), 2507. https://doi.org/10.3390/nano12142507

