Evaluation of the Photocatalytic Activity of Distinctive-Shaped ZnO Nanocrystals Synthesized Using Latex of Different Plants Native to the Amazon Rainforest
Abstract
1. Introduction
2. Materials and Methods
2.1. Synthesis
2.2. Characterization
2.3. Photocatalytic Tests
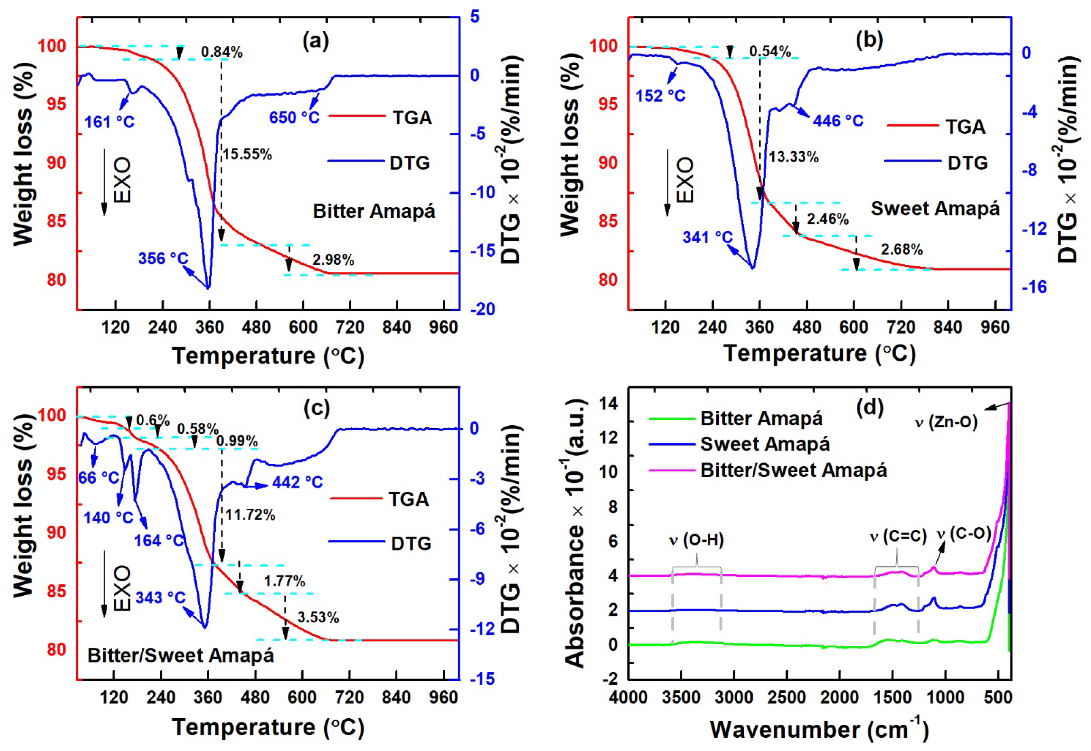
3. Results and Discussion
4. Conclusions
Supplementary Materials
Author Contributions
Funding
Institutional Review Board Statement
Informed Consent Statement
Data Availability Statement
Acknowledgments
Conflicts of Interest
References
- Bi, H.; Zhang, L.-X.; Xing, Y.; Zhang, P.; Chen, J.-J.; Yin, J.; Bie, L.-J. Morphology-Controlled Synthesis of CeO2 Nanocrystals and Their Facet-Dependent Gas Sensing Properties. Sens. Actuators B Chem. 2021, 330, 129374. [Google Scholar] [CrossRef]
- Sun, Y.; Chen, L.; Bao, Y.; Zhang, Y.; Wang, J.; Fu, M.; Wu, J.; Ye, D. The Applications of Morphology Controlled ZnO in Catalysis. Catalysts 2016, 6, 188. [Google Scholar] [CrossRef]
- Mishra, S.K.; Srivastava, R.K.; Prakash, S.G.; Yadav, R.S.; Panday, A.C. Photoluminescence and Photoconductive Characteristics of Hydrothermally Synthesized ZnO Nanocrystals. Opto-Electron. Rev. 2010, 18, 467–473. [Google Scholar] [CrossRef]
- Ferreira, N.S.; Sasaki, J.M.; Silva, J.R.R.S.; Attah-Baah, J.M.; Macêdo, M.A. Visible-Light-Responsive Photocatalytic Activity Significantly Enhanced by Active [VZn + VO+] Defects in Self-Assembled ZnO Nanocrystals. Inorg. Chem. 2021, 60, 4475–4496. [Google Scholar] [CrossRef] [PubMed]
- Ghribi, F.; Khalifi, N.; Mrabet, S.; Ghiloufi, I.; Ţălu, Ş.; El Mir, L.M.; da Fonseca Filho, H.D.; Oliveira, R.M.P.B.; Matos, R.S. Evaluation of the Structure–Micromorphology Relationship of Co10%–Alx Co-Doped Zinc Oxide Nanostructured Thin Films Deposited by Pulsed Laser Using XRD and AFM. Arab. J. Sci. Eng. 2022, 47, 7717–7728. [Google Scholar] [CrossRef]
- Zhu, X.; Wang, J.; Yang, D.; Liu, J.; He, L.; Tang, M.; Feng, W.; Wu, X. Fabrication, Characterization and High Photocatalytic Activity of Ag–ZnO Heterojunctions under UV-Visible Light. RSC Adv. 2021, 11, 27257–27266. [Google Scholar] [CrossRef]
- Li, J.; Fan, H.; Chen, X.; Cao, Z. Structural and Photoluminescence of Mn-Doped ZnO Single-Crystalline Nanorods Grown via Solvothermal Method. Colloids Surf. A Physicochem. Eng. Asp. 2009, 349, 202–206. [Google Scholar] [CrossRef]
- Kumar, S.G.; Rao, K.S.R.K. Zinc Oxide Based Photocatalysis: Tailoring Surface-Bulk Structure and Related Interfacial Charge Carrier Dynamics for Better Environmental Applications. RSC Adv. 2015, 5, 3306–3351. [Google Scholar] [CrossRef]
- Raizada, P.; Soni, V.; Kumar, A.; Singh, P.; Parwaz Khan, A.A.; Asiri, A.M.; Thakur, V.K.; Nguyen, V.-H. Surface Defect Engineering of Metal Oxides Photocatalyst for Energy Application and Water Treatment. J. Mater. 2021, 7, 388–418. [Google Scholar] [CrossRef]
- de Lima, B.R.; da Silva, F.M.A.; Soares, E.R.; de Almeida, R.A.; da Silva-Filho, F.A.; Barison, A.; Costa, E.V.; Koolen, H.H.F.; de Souza, A.D.L.; Pinheiro, M.L.B. Integrative Approach Based on Leaf Spray Mass Spectrometry, HPLC-DAD-MS/MS, and NMR for Comprehensive Characterization of Isoquinoline-derived Alkaloids in Leaves of Onychopetalum amazonicum R. E. Fr. J. Braz. Chem. Soc. 2020, 31, 79–89. [Google Scholar] [CrossRef]
- Lopes de Almeida, W.; Ferreira, N.S.; Rodembusch, F.S.; Caldas de Sousa, V. Study of Structural and Optical Properties of ZnO Nanocrystals Synthesized by an Eco-Friendly Tapioca-Assisted Route. Mater. Chem. Phys. 2020, 15, 123926. [Google Scholar] [CrossRef]
- Salles, R. Estudo Químico e de Atividade Biológica Comparativo do Látex do Leite de Amapá Extraído de Duas Espécies Botânicas Distintas; Universidade Federal do Amazonas: Manaus, Brazil, 2013. [Google Scholar]
- David, E.S.; Rabelo, É.M.; Martins, R.L.; de Almeida, S.S.M.S. Estudo Fitoquímico, Microbiológico, Citotoxicidade e Antioxidante do Látex Brosimum Parinariodides spp. Parinarioides Ducke (Moraceae) com o Parahancornia amapa (Huber) Ducke (Apocinaceae). Biota Amaz. 2019, 9, 16–20. [Google Scholar] [CrossRef]
- Ribeiro, R.V.; Bieski, I.G.C.; Balogun, S.O.; de Oliveira Martins, D.T. Ethnobotanical Study of Medicinal Plants Used by Ribeirinhos in the North Araguaia Microregion, Mato Grosso, Brazil. J. Ethnopharmacol. 2017, 205, 69–102. [Google Scholar] [CrossRef] [PubMed]
- Osuntokun, J.; Onwudiwe, D.C.; Ebenso, E.E. Green Synthesis of ZnO Nanocrystals Using Aqueous Brassica oleracea L. Var. italica and the Photocatalytic Activity. Green Chem. Lett. Rev. 2019, 12, 444–457. [Google Scholar] [CrossRef]
- Shabaani, M.; Rahaiee, S.; Zare, M.; Jafari, S.M. Green Synthesis of ZnO Nanocrystals Using Loquat Seed Extract; Biological Functions and Photocatalytic Degradation Properties. LWT 2020, 134, 110133. [Google Scholar] [CrossRef]
- Sadiq, H.; Sher, F.; Sehar, S.; Lima, E.C.; Zhang, S.; Iqbal, H.M.N.; Zafar, F.; Nuhanović, M. Green Synthesis of ZnO Nanocrystals from Syzygium Cumini Leaves Extract with Robust Photocatalysis Applications. J. Mol. Liq. 2021, 335, 116567. [Google Scholar] [CrossRef]
- Aldeen, T.S.; Ahmed Mohamed, H.E.; Maaza, M. ZnO Nanocrystals Prepared via a Green Synthesis Approach: Physical Properties, Photocatalytic and Antibacterial Activity. J. Phys. Chem. Solids 2022, 160, 110313. [Google Scholar] [CrossRef]
- Vasantharaj, S.; Sathiyavimal, S.; Senthilkumar, P.; Kalpana, V.N.; Rajalakshmi, G.; Alsehli, M.; Elfasakhany, A.; Pugazhendhi, A. Enhanced Photocatalytic Degradation of Water Pollutants Using Bio-Green Synthesis of Zinc Oxide Nanocrystals (ZnO NPs). J. Environ. Chem. Eng. 2021, 9, 105772. [Google Scholar] [CrossRef]
- Vidya, C.; Manjunatha, C.; Chandraprabha, M.; Rajshekar, M.; Raj, M.A.L.A. Hazard Free Green Synthesis of ZnO Nano-Photo-Catalyst Using Artocarpus Heterophyllus Leaf Extract for the Degradation of Congo Red Dye in Water Treatment Applications. J. Environ. Chem. Eng. 2017, 5, 3172–3180. [Google Scholar] [CrossRef]
- Papadakis, R. Introductory Chapter: Dyes and Pigments-Past, Present, and Future. In Dyes and Pigments—Novel Applications and Waste Treatment; IntechOpen: London, UK, 2021. [Google Scholar]
- Ledakowicz, S.; Paździor, K. Recent Achievements in Dyes Removal Focused on Advanced Oxidation Processes Integrated with Biological Methods. Molecules 2021, 26, 870. [Google Scholar] [CrossRef]
- Kapoor, R.T.; Danish, M.; Singh, R.S.; Rafatullah, M.; Khalil, H.P.S.A. Exploiting Microbial Biomass in Treating Azo Dyes Contaminated Wastewater: Mechanism of Degradation and Factors Affecting Microbial Efficiency. J. Water Process Eng. 2021, 43, 102255. [Google Scholar] [CrossRef]
- Rafiq, A.; Ikram, M.; Ali, S.; Niaz, F.; Khan, M.; Khan, Q.; Maqbool, M. Photocatalytic Degradation of Dyes Using Semiconductor Photocatalysts to Clean Industrial Water Pollution. J. Ind. Eng. Chem. 2021, 97, 111–128. [Google Scholar] [CrossRef]
- Rodríquez-Carvajal, J.; Roisnel, T. Line Broadening Analysis Using FullProf*: Determination of Microstructural Properties. Mater. Sci. Forum 2004, 443–444, 123–126. [Google Scholar] [CrossRef]
- Suresh, S.; Karthikeyan, S.; Jayamoorthy, K. Spectral Investigations to the Effect of Bulk and Nano ZnO on Peanut Plant Leaves. Karbala Int. J. Mod. Sci. 2016, 2, 69–77. [Google Scholar] [CrossRef]
- He, C.; Sasaki, T.; Usui, H.; Shimizu, Y.; Koshizaki, N. Fabrication of ZnO Nanocrystals by Pulsed Laser Ablation in Aqueous Media and PH-Dependent Particle Size: An Approach to Study the Mechanism of Enhanced Green Photoluminescence. J. Photochem. Photobiol. A Chem. 2007, 191, 66–73. [Google Scholar] [CrossRef]
- Matinise, N.; Fuku, X.G.; Kaviyarasu, K.; Mayedwa, N.; Maaza, M. ZnO Nanocrystals via Moringa oleifera Green Synthesis: Physical Properties & Mechanism of Formation. Appl. Surf. Sci. 2017, 406, 339–347. [Google Scholar] [CrossRef]
- Galuppo, S.C. Documentação do Uso e Valorização do Óleo de Piquiá (Caryocar villosum (Aubl) Pers.) e do Leite do Amapá-Doce (Brosimum parinarioides Ducke) para a Comunidade de Piquiatuba, Floresta Nacional do Tapajós. Estudos Físicos, Químicos, Fitoquímicos e Farmacoló. Master’s Thesis, Ciências Florestais—Universidade Federal Rural da Amazônia, Belém, Brazil, 2004. [Google Scholar]
- Sá, I.S.C.; Neves, K.O.G.; Mesquita, R.d.S.; Bastos, L.M.; Sales, M.L.F.; da Silva, F.M.A.; Nunomura, R.d.C.S. Parinarioidins A-B, Unprecedented Flavonoids from the Bark of Brosimum parinarioides Ducke. Biochem. Syst. Ecol. 2020, 91, 104075. [Google Scholar] [CrossRef]
- Palheta, R.A.; Filho, R.F.D.C.; Carneiro, A.L.B.; Teixeira, M.F.S. Composição Nutricional e Controle de Qualidade do Leite de Amapá Doce (Brosimum parinarioides Ducke). Bol. Cent. Pesqui. Process. Aliment. 2015, 33, 104075. [Google Scholar] [CrossRef]
- Sobrinho, D.C.; Hauptli, M.B.; Appolinário, E.V.; Kollenz, C.L.M.; de Carvalho, M.G.; Braz-Filho, R. Triterpenoids Isolated from Parahancornia amapa. J. Braz. Chem. Soc. 1991, 2, 15–20. [Google Scholar] [CrossRef]
- de Carvalho, M.G.; Velloso, C.R.X.; Braz-Filho, R.; da Costa, W.F. Acyl-Lupeol Esters from Parahancornia amapa (Apocynaceae). J. Braz. Chem. Soc. 2001, 12, 556–559. [Google Scholar] [CrossRef]
- de Carvalho, M.G.; de Albuquerque, L.A.; Alves, C.C.F.; Cascon, V. Cornoside and Other Constituents from the Latex of Parahancornia amapa (Hub.) Ducke (Apocynaceae) a Medicinal Plant in Northern Brazil. Rev. Bras. Farmacogn. 2008, 18, 667–669. [Google Scholar] [CrossRef][Green Version]
- Barzinjy, A.A.; Azeez, H.H. Green Synthesis and Characterization of Zinc Oxide Nanocrystals Using Eucalyptus globulus Labill. Leaf Extract and Zinc Nitrate Hexahydrate Salt. SN Appl. Sci. 2020, 2, 991. [Google Scholar] [CrossRef]
- Li, P.; Zhang, H.; Li, Z.; Zhang, J. Effect of Surfactants on Morphology, Structure and Photoluminescence Properties of Eu-Doped ZnO Microsphere. Optoelectron. Lett. 2020, 16, 293–297. [Google Scholar] [CrossRef]
- Kumar Jangir, L.; Kumari, Y.; Kumar, A.; Kumar, M.; Awasthi, K. Investigation of Luminescence and Structural Properties of ZnO Nanocrystals, Synthesized with Different Precursors. Mater. Chem. Front. 2017, 1, 1413–1421. [Google Scholar] [CrossRef]
- Li, Y.; Meng, G.W.; Zhang, L.D.; Phillipp, F. Ordered Semiconductor ZnO Nanowire Arrays and Their Photoluminescence Properties. Appl. Phys. Lett. 2000, 76, 2011–2013. [Google Scholar] [CrossRef]
- Vijayaprasath, G.; Murugan, R.; Mahalingam, T.; Hayakawa, Y.; Ravi, G. Enhancement of Ferromagnetic Property in Rare Earth Neodymium Doped ZnO Nanocrystals. Ceram. Int. 2015, 41, 10607–10615. [Google Scholar] [CrossRef]
- de Oliveira, R.C.; Martins, D.E.; Basso Bernardi, M.I.; Mesquita, A. Zn1-XMgxO Nanocrystals Prepared by the Polymeric Precursor Method: Correlation between Photoluminescence and Local Structure. Opt. Mater. 2018, 86, 71–78. [Google Scholar] [CrossRef]
- Thangapandi, J.R.; Chelliah, P.; Balakrishnan, S.; Muthusamy, N.; Sathiya Balasingh Thangapandi, E.J.J.; Kasi, M.; Kanniah, P. Antibacterial and Photocatalytic Aspects of Zinc Oxide Nanorods Synthesized Using Piper Nigrum Seed Extract. J. Nanostruct. Chem. 2021, 11, 549–560. [Google Scholar] [CrossRef]
- Flores, N.M.; Pal, U.; Galeazzi, R.; Sandoval, A. Effects of Morphology, Surface Area, and Defect Content on the Photocatalytic Dye Degradation Performance of ZnO Nanostructures. RSC Adv. 2014, 4, 41099–41110. [Google Scholar] [CrossRef]
- Guo, M.Y.; Ng, A.M.C.; Liu, F.; Djurišić, A.B.; Chan, W.K.; Su, H.; Wong, K.S. Effect of Native Defects on Photocatalytic Properties of ZnO. J. Phys. Chem. C 2011, 115, 11095–11101. [Google Scholar] [CrossRef]
- Vu, X.H.; Phuoc, L.H.; Dien, N.D.; Pham, T.T.H.; Thanh, L.D. Photocatalytic Degradation of Methylene Blue (MB) over α-Fe2O3 Nanospindles Prepared by a Hydrothermal Route. J. Electron. Mater. 2019, 48, 2978–2985. [Google Scholar] [CrossRef]
- Haseena, S.; Shanavas, S.; Ahamad, T.; Alshehri, S.M.; Baskaran, P.; Duraimurugan, J.; Acevedo, R.; Khan, M.A.M.; Anbarasan, P.M.; Jayamani, N. Investigation on Photocatalytic Activity of Bio-Treated α-Fe2O3 Nanocrystals Using Phyllanthus niruri and Moringa stenopetala Leaf Extract against Methylene Blue and Phenol Molecules: Kinetics, Mechanism and Stability. J. Environ. Chem. Eng. 2021, 9, 104996. [Google Scholar] [CrossRef]







Publisher’s Note: MDPI stays neutral with regard to jurisdictional claims in published maps and institutional affiliations. |
© 2022 by the authors. Licensee MDPI, Basel, Switzerland. This article is an open access article distributed under the terms and conditions of the Creative Commons Attribution (CC BY) license (https://creativecommons.org/licenses/by/4.0/).
Share and Cite
Matos, R.S.; Attah-Baah, J.M.; Monteiro, M.D.S.; Costa, B.F.O.; Mâcedo, M.A.; Da Paz, S.P.A.; Angélica, R.S.; de Souza, T.M.; Ţălu, Ş.; Oliveira, R.M.P.B.; et al. Evaluation of the Photocatalytic Activity of Distinctive-Shaped ZnO Nanocrystals Synthesized Using Latex of Different Plants Native to the Amazon Rainforest. Nanomaterials 2022, 12, 2889. https://doi.org/10.3390/nano12162889
Matos RS, Attah-Baah JM, Monteiro MDS, Costa BFO, Mâcedo MA, Da Paz SPA, Angélica RS, de Souza TM, Ţălu Ş, Oliveira RMPB, et al. Evaluation of the Photocatalytic Activity of Distinctive-Shaped ZnO Nanocrystals Synthesized Using Latex of Different Plants Native to the Amazon Rainforest. Nanomaterials. 2022; 12(16):2889. https://doi.org/10.3390/nano12162889
Chicago/Turabian StyleMatos, Robert S., John M. Attah-Baah, Michael D. S. Monteiro, Benilde F. O. Costa, Marcelo A. Mâcedo, Simone P. A. Da Paz, Rômulo S. Angélica, Tiago M. de Souza, Ştefan Ţălu, Rosane M. P. B. Oliveira, and et al. 2022. "Evaluation of the Photocatalytic Activity of Distinctive-Shaped ZnO Nanocrystals Synthesized Using Latex of Different Plants Native to the Amazon Rainforest" Nanomaterials 12, no. 16: 2889. https://doi.org/10.3390/nano12162889
APA StyleMatos, R. S., Attah-Baah, J. M., Monteiro, M. D. S., Costa, B. F. O., Mâcedo, M. A., Da Paz, S. P. A., Angélica, R. S., de Souza, T. M., Ţălu, Ş., Oliveira, R. M. P. B., & Ferreira, N. S. (2022). Evaluation of the Photocatalytic Activity of Distinctive-Shaped ZnO Nanocrystals Synthesized Using Latex of Different Plants Native to the Amazon Rainforest. Nanomaterials, 12(16), 2889. https://doi.org/10.3390/nano12162889

