RETRACTED: The Design, Fabrication and Characterization of Grating Couplers for SiGe Photonic Integration Employing a Reflective Back Mirror
Abstract
1. Introduction
2. Design and Simulation
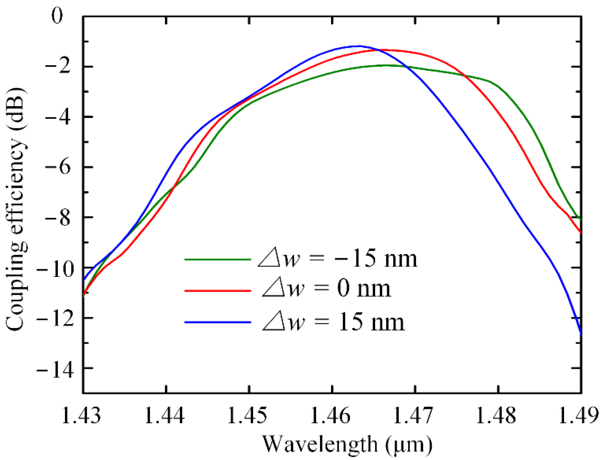
3. Tolerance Analysis
4. Fabrication and Measurement Results
5. Conclusions
Author Contributions
Funding
Institutional Review Board Statement
Informed Consent Statement
Data Availability Statement
Acknowledgments
Conflicts of Interest
References
- Soref, R.A. The Past, Present, and Future of Silicon Photonics. IEEE J. Sel. Top. Quantum Electron. 2006, 12, 1678–1687. [Google Scholar] [CrossRef]
- Leuthold, J.; Koos, C.; Freude, W. Nonlinear silicon photonics. Nat. Photonics 2006, 4, 535–544. [Google Scholar] [CrossRef]
- Stojanovic, V.; Ram, R.J.; Popovic, M.; Lin, S.; Moazeni, S.; Wade, M.; Sun, C.; Alloatti, L.; Atabaki, A.; Pavanello, F.; et al. Monolithic silicon-photonic platforms in state-of-the-art CMOS SOI processes. Opt. Express 2018, 26, 13106–13121. [Google Scholar] [CrossRef] [PubMed]
- Fadaly, E.M.T.; Dijkstra, A.; Suckert, J.R.; Ziss, D.; van Tilburg, M.A.J.; Mao, C.; Ren, Y.; van Lange, V.T.; Korzun, K.; Kolling, S.; et al. Direct-bandgap emission from hexagonal Ge and SiGe alloys. Nature 2020, 580, 205–209. [Google Scholar] [CrossRef]
- Jiang, J.; Xue, M.; Lu, C.-Y.; Fenrich, C.S.; Morea, M.; Zang, K.; Gao, J.; Cheng, M.; Zhang, Y.; Kamins, T.I.; et al. Strain-Induced Enhancement of Electroluminescence from Highly Strained Germanium Light-Emitting Diodes. ACS Photonics 2019, 6, 915–923. [Google Scholar]
- Wirths, S.; Geiger, R.; von den Driesch, N.; Mussler, G.; Stoica, T.; Mantl, S.; Ikonic, Z.; Luysberg, M.; Chiussi, S.; Hartmann, J.M.; et al. Lasing in direct-bandgap GeSn alloy grown on Si. Nat. Photonics 2015, 9, 88–92. [Google Scholar] [CrossRef]
- Gao, J.; Sun, J.; Jiang, J.; Zhang, Y. Demonstration of biaxially tensile-strained Ge/SiGe multiple quantum well (MQW) electroabsorption modulators with low polarization dependence. Nanophotonics 2020, 9, 4355–4363. [Google Scholar] [CrossRef]
- Frigerio, J.; Vakarin, V.; Chaisakul, P.; Ferretto, M.; Chrastina, D.; Roux, X.L.; Vivien, L.; Isella, G.; Marris-Morini, D. Giant electro-optic effect in Ge/SiGe coupled quantum wells. Sci. Rep. 2015, 5, 15398. [Google Scholar] [CrossRef]
- Chen, X.; Fenrich, C.S.; Xue, M.; Kao, M.-Y.; Zang, K.; Lu, C.-Y.; Fei, E.T.; Chen, Y.; Huo, Y.; Kamins, T.I.; et al. Tensile-strained Ge/SiGe multiple quantum well microdisks. Photonics Res. 2017, 5, B7. [Google Scholar] [CrossRef]
- Chaisakul, P.; Marris-Morini, D.; Rouifed, M.-S.; Isella, G.; Chrastina, D.; Frigerio, J.; Roux, X.L.; Edmond, S.; Coudevylle, J.-R.; Vivien, L. 23 GHz Ge/SiGe multiple quantum well electro-absorption modulator. Opt. Express 2012, 20, 3219–3224. [Google Scholar] [CrossRef]
- Dumas, D.C.S.; Gallacher, K.; Rhead, S.; Myronov, M.; Leadley, D.R.; Paul, D.J. Ge/SiGe quantum confined Stark effect electro-absorption modulation with low voltage swing at λ = 1550 nm. Opt. Express 2014, 22, 19284–19292. [Google Scholar] [CrossRef]
- Onaran, E.; Onbasli, M.C.; Yesilyurt, A.; Yu, H.Y.; Nayfeh, A.M.; Okyay, A.K. Silicon-Germanium multi-quantum well photodetectors in the near infrared. Opt. Express 2012, 20, 7608–7615. [Google Scholar] [CrossRef]
- Gatti, E.; Grilli, E.; Guzzi, M.; Chrastina, D.; Isella, G.; Känel, H.V. Room temperature photoluminescence of Ge multiple quantum wells with Ge-rich barriers. Appl. Phys. Lett. 2011, 98, 031106. [Google Scholar] [CrossRef]
- Ramirez, J.M.; Vakarin, V.; Gilles, C.; Frigerio, J.; Ballabio, A.; Chaisakul, P.; Roux, X.L.; Alonso-Ramos, C.; Maisons, G.; Vivien, L.; et al. Low-loss Ge-rich Si0.2Ge0.8 waveguides for mid-infrared photonics. Opt. Lett. 2017, 42, 105–108. [Google Scholar] [CrossRef]
- Taillaert, D.; Chong, H.; Borel, P.I.; Frandsen, L.H.; de la Rue, R.M.; Baets, R. A compact two-dimensional grating coupler used as a polarization splitter. IEEE Photon. Technol. Lett. 2003, 15, 1249–1251. [Google Scholar] [CrossRef]
- Wang, Z.; Tang, Y.; Wosinski, L.; He, S. Experimental demonstration of a high efficiency polarization splitter based on a one-dimensional grating with a Bragg reflector underneath. IEEE Photonics Technol. Lett. 2010, 22, 1568–1570. [Google Scholar] [CrossRef]
- Roelkens, G.; van Thourhout, D.; Baets, R. High efficiency Silicon-on-Insulator grating coupler based on a poly-Silicon overlay. Opt. Express 2006, 14, 11622–11630. [Google Scholar] [CrossRef]
- Li, C.; Zhang, H.; Yu, M.; Lo, G.Q. CMOS-compatible high efficiency double-etched apodized waveguide grating coupler. Opt. Express 2013, 21, 7868–7874. [Google Scholar] [CrossRef]
- Halir, R.; Cheben, P.; Schmid, J.H.; Ma, R.; Bedard, D.; Janz, S.; Xu, D.; Densmore, A.; Lapointe, J.; Molina-Fernández, Í. Continuously apodized fiber-to-chip surface grating coupler with refractive index engineered subwavelength structure. Opt. Lett. 2010, 35, 3243–3245. [Google Scholar] [CrossRef] [PubMed]
- Alonso-Ramos, C.; Cheben, P.; Ortega-Moñux, A.; Schmid, J.H.; Xu, D.-X.; Molina-Fernández, I. Fiber-chip grating coupler based on interleaved trenches with directionality exceeding 95%. Opt. Lett. 2014, 39, 5351–5354. [Google Scholar] [CrossRef] [PubMed]
- Nedeljkovic, M.; Penades, J.S.; Mitchell, C.J.; Khokhar, A.Z.; Stankovic, S.; Bucio, T.D.; Littlejohns, C.G.; Gardes, F.Y.; Mashanovich, G.Z. Surface-Grating-Coupled Low-Loss Ge-on-Si Rib Waveguides and Multimode Interferometers. IEEE Photonics Technol. Lett. 2015, 27, 1040–1043. [Google Scholar] [CrossRef]
- Kang, J.; Cheng, Z.; Zhou, W.; Xiao, T.; Gopalakrisna, K.L.; Takenaka, M.; Tsang, H.K.; Goda, K. Focusing subwavelength grating coupler for mid-infrared suspended membrane germanium waveguides. Opt. Lett. 2017, 42, 2094–2097. [Google Scholar] [CrossRef]
- Radosavljevic, S.; Kuyken, B.; Roelkens, G. Efficient 5.2 µm wavelength fiber-to-chip grating couplers for the Ge-on-Si and Ge-on-SOI mid-infrared waveguide platform. Opt. Express 2017, 25, 19034–19042. [Google Scholar] [CrossRef]
- Zaoui, W.S.; Rosa, M.F.; Vogel, W.; Berroth, M.; Butschke, J.; Letzkus, F. Cost-effective CMOS-compatible grating couplers with backside metal mirror and 69% coupling efficiency. Opt. Express 2012, 20, B238–B243. [Google Scholar] [CrossRef] [PubMed]
- Van Laere, F.; Roelkens, G.; Ayre, M.; Schrauwen, J.; Taillaert, D.; van Thourhout, D.; Kraus, T.F.; Baets, R. Compact and highly efficient grating couplers between optical fiber and nanophotonic waveguides. J. Light. Technol. 2007, 25, 151–156. [Google Scholar] [CrossRef]
- Kuo, Y.H.; Lee, Y.K.; Ge, Y.S.; Ren, S.; Roth, J.E.; Kamins, T.I.; Miller, D.A.B.; Harris, J.S. Strong quantum- confined Stark effect in germanium quantum-well structures on silicon. Nature 2005, 437, 1334–1336. [Google Scholar] [CrossRef]
- Chaisakul, P.; Marris-Morini, D.; Frigerio, J.; Chrastina, D.; Rouifed, M.S.; Cecchi, S.; Crozat, P.; Isella, G.; Vivien, L. Integrated germanium optical interconnects on silicon substrates. Nat. Photonics 2014, 8, 482–488. [Google Scholar] [CrossRef]
- Taillaert, D.; Bienstman, P.; Baets, R. Compact efficient broadband grating coupler for silicon-on-insulator waveguides. Opt. Lett. 2004, 29, 2749–2751. [Google Scholar] [CrossRef]
- Halir, R.; Cheben, P.; Janz, S.; Xu, D.; Molina-Fernández, Í.; Wangüemert-Pérez, J.G. Waveguide grating coupler with subwavelength microstructures. Opt. Lett. 2009, 34, 1408–1410. [Google Scholar] [CrossRef]
- Benedikovic, D.; Cheben, P.; Schmid, J.H.; Xu, D.; Lapointe, J.; Wang, S.; Halir, R.; Ortegamonux, A.; Janz, S.; Dado, M. High-efficiency single etch step apodized surface grating coupler using subwavelength structure. Laser Photonics Rev. 2014, 8, L93–L97. [Google Scholar] [CrossRef]
- Guilloy, K.; Pauc, N.; Gassenq, A.; Calvo, V. High aspect ratio germanium nanowires obtained by dry etching. MRS Adv. 2016, 1, 875–880. [Google Scholar] [CrossRef]
- Xu, D.; Schmid, J.H.; Reed, G.T.; Mashanovich, G.Z.; Thomson, D.J.; Nedeljkovic, M.; Chen, X.; van Thourhout, D.; Keyvaninia, S.; Selvaraja, S.K. Silicon Photonic Integration Platform—Have We Found the Sweet Spot? IEEE J. Sel. Top. Quantum Electron. 2014, 20, 189–205. [Google Scholar]
- Erko, A.; Zizak, I. Hard X-ray micro-spectroscopy at Berliner Elektronenspeicherring für Synchrotronstrahlung II. Spectrochim. Acta B 2009, 64, 833–848. [Google Scholar] [CrossRef]












Publisher’s Note: MDPI stays neutral with regard to jurisdictional claims in published maps and institutional affiliations. |
© 2022 by the authors. Licensee MDPI, Basel, Switzerland. This article is an open access article distributed under the terms and conditions of the Creative Commons Attribution (CC BY) license (https://creativecommons.org/licenses/by/4.0/).
Share and Cite
Huang, Q.; Zhang, Y.; Tang, J.; Sun, J. RETRACTED: The Design, Fabrication and Characterization of Grating Couplers for SiGe Photonic Integration Employing a Reflective Back Mirror. Nanomaterials 2022, 12, 3789. https://doi.org/10.3390/nano12213789
Huang Q, Zhang Y, Tang J, Sun J. RETRACTED: The Design, Fabrication and Characterization of Grating Couplers for SiGe Photonic Integration Employing a Reflective Back Mirror. Nanomaterials. 2022; 12(21):3789. https://doi.org/10.3390/nano12213789
Chicago/Turabian StyleHuang, Qiang, Yi Zhang, Jie Tang, and Junqiang Sun. 2022. "RETRACTED: The Design, Fabrication and Characterization of Grating Couplers for SiGe Photonic Integration Employing a Reflective Back Mirror" Nanomaterials 12, no. 21: 3789. https://doi.org/10.3390/nano12213789
APA StyleHuang, Q., Zhang, Y., Tang, J., & Sun, J. (2022). RETRACTED: The Design, Fabrication and Characterization of Grating Couplers for SiGe Photonic Integration Employing a Reflective Back Mirror. Nanomaterials, 12(21), 3789. https://doi.org/10.3390/nano12213789

