Rheological Properties of Engine Oil with Nano-Additives Based on MoS2 Materials
Abstract
:1. Introduction
2. Physicochemical Properties
3. Model of the Non-Isothermal Couette Flow
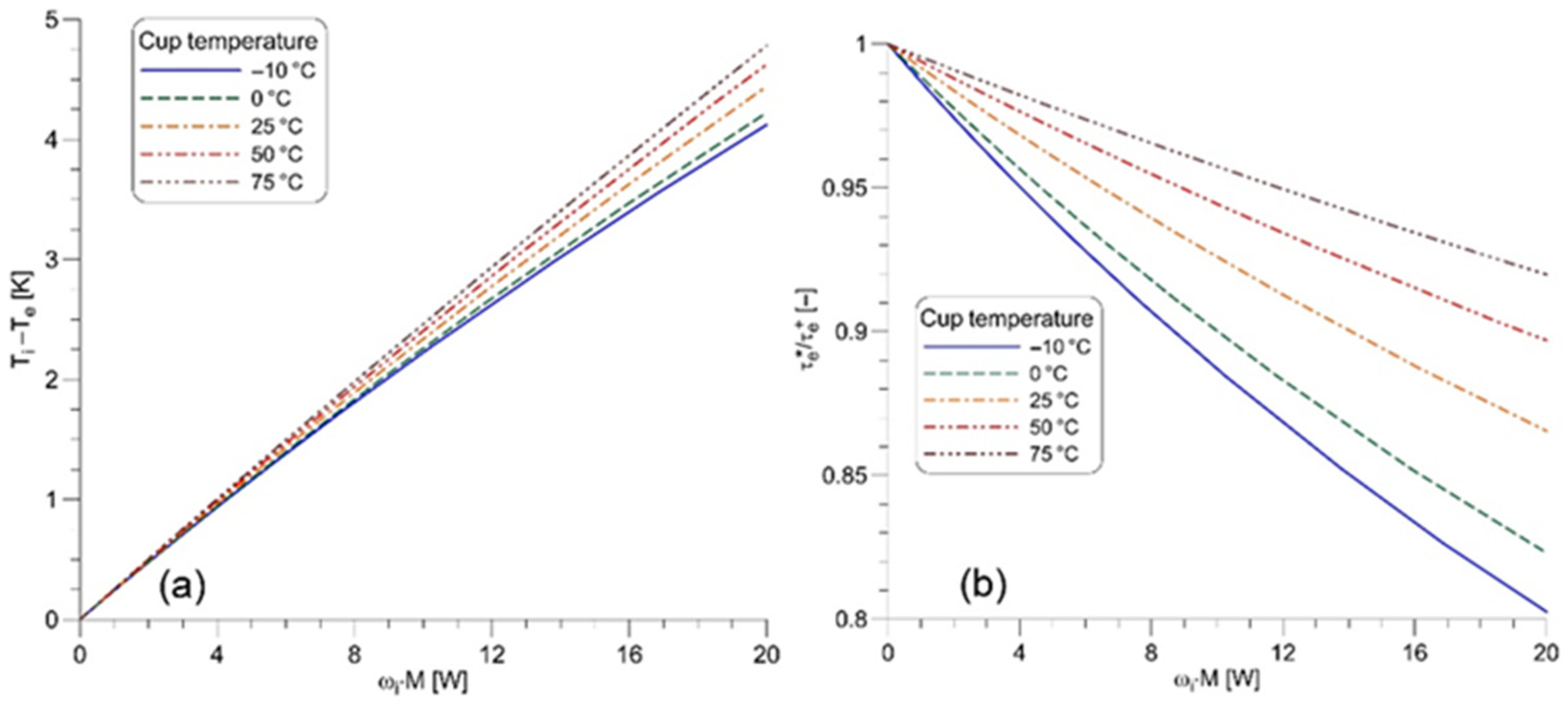
4. Results and Discussion
4.1. Physicochemical Properties
4.2. Model of the Non-Isothermal Couette Flow
5. Conclusions
Author Contributions
Funding
Institutional Review Board Statement
Informed Consent Statement
Data Availability Statement
Conflicts of Interest
References
- Srivastava, I.; Singh, F.; Kotia, A.; Ghosh, S.K. MWCNT and graphene nanoparticles additives for energy efficiency in engine oil with regression modeling. J. Therm. Anal. Calorim. 2020, 147, 73–93. [Google Scholar] [CrossRef]
- Tung, S.C.; McMillan, M.L. Automotive tribology overview of current advances and challenges for the future. Tribol. Int. 2004, 37, 517–536. [Google Scholar] [CrossRef]
- Bovington, C.; Korcek, S.; Sorab, J. The importance of the Stribeck curve in the minimisation of engine friction. Tribol. Ser. 1999, 36, 205–214. [Google Scholar] [CrossRef]
- Yan, S.-R.; Toghraie, D.; Abdulkareem, L.A.; Alizadeh, A.; Barnoon, P.; Afrand, M. The rheological behavior of MWCNTs–ZnO/Water–Ethylene glycol hybrid non-Newtonian nanofluid by using of an experimental investigation. J. Mater. Res. 2020, 9, 8401–8406. [Google Scholar] [CrossRef]
- Ali, M.K.A.; Xianjun, H.; Abdelkareem, M.A.A.; Gulzar, M.; Elsheikh, A.H. Novel approach of the graphene nanolubricant for energy saving via anti-friction/wear in automobile engines. Tribol. Int. 2018, 124, 209–229. [Google Scholar] [CrossRef]
- Vazirisereshk, M.R.; Martini, A.; Strubbe, D.A.; Baykara, M.Z. Solid lubrication with MoS2: A review. Lubricants 2019, 7, 57. [Google Scholar] [CrossRef] [Green Version]
- Zhang, S.; Ma, T.; Erdemir, A.; Li, Q. Tribology of two-dimensional materials: From mechanisms to modulating strategies. Mater. Today 2019, 26, 67–86. [Google Scholar] [CrossRef]
- Uzoma, P.C.; Hu, H.; Khadem, M.; Penkov, O.V. Tribology of 2D nanomaterials: A review. Coatings 2020, 10, 897. [Google Scholar] [CrossRef]
- Zhang, F.X.; Li, C.S.; Zhang, Y.; Tang, H. Tribological property of RGO/MoS2 and CNTs/MoS2 as lubricated oil additives. Rengong Jingti Xuebao/J. Synth. Cryst. 2015, 44, 801–807. [Google Scholar]
- Bojarska, Z.; Kopytowski, J.; Mazurkiewicz-Pawlicka, M.; Bazarnik, P.; Gierlotka, S.; Rożeń, A.; Makowski, Ł. Molybdenum disulfide-based hybrid materials as new types of oil additives with enhanced tribological and rheological properties. Tribol. Int. 2021, 160, 106999. [Google Scholar] [CrossRef]
- Wojtalik, M.; Bojarska, Z.; Makowski, Ł. Experimental studies on the chemical wet synthesis for obtaining high-quality MoS2 nanoparticles using impinging jet reactor. J. Solid State Chem. 2020, 285, 121254. [Google Scholar] [CrossRef]
- Bojarska, Z.; Mazurkiewicz-Pawlicka, M.; Gierlotka, S.; Makowski, Ł. Production and Properties of Molybdenum Disulfide/Graphene Oxide Hybrid Nanostructures for Catalytic Applications. Nanomaterials 2020, 10, 1865. [Google Scholar] [CrossRef] [PubMed]
- Wojtalik, M.; Orciuch, W.; Makowski, Ł. Nucleation and Growth Kinetics of MoS2 Nanoparticles Obtained by Chemical Wet Synthesis in a Jet Reactor. Chem. Eng. Sci. 2020, 225, 115814. [Google Scholar] [CrossRef]
- Wojtas, K.; Makowski, Ł.; Orciuch, W. Barium Sulfate Precipitation in Jet Reactors: Large Eddy Simulations, Kinetics Study and Design Considerations. Chem. Eng. Res. Des. 2020, 158, 64–76. [Google Scholar] [CrossRef]
- Wojtas, K.; Orciuch, W.; Makowski, Ł. Large Eddy Simulations of Reactive Mixing in Jet Reactors of Varied Geometry and Size. Processes 2020, 8, 1101. [Google Scholar] [CrossRef]
- Wojtas, K.; Orciuch, W.; Wysocki, Ł.; Makowski, Ł. Modeling and Experimental Validation of Subgrid Scale Scalar Variance at High Schmidt Numbers. Chem. Eng. Res. Des. 2017, 123, 141–151. [Google Scholar] [CrossRef]
- Makowski, Ł.; Orciuch, W.; Bałdyga, J. Large Eddy Simulations of Mixing Effects on the Course of Precipitation Process. Chem. Eng. Sci. 2012, 77, 85–94. [Google Scholar] [CrossRef]
- Budynas, R.G.; Nisbett, J.K. Shigley’s Mechanical Engineering Design; McGraw-Hill Education: New York, NY, USA, 2020. [Google Scholar]
- Hunter, W.B.; Zienkiewicz, O.C. Effects of Temperature Variation Across the Film in the Theory of Hydrodynamic Lubrication. J. Mech. Eng. Sci. 1960, 2, 52–58. [Google Scholar] [CrossRef]
- Snyder, W.T. Temperature Variation Across the Lubricant Film in Hydrodynamic Lubrication. Appl. Sci. Res. 1965, 14, 1–12. [Google Scholar] [CrossRef]
- Ferguson, J.; Kembłowski, Z. Applied Fluid Rheology; Elsevier Applied Science: London, UK, 1991. [Google Scholar]
- Turian, R.M.; Bird, R.B. Viscous heating in cone-and-plate viscometer II. Chem. Eng. Sci. 1963, 18, 689–696. [Google Scholar] [CrossRef]
- Papathanasiou, T.D. Circular Couette flow of temperature-dependent materials: Asymptotic solutions in the presence of viscous heating. Chem. Eng. Sci. 1997, 52, 2003–2006. [Google Scholar] [CrossRef]
- Bird, R.B.; Stewart, W.E.; Lightfoot, E.N. Transport Phenomena; John Wiley and Sons Inc.: New York, NY, USA, 2002. [Google Scholar]
- Press, W.H.; Teukolski, S.A.; Vetterling, W.T.; Flannery, B.P. Numerical Recipes in C. The Art of Scientific Computing; Cambridge University Press: Cambridge, UK, 1992. [Google Scholar]
- Sulgani, M.T.; Karimipour, A. Improve the thermal conductivity of 10w40-engine oil at various temperatures by addition of Al2O3/Fe2O3 nanoparticles. J. Mol. Liq. 2019, 283, 660–666. [Google Scholar] [CrossRef]
- Shafie, S.; Gul, A.; Khan, I. Molybdenum disulfide nanoparticles suspended in water-based nanofluids with mixed convection and flow inside a channel filled with saturated porous medium. AIP Conf. Proc. 2016, 1775, 030042. [Google Scholar] [CrossRef]
- Hamilton, R.L.; Crosser, O.K. Thermal Conductivity of Heterogeneous Two-Component Systems. Ind. Eng. Chem. Fundam. 1962, 1, 187–191. [Google Scholar] [CrossRef]
- Štěpánek, A. The temperature field in the rotational rheometers and flow curve correction for viscous dissipation. Appl. Sci. Res. 1985, 42, 15–31. [Google Scholar] [CrossRef]






| Engine Oil | ||||||
|---|---|---|---|---|---|---|
| Without MoS2 | 1 wt.% Reference MoS2 | 1 wt.% Synthesized MoS2 | 1 wt.% MoS2/GO | 1 wt.% MoS2/rGO | 1 wt.% MoS2/CNTs | |
| a | −6.3286 × 10−4 | −6.3482 × 10−4 | −6.2968 × 10−4 | −6.3375 × 10−4 | −6.1825 × 10−4 | −6.3189 × 10−4 |
| b | 1.0477 | 1.0518 | 1.0496 | 1.0487 | 1.0440 | 1.0487 |
| R2 | 0.999999 | 0.999995 | 0.999959 | 0.999996 | 0.999665 | 0.999998 |
| A | 1.5617 | 1.4982 | 2.3823 | 2.1193 | 2.0400 | 1.9094 |
| B | 5.9018 × 10−4 | 1.6111 × 10−3 | −3.5117 × 10−3 | −2.1927 × 10−3 | −1.4000 × 10−3 | −1.1446 × 10−3 |
| C | 4.4437 × 10−6 | 3.0218 × 10−6 | 1.0141 × 10−5 | 8.2476 × 10−6 | 5.9712 × 10−6 | 6.8309 × 10−6 |
| D | 0 | 0 | 0 | 0 | 0 | 0 |
| Temperature [°C] | k [Pa·sn] | n [/] | Correlation Coefficient |
|---|---|---|---|
| −10 | 2.363 | 0.930 | 0.9997 |
| 0 | 1.036 | 0.939 | 0.9991 |
| 25 | 0.2100 | 0.950 | 0.9997 |
| 50 | 0.06695 | 0.956 | 0.9999 |
| 75 | 0.02804 | 0.966 | 0.9995 |
| Engine Oil 10W40 | a0 [/] | a1 [K] | a2 [K2] | Correlation Coefficient |
|---|---|---|---|---|
| without MoS2 | −1.250 | −1.747 × 103 | 5.720 × 105 | 1.0000 |
| 1 wt.% reference MoS2 | −0.6319 | −2.170 × 103 | 6.400 × 105 | 0.9998 |
| 1 wt.% synthesized MoS2 | −2.343 | −9.517 × 102 | 4.369 × 105 | 1.0000 |
| 1 wt.% MoS2/GO | −0.6348 | −2.146 × 103 | 6.338 × 105 | 1.0000 |
| 1 wt.% MoS2/rGO | −0.7899 | −2.031 × 103 | 6.144 × 105 | 1.0000 |
| 1 wt.% MoS2/CNTs | −1.994 | −1.272 × 103 | 4.976 × 105 | 1.0000 |
| Engine Oil 10W40 | b0 [/] | b1 [1/K] | b2 [1/K2] | Correlation Coefficient |
|---|---|---|---|---|
| without MoS2 | 0.6386 | 1.649 × 10−3 | −2.041 × 10−6 | 0.9853 |
| 1 wt.% reference MoS2 | 0.5347 | 2.285 × 10−3 | −2.917 × 10−6 | 0.9827 |
| 1 wt.% synthesized MoS2 | 1.0872 | −1.145 × 10−3 | 2.142 × 10−6 | 0.9947 |
| 1 wt.% MoS2/GO | −0.1944 | 4.504 × 10−3 | −6.528 × 10−6 | 0.9851 |
| 1 wt.% MoS2/rGO | 0.2720 | 3.991 × 10−3 | −5.714 × 10−6 | 0.9913 |
| 1 wt.% MoS2/CNTs | 0.7343 | 9.526 × 10−4 | −8.431 × 10−7 | 0.9986 |
Publisher’s Note: MDPI stays neutral with regard to jurisdictional claims in published maps and institutional affiliations. |
© 2022 by the authors. Licensee MDPI, Basel, Switzerland. This article is an open access article distributed under the terms and conditions of the Creative Commons Attribution (CC BY) license (https://creativecommons.org/licenses/by/4.0/).
Share and Cite
Makowski, Ł.; Bojarska, Z.; Rożeń, A. Rheological Properties of Engine Oil with Nano-Additives Based on MoS2 Materials. Nanomaterials 2022, 12, 581. https://doi.org/10.3390/nano12040581
Makowski Ł, Bojarska Z, Rożeń A. Rheological Properties of Engine Oil with Nano-Additives Based on MoS2 Materials. Nanomaterials. 2022; 12(4):581. https://doi.org/10.3390/nano12040581
Chicago/Turabian StyleMakowski, Łukasz, Zuzanna Bojarska, and Antoni Rożeń. 2022. "Rheological Properties of Engine Oil with Nano-Additives Based on MoS2 Materials" Nanomaterials 12, no. 4: 581. https://doi.org/10.3390/nano12040581
APA StyleMakowski, Ł., Bojarska, Z., & Rożeń, A. (2022). Rheological Properties of Engine Oil with Nano-Additives Based on MoS2 Materials. Nanomaterials, 12(4), 581. https://doi.org/10.3390/nano12040581

