Multicolor Tunable Electrochromic Materials Based on the Burstein–Moss Effect
Abstract
1. Introduction
2. Calculation Methods
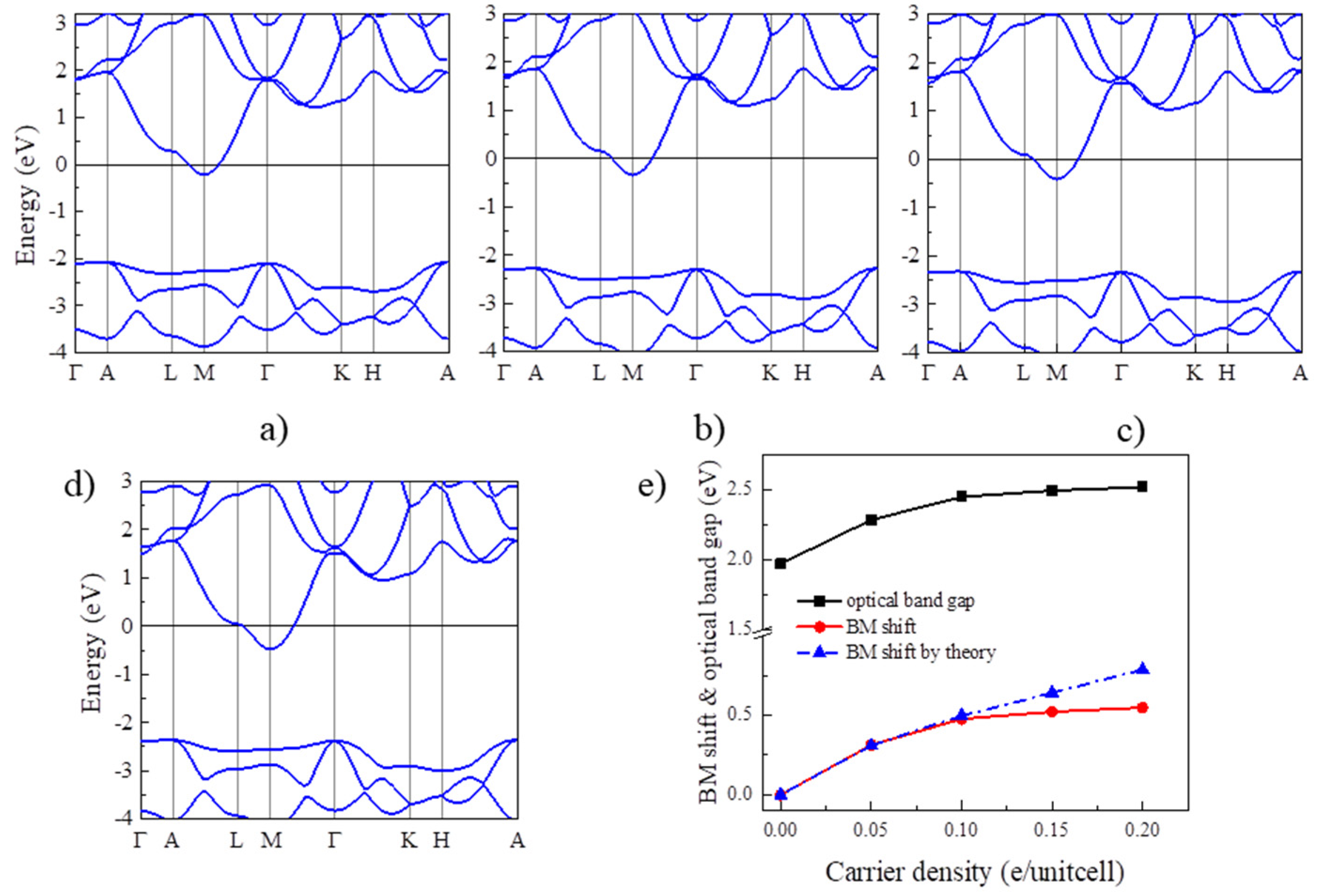
3. Results and Discussion
4. Conclusions
Author Contributions
Funding
Institutional Review Board Statement
Informed Consent Statement
Data Availability Statement
Acknowledgments
Conflicts of Interest
References
- Granqvist, C.G. Electrochromic materials: Out of a niche. Nat. Mater. 2006, 5, 89–90. [Google Scholar] [CrossRef] [PubMed]
- Cai, G.F.; Wang, J.X.; Lee, P.S. Next-Generation Multifunctional Electrochromic Devices. Accounts. Chem. Res. 2016, 49, 1469–1476. [Google Scholar] [CrossRef] [PubMed]
- Rai, V.; Singh, R.S.; Blackwood, D.J.; Dong, Z.L. A Review on Recent Advances in Electrochromic Devices: A Material Approach. Adv. Eng. Mater. 2020, 22, 2000082. [Google Scholar] [CrossRef]
- Chen, X.; Mao, S. Titanium dioxide nanomaterials: Synthesis, properties, modifications, and applications. Chem. Rev. 2007, 107, 2891–2959. [Google Scholar] [CrossRef]
- Wojcik, P.J.; Cruz, A.S.; Santos, L.; Pereira, L.; Martins, R.; Fortunato, E. Microstructure control of dual-phase inkjet-printed a-WO3/TiO2/WOX films for high-performance electrochromic applications. J. Mater. Chem. 2012, 22, 13268–13278. [Google Scholar] [CrossRef]
- Lee, S.; Deshpande, R.; Parilla, P.; Jones, K.; To, B.; Mahan, A.; Dillon, A. crystalline WO3 nanoparticles for highly improved electrochromic applications. Adv. Mater. 2006, 18, 763. [Google Scholar] [CrossRef]
- Wojcik, P.J.; Santos, L.; Pereira, L.; Martins, R.; Fortunato, E. Tailoring nanoscale properties of tungsten oxide for inkjet printed electrochromic devices. Nanoscale 2015, 7, 1696–1708. [Google Scholar] [CrossRef]
- Grey, P.; Pereira, L.; Pereira, S.; Barquinha, P.; Cunha, I.; Martins, R.; Fortunato, E. Electrochemical WO3 Transistors with High Current Modulation. Adv. Electron. Mater. 2016, 2, 1500414. [Google Scholar] [CrossRef]
- Dov, N.E.; Shankar, S.; Cohen, D.; Bendikov, T.; Rechav, K.; Shimon, L.J.W.; Lahav, M.; van der Boom, M.E. Electrochromic metallo-organic nanoscale films: Fabrication, color range, and devices. J. Am. Chem. Soc. 2017, 139, 11471–11481. [Google Scholar]
- Rai, V.; Tiwari, N.; Rajput, M.; Joshi, S.; Nguyen, A.; Mathews, N. Reversible electrochemical silver deposition over large areas for smart windows and information display. Electrochim. Acta 2017, 255, 63–71. [Google Scholar] [CrossRef]
- Gillaspie, D.; Tenent, R.; Dillon, A. Metal-oxide films for electrochromic applications: Present technology and future directions. J. Mater. Chem. 2010, 20, 9585. [Google Scholar] [CrossRef]
- Cai, G.; Eh, A.; Ji, L.; Lee, P. Recent advances in electrochromic smart fenestration. Adv. Sustain. Syst. 2017, 1, 1700074. [Google Scholar] [CrossRef]
- Vyomesh, R.; Amit, K.; Sushant, K. Review on electrochromic property for WO3 thin films using different deposition techniques. Mater. Today Proc. 2016, 3, 1429–1437. [Google Scholar]
- Lee, Y.; Yun, J.; Seo, M.; Kim, S.; Oh, J.; Kang, C.; Sun, H.; Chung, T.; Lee, B. Full-color-tunable nanophotonic device using electrochromic tungsten trioxide thin film. Nano Lett. 2020, 20, 6084–6090. [Google Scholar] [CrossRef] [PubMed]
- Wang, Z.; Wang, X.; Cong, S.; Chen, J.; Sun, H.; Chen, Z.; Song, G.; Geng, F.; Chen, Q.; Zhao, Z. Towards full-colour tunability of inorganic electrochromic devices using ultracompact fabry-perot nanocavities. Nat. Commun. 2020, 11, 302. [Google Scholar] [CrossRef]
- Li, N.; Wei, P.; Yu, L.; Ji, J.; Zhao, J.; Gao, C.; Li, Y.; Yin, D. Dynamically switchable multicolor electrochromic films. Small 2019, 15, e1804974. [Google Scholar] [CrossRef]
- Tsuboi, A.; Nakamura, K.; Kobayashi, N. Multicolor electrochromism showing three primary color states(cyan magenta yellow) based on size-and shape-controlled silver nanoparticles. Chem. Mater. 2014, 26, 6477–6485. [Google Scholar] [CrossRef]
- Xiao, L.; Lv, Y.; Lin, J.; Hu, Y.; Dong, W.; Guo, X.; Fan, Y.; Zhang, N.; Zhao, J.; Wang, Y.; et al. WO3-based electrochromic distributed bragg reflector: Toward electrically tunable microcavity luminescent device. Adv. Opt. Mater. 2018, 6, 1700791. [Google Scholar] [CrossRef]
- Mortimer, R. Organic electrochromic materials. Electrochim. Acta 1999, 44, 2971–2981. [Google Scholar] [CrossRef]
- Banasz, R.; Wałesa-Chorab, M. Polymeric complexes of transition metal ions as electrochromic materials: Synthesis and properties. Coordin. Chem. Rev. 2019, 389, 1–18. [Google Scholar] [CrossRef]
- Bessinger, D.; Muggli, K.; Beetz, M.; Auras, F.; Bein, T. Fast-Switching Vis-IR Electrochromic Covalent Organic Frameworks. J. Am. Chem. Soc. 2021, 142, 7351–7357. [Google Scholar] [CrossRef] [PubMed]
- Burstein, E.; Davisson, J.; Bell, E.; Turnre, W.; Lipson, H. Infrared photoconductivity due to neutral impurities in germanium. Phys. Rev. 1954, 93, 65–68. [Google Scholar] [CrossRef]
- Moss, T. The interpretation of the properties of Indium antimonide. Proc. Phys. Soc. B 1954, 67, 775–782. [Google Scholar] [CrossRef]
- Berggren, K.; Sernelius, B.; Engstrm, L.; Hamberg, I.; Granqvist, C. Bandgap widening in heavily Sn-daped In2O3. Phys. Rev. B 1985, 30, 3240. [Google Scholar]
- Kresse, G.; Hafner, J. Ab initio molecular dynamics for open-shell transition metals. Phys. Rev. B 1993, 48, 13115. [Google Scholar] [CrossRef]
- Kresse, G.; Furthmüller, J. Efficient iterative schemes for ab initio total-energy calculations using a plane-wave basis set. Phys. Rev. B 1996, 54, 11169. [Google Scholar] [CrossRef]
- Perdew, J.; Burke, K.; Ernzerhof, M. Generalized Gradient Approximation Made Simple. Phys. Rev. Lett. 1996, 77, 3865. [Google Scholar] [CrossRef]
- Blöchl, P. Projector augmented-wave method. Phys. Rev. B 1994, 50, 17953. [Google Scholar] [CrossRef]
- Heyd, J.; Scuseria, G.E.; Ernzerhof, M. Hybrid Functionals Based on a Screened Coulomb Potential. J. Chem. Phys. 2003, 118, 8207–8215. [Google Scholar] [CrossRef]
- Gajdoš, M.; Hummer, K.; Kresse, G.; Furthmüller, J.; Bechstedt, F. Linear optical properties in the projector-augmented wave methodology. Phys. Rev. B 2006, 73, 045112. [Google Scholar] [CrossRef]
- Lee, K.H.; Chang, K.J. First-principles study of the optical properties and the dielectric response of Al. Phys. Rev. B 1994, 49, 2362. [Google Scholar] [CrossRef] [PubMed]
- Maeda, K.; Wakayama, H.; Washio, Y.; Ishikawa, A.; Okazaki, M.; Nakata, H.; Matsuishi, S. Visible-light-induced photocatalytic activity of stacked MXene sheets of Y2CF2. J. Phys. Chem. C 2020, 124, 14640–14645. [Google Scholar] [CrossRef]
- Druffel, D.; Lanetti, M.; Sundberg, J.; Pawlik, J.; Stark, M.; Donley, C.; McRae, L.; Scott, K.; Warren, S. Synthesis and electronic structure of a 3D crystalline stack of MXene-like sheets. Chem. Mater. 2019, 31, 9788–9796. [Google Scholar] [CrossRef]
- Smith, T.; Guild, J. The C.I.E. colorimetric standards and their use. Trans. Opt. Soc. 1931, 33, 73. [Google Scholar] [CrossRef]
- Ueno, K.; Nakamura, S.; Shimotani, H.; Ohtomo, A.; Kimura, N.; Nojima, T.; Aoki, H.; Iwasa, Y.; Kawasaki, M. Electric-field-induced superconductivity in an insulator. Nat. Mater. 2008, 7, 855. [Google Scholar] [CrossRef]
- Scherwitzl, R.; Zubko, P.; Lezama, I.; Ono, S.; Morpurgo, A.; Catalan, G.; Triscone, J. Electric-field control of the metal-insulator transition in ultrathin NdNiO3 films. Adv. Mater. 2010, 22, 5517–5520. [Google Scholar] [CrossRef]
- Di, Y.; Wang, Y.; Erve, O.; Xu, L.; Yuan, H.; Michael, J.; Purnima, P.; Choi, Y.; Alpha, T.; Padraic, S.; et al. Emergent electric field control of phase transformation in oxide superlattices. Nat. Commun. 2020, 11, 902. [Google Scholar]
- Luther, J.; Jain, P.; Ewers, T.; Alivisatos, A. Localized surface plasmon resonances arising from free carriers in doped quantum dots. Nat. Mater. 2011, 10, 361–366. [Google Scholar] [CrossRef]
- Llordes, A.; Garcia, G.; Gazquez, J.; Milliron, D. Tunable near-infrared and visible-light transmittance in nanocrystal-in-glass composites. Nature 2013, 500, 323–326. [Google Scholar] [CrossRef]
- Cots, A.; Dicorato, S.; Giovannini, L.; Favoino, F.; Manca, M. Energy effcient smart plasmochromic windows: Properties, manufacturing and integration in insulating glazing. Nano Energy 2021, 84, 105894. [Google Scholar] [CrossRef]
- Zhang, S.; Cao, S.; Zhang, T.; Lee, J. Plasmonic oxygen-defcient TiO2−x nanocrystals for dual-band electrochromic smart windows with efcient energy recycling. Adv. Mater. 2020, 32, 2004686. [Google Scholar] [CrossRef] [PubMed]
- Barawi, M.; Veramonti, G.; Epifani, M.; Giannuzzi, R.; Sibillano, T.; Giannini, C.; Rougier, A.; Manca, M. A dual band electrochromic device switchable across four distinct optical modes. J. Mater. Chem. A 2018, 6, 10201. [Google Scholar] [CrossRef]
- Martinez-Gazoni, A.M.; Reeves, R. Conductivity and transparency limits of Sb-doped SnO2 grown by molecular beam epitaxy. Phys. Rev. B 2018, 98, 155308. [Google Scholar] [CrossRef]






| Disclaimer/Publisher’s Note: The statements, opinions and data contained in all publications are solely those of the individual author(s) and contributor(s) and not of MDPI and/or the editor(s). MDPI and/or the editor(s) disclaim responsibility for any injury to people or property resulting from any ideas, methods, instructions or products referred to in the content. | 
© 2023 by the authors. Licensee MDPI, Basel, Switzerland. This article is an open access article distributed under the terms and conditions of the Creative Commons Attribution (CC BY) license (https://creativecommons.org/licenses/by/4.0/).
Share and Cite
Zhou, X.; Huang, E.; Zhang, R.; Xiang, H.; Zhong, W.; Xu, B. Multicolor Tunable Electrochromic Materials Based on the Burstein–Moss Effect. Nanomaterials 2023, 13, 1580. https://doi.org/10.3390/nano13101580
Zhou X, Huang E, Zhang R, Xiang H, Zhong W, Xu B. Multicolor Tunable Electrochromic Materials Based on the Burstein–Moss Effect. Nanomaterials. 2023; 13(10):1580. https://doi.org/10.3390/nano13101580
Chicago/Turabian StyleZhou, Xia, Enhui Huang, Rui Zhang, Hui Xiang, Wenying Zhong, and Bo Xu. 2023. "Multicolor Tunable Electrochromic Materials Based on the Burstein–Moss Effect" Nanomaterials 13, no. 10: 1580. https://doi.org/10.3390/nano13101580
APA StyleZhou, X., Huang, E., Zhang, R., Xiang, H., Zhong, W., & Xu, B. (2023). Multicolor Tunable Electrochromic Materials Based on the Burstein–Moss Effect. Nanomaterials, 13(10), 1580. https://doi.org/10.3390/nano13101580
 
        

