Influence of Different Carrier Gases, Temperature, and Partial Pressure on Growth Dynamics of Ge and Si Nanowires
Abstract
:1. Introduction
2. Materials and Methods
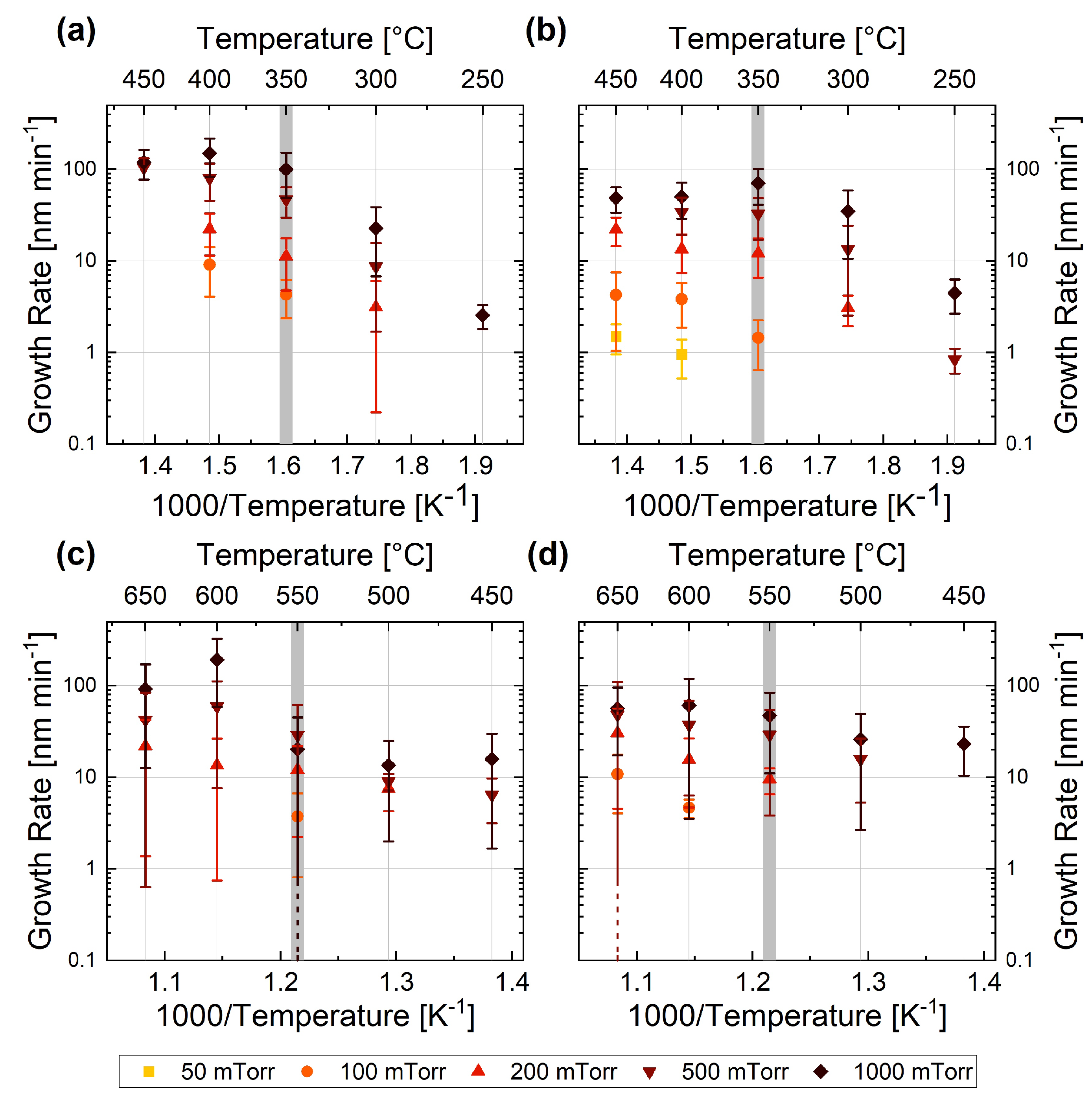
3. Results and Discussion
4. Conclusions
Author Contributions
Funding
Data Availability Statement
Acknowledgments
Conflicts of Interest
Abbreviations
| Ar | Argon |
| CMOS | Complementary Metal Oxide Semiconductor |
| CVD | Chemical Vapour Deposition |
| Ge | Germanium |
| Germane | |
| Hydrogen | |
| NW | Nanowire |
| SEM | Scanning Electron Microscope |
| Silane | |
| Si | Silicon |
| VLS | Vapour–Liquid–Solid |
References
- Thombare, S.V. Kinetics of germanium nanowire growth by the vapor-solid-solid mechanism with a Ni-based catalyst. APL Mater. 2013, 1, 061101. [Google Scholar] [CrossRef]
- Ray, S.K. One-dimensional Si/Ge nanowires and their heterostructures for multifunctional applications—A review. Nanotechnology 2017, 28, 092001. [Google Scholar] [CrossRef] [PubMed]
- Amato, M. Silicon–Germanium Nanowires: Chemistry and Physics in Play, from Basic Principles to Advanced Applications. Chem. Rev. 2014, 114, 1371–1412. [Google Scholar] [CrossRef] [PubMed]
- Hiller, D. Group-IV Semiconductor Materials for Nanoelectronics and Cryogenic Electronics. Phys. Status Solidi A 2023, 220, 2300429. [Google Scholar] [CrossRef]
- Conesa-Boj, S. Boosting hole mobility in coherently strained [110]-oriented Ge–Si core–shell nanowires. Nano Lett. 2017, 17, 2259–2264. [Google Scholar] [CrossRef]
- Lauhon, L.J. Epitaxial core–shell and core–multishell nanowire heterostructures. Nature 2002, 420, 57–61. [Google Scholar] [CrossRef]
- Baraban, L. Hybrid silicon nanowire devices and their functional diversity. Adv. Sci. 2019, 6, 1900522. [Google Scholar] [CrossRef]
- Jia, C. Nanowire electronics: From nanoscale to macroscale. Adv. Sci. 2019, 119, 9074–9135. [Google Scholar] [CrossRef]
- LaPierre, R.R. III–V nanowire photovoltaics: Review of design for high efficiency. Phys. Status Solidi (RRL) Rapid Res. Lett. 2013, 7, 815–830. [Google Scholar] [CrossRef]
- Peng, K.-Q. Silicon nanowires for photovoltaic solar energy conversion. Adv. Mater. 2011, 23, 198–215. [Google Scholar] [CrossRef]
- Raman, S. Advances in silicon nanowire applications in energy generation, storage, sensing, and electronics: A review. Nanotechnology 2023, 34, 182001. [Google Scholar] [CrossRef] [PubMed]
- Schmid, H. Patterned epitaxial vapor-liquid-solid growth of silicon nanowires on Si (111) using silane. J. Appl. Phys. 2008, 103, 8972–9073. [Google Scholar] [CrossRef]
- Froning, F.N.M. Single, double, and triple quantum dots in Ge/Si nanowires. Appl. Phys. Lett. 2018, 113, 073102. [Google Scholar] [CrossRef]
- Rosenberg, E. Germanium: Environmental occurrence, importance and speciation. Rev. Environ. Sci. Bio/Technol. 2009, 8, 29–57. [Google Scholar] [CrossRef]
- Cui, Y. High performance silicon nanowire field effect transistors. Nano Lett. 2003, 3, 149–152. [Google Scholar] [CrossRef]
- Huang, Z. Microstructured silicon photodetector. Appl. Phys. Lett. 2006, 89, 033506. [Google Scholar] [CrossRef]
- Yu, B. One-dimensional germanium nanowires for future electronics. J. Clust. Sci. 2006, 17, 579–597. [Google Scholar] [CrossRef]
- Wang, D. Low-temperature synthesis of single-crystal germanium nanowires by chemical vapor deposition. Angew. Chem. Int. Ed. 2002, 41, 4783–4786. [Google Scholar] [CrossRef]
- Sistani, M. Polarity control in ge nanowires by electronic surface doping. J. Phys. Chem. C 2020, 124, 19858–19863. [Google Scholar] [CrossRef]
- Echresh, A. Electrical Characterization of Germanium Nanowires Using a Symmetric Hall Bar Configuration: Size and Shape Dependence. Nanomaterials 2021, 11, 2917. [Google Scholar] [CrossRef]
- Zhang, S. Relative influence of surface states and bulk impurities on the electrical properties of Ge nanowires. Nano Lett. 2009, 9, 3268–3274. [Google Scholar] [CrossRef] [PubMed]
- Das, K. Single Si nanowire (diameter ≤ 100 nm) based polarization sensitive near-infrared photodetector with ultra-high responsivity. Nanoscale 2014, 6, 11232–11239. [Google Scholar] [CrossRef] [PubMed]
- Mondal, S.P. Enhanced broadband photoresponse of Ge/CdS nanowire radial heterostructures. Appl. Phys. Lett. 2009, 94, 223119. [Google Scholar] [CrossRef]
- Liu, C. Semiconductor nanowires for artificial photosynthesis. Chem. Mater. 2014, 26, 415–422. [Google Scholar] [CrossRef]
- Li, Y. Emerging of heterostructure materials in energy storage: A review. Adv. Mater. 2021, 33, 2100855. [Google Scholar] [CrossRef]
- Kloeffel, C. Strong spin-orbit interaction and helical hole states in Ge/Si nanowires. Phys. Rev. B 2011, 84, 195314. [Google Scholar] [CrossRef]
- Froning, F.N.M. Strong spin-orbit interaction and g-factor renormalization of hole spins in Ge/Si nanowire quantum dots. Phys. Rev. Res. 2021, 3, 013081. [Google Scholar] [CrossRef]
- Giordano, S. The germanium quantum information route. Nat. Rev. Mater. 2021, 6, 926–943. [Google Scholar]
- Aliano, A. Ab initio DFT simulations of nanostructures. In Encyclopedia of Nanotechnology; Springer: Dordrecht, The Netherlands, 2012; pp. 11–17. [Google Scholar]
- Amato, M. SiGe nanowires: Structural stability, quantum confinement, and electronic properties. Phys. Rev. B 2009, 80, 235333. [Google Scholar] [CrossRef]
- Jiménez-Sánchez, R. Theoretical study of [111]-germanium nanowires as anode materials in rechargeable batteries: A density functional theory approach. Rev. Mex. Física 2023, 69, 031604. [Google Scholar] [CrossRef]
- Wang, Z. Strain Release Enabled Bandgap Scaling in Ge Nanowire and Tunnel FET Application. IEEE Trans. Electron Devices 2022, 69, 4725–4729. [Google Scholar] [CrossRef]
- Liu, S. Performance Limit of Gate-All-Around Si Nanowire Field-Effect Transistors: An Ab Initio Quantum Transport Simulation. Phys. Rev. Appl. 2022, 18, 054089. [Google Scholar] [CrossRef]
- Ng, M.-F. Theoretical investigation of silicon nanowires: Methodology, geometry, surface modification, and electrical conductivity using a multiscale approach. Phys. Rev. B 2007, 76, 155435. [Google Scholar] [CrossRef]
- Van de Walle, C.G. Theoretical study of Si/Ge interfaces. J. Abbr. 1985, 3, 1256–1259. [Google Scholar] [CrossRef]
- Van de Walle, C.G. Theoretical calculations of heterojunction discontinuities in the Si/Ge system. Phys. Rev. B 1986, 34, 5621. [Google Scholar] [CrossRef]
- Sarigiannidou, E. Hydrogen passivated V Zn- Ga Zn complexes as major defects in Ga-doped ZnO nanowires evidenced by X-ray linear dichroism and density functional theory. Phys. Rev. Mater. 2023, 7, 076001. [Google Scholar] [CrossRef]
- Nouri, N. A First-Principles study on the electronic and optical properties of ZnO nanowires toward detection of α-Amino acids. J. Photochem. Photobiol. A Chem. 2023, 10, 115237. [Google Scholar] [CrossRef]
- Saraswathy Vilasam, A.G. Epitaxial Growth of GaAs Nanowires on Synthetic Mica by Metal–Organic Chemical Vapor Deposition. ACS Appl. Mater. Interfaces 2022, 14, 3395–3403. [Google Scholar] [CrossRef]
- Moreno-Velarde, F. DFT Study on the Enhancement of Isobaric Specific Heat of GaN and InN Nanosheets for Use as Nanofluids in Solar Energy Plants. J. Abbr. 2023, 16, 915. [Google Scholar] [CrossRef]
- Yang, L. Quantum confinement effect in Si/Ge core-shell nanowires: First-principles calculations. Phys. Rev. B 2008, 77, 195325. [Google Scholar] [CrossRef]
- Nduwimana, A. Spatial carrier confinement in core- shell and multishell nanowire heterostructures. Nano Lett. 2008, 8, 3341–3344. [Google Scholar] [CrossRef] [PubMed]
- Amato, M. Band-offset driven efficiency of the doping of SiGe core- shell nanowires. Nano Lett. 2011, 11, 594–598. [Google Scholar] [CrossRef]
- Soussi, A. A DFT theoretical and experimental study of the effect of indium doping within electrochemical deposited ZnO. Vacuum 2023, 217, 112503. [Google Scholar]
- Lee, H. Single-impurity scattering and carrier mobility in doped Ge/Si core- shell nanowires. Nano Lett. 2010, 10, 2207–2210. [Google Scholar] [CrossRef] [PubMed]
- Amato, M. Electron transport in SiGe alloy nanowires in the ballistic regime from first-principles. Nano Lett. 2012, 12, 2717–2721. [Google Scholar] [CrossRef] [PubMed]
- Zhang, L. Genomic design of strong direct-gap optical transition in Si/Ge core/multishell nanowires. Nano Lett. 2012, 12, 984–991. [Google Scholar] [CrossRef]
- Migas, D.B. Structural, electronic, and optical properties of <001>-oriented SiGe nanowires. Phys. Rev. B 2007, 76, 035440. [Google Scholar]
- Wolfsteller, A. Comparison of the top-down and bottom-up approach to fabricate nanowire-based silicon/germanium heterostructures. Thin Solid Film. 2010, 518, 2555–2561. [Google Scholar] [CrossRef]
- Abid, N. Synthesis of nanomaterials using various top-down and bottom-up approaches, influencing factors, advantages, and disadvantages: A review. Adv. Colloid Interface Sci. 2022, 300, 102597. [Google Scholar] [CrossRef]
- McIntyre, P.C. Semiconductor nanowires: To grow or not to grow? Mater. Today Nano 2020, 9, 100058. [Google Scholar] [CrossRef]
- Westwater, J. Si nanowires grown via the vapour–liquid–solid reaction. Nphysica Status Solidi A 1998, 165, 37–42. [Google Scholar] [CrossRef]
- Wu, Y. Controlled growth and structures of molecular-scale silicon nanowires. Nano Lett. 2004, 4, 433–436. [Google Scholar] [CrossRef]
- Cui, Y. Diameter-controlled synthesis of single-crystal silicon nanowires. Appl. Phys. Lett. 2001, 78, 2214–2216. [Google Scholar] [CrossRef]
- Westwater, J. Growth of silicon nanowires via gold/silane vapor–liquid–solid reaction. J. Vac. Sci. Technol. Microelectron. Nanometer Struct. Process. Meas. Phenom. 1997, 15, 554–557. [Google Scholar] [CrossRef]
- Wagner, R.S. Vapor-liquid-solid mechanism of single crystal growth. Appl. Phys. Lett. 1964, 4, 89–90. [Google Scholar] [CrossRef]
- Glas, F. Strain in nanowires and nanowire heterostructures. In Semiconductors and Semimetals; Elsevier: Amsterdam, The Netherlands, 2015; Volume 93, pp. 79–123. [Google Scholar]
- Glas, F. Critical dimensions for the plastic relaxation of strained axial heterostructures in free-standing nanowires. Phys. Rev. B 2006, 74, 121302. [Google Scholar] [CrossRef]
- Algra, R.E. Crystal structure transfer in core/shell nanowires. Nano Lett. 2011, 11, 1690–1694. [Google Scholar] [CrossRef]
- Arif, O. GaAs/GaP superlattice nanowires: Growth, vibrational and optical properties. Nanoscale 2023, 15, 1145–1153. [Google Scholar] [CrossRef]
- Wagner, R.S. The vapor-liquid-solid mechanism of crystal growth and its application to silicon. Trans. Metallur. Soc. AIME 1965, 233, 1053–1064. [Google Scholar]
- Duan, X. Indium phosphide nanowires as building blocks for nanoscale electronic and optoelectronic devices. Nature 2001, 409, 66–69. [Google Scholar] [CrossRef]
- Gudiksen, M.S. Growth of nanowire superlattice structures for nanoscale photonics and electronics. Nature 2002, 415, 617–620. [Google Scholar] [CrossRef] [PubMed]
- Bootsma, G.A. A quantitative study on the growth of silicon whiskers from silane and germanium whiskers from germane. J. Cryst. Growth 1971, 10, 223–234. [Google Scholar] [CrossRef]
- Ross, F.M. Controlling nanowire structures through real time growth studies. Rep. Prog. Phys. 2010, 73, 114501. [Google Scholar] [CrossRef]
- Kodambaka, S. Diameter-independent kinetics in the vapor-liquid-solid growth of Si nanowires. Phys. Rev. Lett. 2006, 96, 096105. [Google Scholar] [CrossRef] [PubMed]
- Kwak, D.W. Dimensional evolution of silicon nanowires synthesized by Au–Si island-catalyzed chemical vapor deposition. Phys. E Low-Dimens. Syst. Nanostructures 2007, 37, 153–157. [Google Scholar] [CrossRef]
- Yu, J.-Y. Silicon nanowires: Preparation, device fabrication, and transport properties. J. Phys. Chem. B 2000, 104, 11864–11870. [Google Scholar] [CrossRef]
- Gangloff, L. Self-aligned, gated arrays of individual nanotube and nanowire emitters. Nano Lett. 2004, 4, 1575–1579. [Google Scholar] [CrossRef]
- Dayeh, S. Direct observation of nanoscale size effects in Ge semiconductor nanowire growth. Nano Lett. 2010, 10, 4032–4039. [Google Scholar] [CrossRef]
- Kim, J.H. Taper-free and vertically oriented Ge nanowires on Ge/Si substrates grown by a two-temperature process. Cryst. Growth Des. 2012, 12, 135–141. [Google Scholar] [CrossRef]
- Huo, D. One-dimensional metal nanostructures: From colloidal syntheses to applications. Chem. Rev. 2019, 119, 8972–9073. [Google Scholar] [CrossRef]
- Engbers, S. Understanding the Surprising Oxidation Chemistry of Au- OH Complexes. ChemPhysChem 2023, 24, e202200475. [Google Scholar] [CrossRef] [PubMed]
- Latu-Romain, L. Growth parameters and shape specific synthesis of silicon nanowires by the VLS method. J. Nanoparticle Res. 2008, 10, 1287–1291. [Google Scholar] [CrossRef]
- Pinion, C.W. Identifying crystallization-and incorporation-limited regimes during vapor–liquid–solid growth of Si nanowires. ACS Nano 2014, 8, 6081–6088. [Google Scholar] [CrossRef]
- Ressel, B. Wetting of Si surfaces by Au–Si liquid alloys. J. Appl. Phys. 2003, 93, 3886–3892. [Google Scholar] [CrossRef]
- Elliott, R.P. The Au- Ge system (Gold-Germanium). Bull. Alloy. Phase Diagr. 1980, 1, 51–54. [Google Scholar] [CrossRef]
- Adhikari, H. Germanium nanowire epitaxy: Shape and orientation control. Nano Lett. 2006, 6, 318–323. [Google Scholar] [CrossRef]
- Chou, Y.-C. Controlling the growth of Si/Ge nanowires and heterojunctions using silver–gold alloy catalysts. ACS Nano 2012, 6, 6407–6415. [Google Scholar] [CrossRef]
- O’Regan, C. Recent advances in the growth of germanium nanowires: Synthesis, growth dynamics and morphology control. J. Mater. Chem. C 2014, 2, 14–33. [Google Scholar] [CrossRef]
- Woodruff, J.H. Vertically oriented germanium nanowires grown from gold colloids on silicon substrates and subsequent gold removal. Nano Lett. 2007, 7, 1637–1642. [Google Scholar] [CrossRef]
- Jagannathan, H. Nature of germanium nanowire heteroepitaxy on silicon substrates. J. Appl. Phys. 2006, 100, 024318. [Google Scholar] [CrossRef]
- Tipler, P.A.; Mosca, G. Physik: Für Wissenschaftler und Ingenieure, 7th ed.; Springer: Berlin/Heidelberg, Germany, 2014; p. 585. [Google Scholar]
- Boland, J.J. Role of hydrogen desorption in the chemical-vapor deposition of Si (100) epitaxial films using disilane. Phys. Rev. B 1991, 44, 1383. [Google Scholar]
- Sakai, A. Ge growth on Si using atomic hydrogen as a surfactant. Appl. Phys. Lett. 1994, 64, 52–54. [Google Scholar]
- Cunningham, B. Heteroepitaxial growth of Ge on (100) Si by ultrahigh vacuum, chemical vapor deposition. Appl. Phys. Lett. 1991, 59, 3574–3576. [Google Scholar]
- Kikkawa, J. Growth rate of silicon nanowires. Appl. Phys. Lett. 2005, 86, 123109. [Google Scholar] [CrossRef]
- Dick, K. Growth of GaP nanotree structures by sequential seeding of 1D nanowires. J. Cryst. Growth 2004, 272, 131–137. [Google Scholar] [CrossRef]
- Li, C. Cold-wall ultrahigh vacuum chemical vapor deposition of doped and undoped Si and Si1-x Gex epitaxial films using SiH4 and Si2H6. J. Vac. Sci. Technol. A Vac. Surfaces Film 1996, 14, 170–183. [Google Scholar] [CrossRef]
- Nigro, A.; Forrer, N. High Quality CVD Deposition of Ge Layers for Ge/SiGe Quantum Well Heterostructures. ACS Appl. Electron. Mater. 2023; submitted. [Google Scholar]
- Lew, K.K. Growth characteristics of silicon nanowires synthesized by vapor–liquid–solid growth in nanoporous alumina templates. J. Cryst. Growth 2003, 254, 14–22. [Google Scholar] [CrossRef]
- Schmidt, V. Growth, thermodynamics, and electrical properties of silicon nanowires. Chem. Rev. 2010, 110, 361–388. [Google Scholar]
- Lugstein, A. Ga/Au alloy catalyst for single crystal silicon-nanowire epitaxy. Appl. Phys. Lett. 2007, 90, 023109. [Google Scholar] [CrossRef]
- Wolfenbuttel, R.F.; Wise, K.D. Low-temperature silicon wafer-to-wafer bonding using gold at eutectic temperature. Sens. Actuators A Phys. 1994, 43, 223–229. [Google Scholar]
- Das, K.K.; Balasubramanian, K. Geometries and energies of GeHn and GeH+n (n = 1–4). J. Chem. Phys. 1990, 93, 5883–5889. [Google Scholar] [CrossRef]
- Viswanathan, R. Theoretical investigations of elementary processes in the chemical vapor deposition of silicon from silane. Unimolecular decomposition of SiH4. J. Chem. Phys. 1985, 80, 4230–4240. [Google Scholar]
- Schmidt, V. Diameter-dependent growth direction of epitaxial silicon nanowires. Nano Lett. 2008, 5, 931–935. [Google Scholar] [CrossRef] [PubMed]







| Gas Mixture | Low Temperature [] | High Temperature [] |
|---|---|---|
| 10% in Ar | ||
| 10% in | ||
| 10% in Ar | ||
| 10% in |
Disclaimer/Publisher’s Note: The statements, opinions and data contained in all publications are solely those of the individual author(s) and contributor(s) and not of MDPI and/or the editor(s). MDPI and/or the editor(s) disclaim responsibility for any injury to people or property resulting from any ideas, methods, instructions or products referred to in the content. |
© 2023 by the authors. Licensee MDPI, Basel, Switzerland. This article is an open access article distributed under the terms and conditions of the Creative Commons Attribution (CC BY) license (https://creativecommons.org/licenses/by/4.0/).
Share and Cite
Forrer, N.; Nigro, A.; Gadea, G.; Zardo, I. Influence of Different Carrier Gases, Temperature, and Partial Pressure on Growth Dynamics of Ge and Si Nanowires. Nanomaterials 2023, 13, 2879. https://doi.org/10.3390/nano13212879
Forrer N, Nigro A, Gadea G, Zardo I. Influence of Different Carrier Gases, Temperature, and Partial Pressure on Growth Dynamics of Ge and Si Nanowires. Nanomaterials. 2023; 13(21):2879. https://doi.org/10.3390/nano13212879
Chicago/Turabian StyleForrer, Nicolas, Arianna Nigro, Gerard Gadea, and Ilaria Zardo. 2023. "Influence of Different Carrier Gases, Temperature, and Partial Pressure on Growth Dynamics of Ge and Si Nanowires" Nanomaterials 13, no. 21: 2879. https://doi.org/10.3390/nano13212879
APA StyleForrer, N., Nigro, A., Gadea, G., & Zardo, I. (2023). Influence of Different Carrier Gases, Temperature, and Partial Pressure on Growth Dynamics of Ge and Si Nanowires. Nanomaterials, 13(21), 2879. https://doi.org/10.3390/nano13212879

