Exploring Quantum Dots Size Impact at Phase Diagram and Electrooptical Properties in 8CB Liquid Crystal Soft-Nanocomposites
Abstract
:1. Introduction
2. Materials and Methods
Electrooptical Measurements Setup
3. Experimental Results
3.1. Microstructure and Phase Diagrams
3.2. Orientational Order
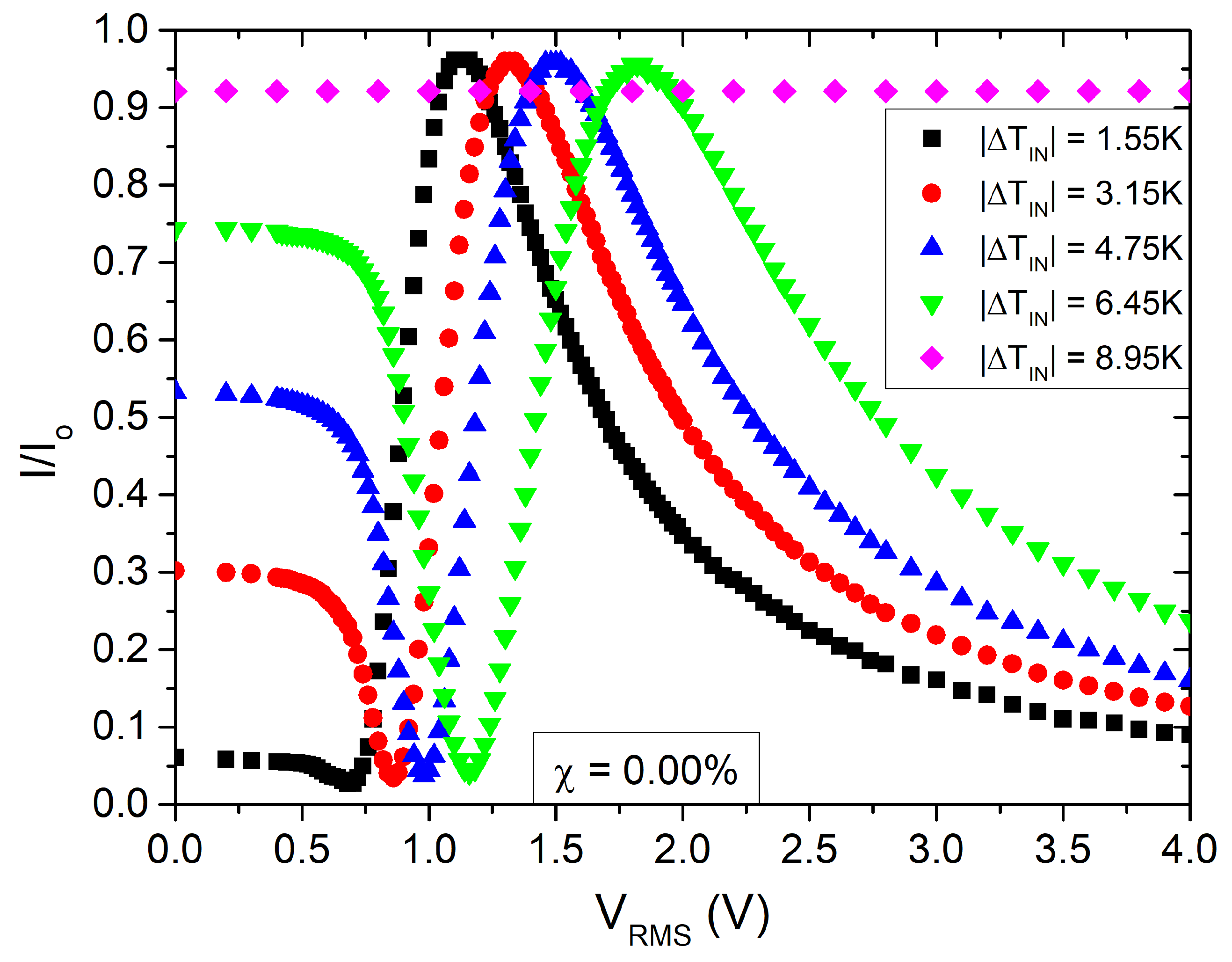
3.3. Fréedericksz Transition Threshold
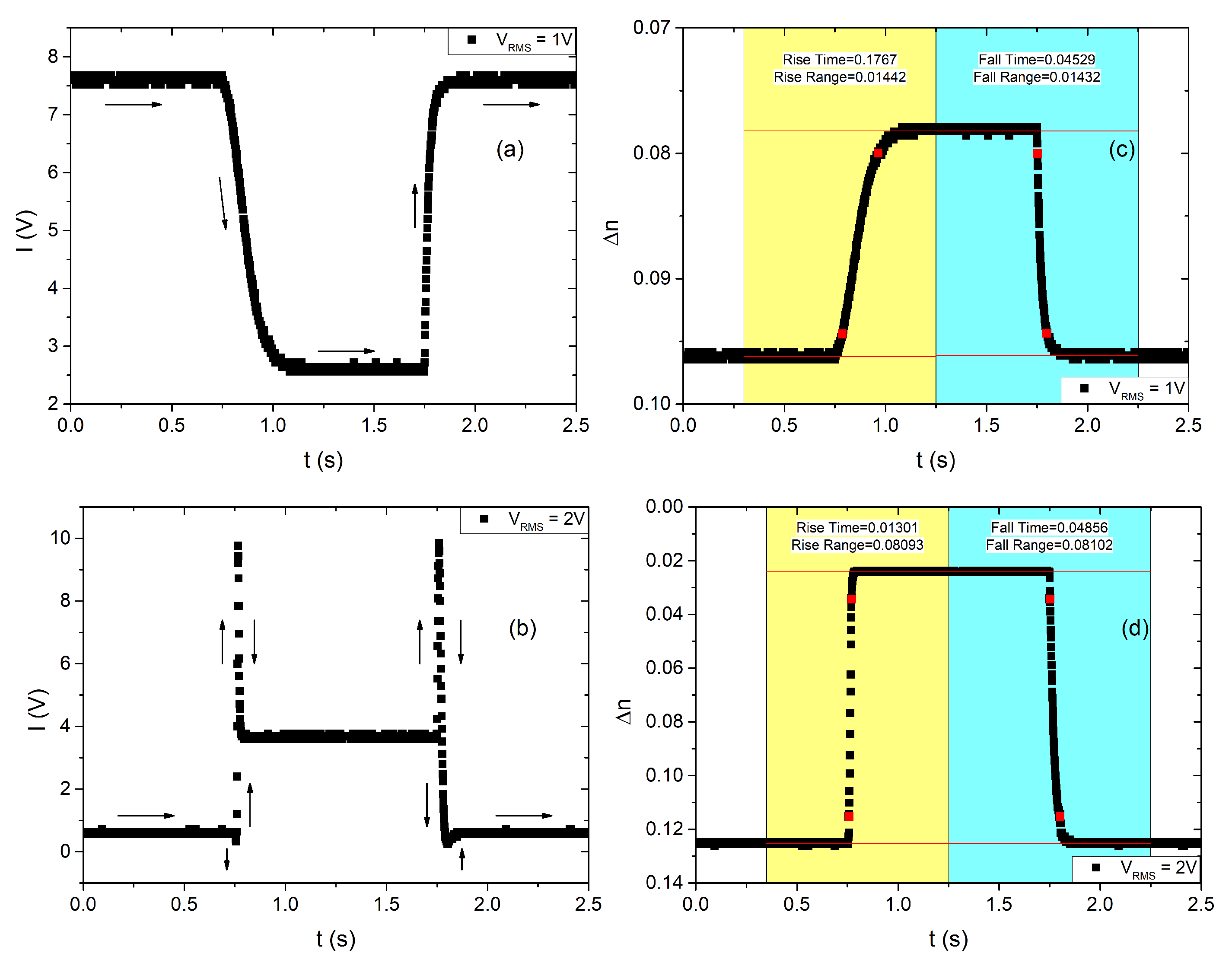
3.4. Switch-On and Switch-Off Times
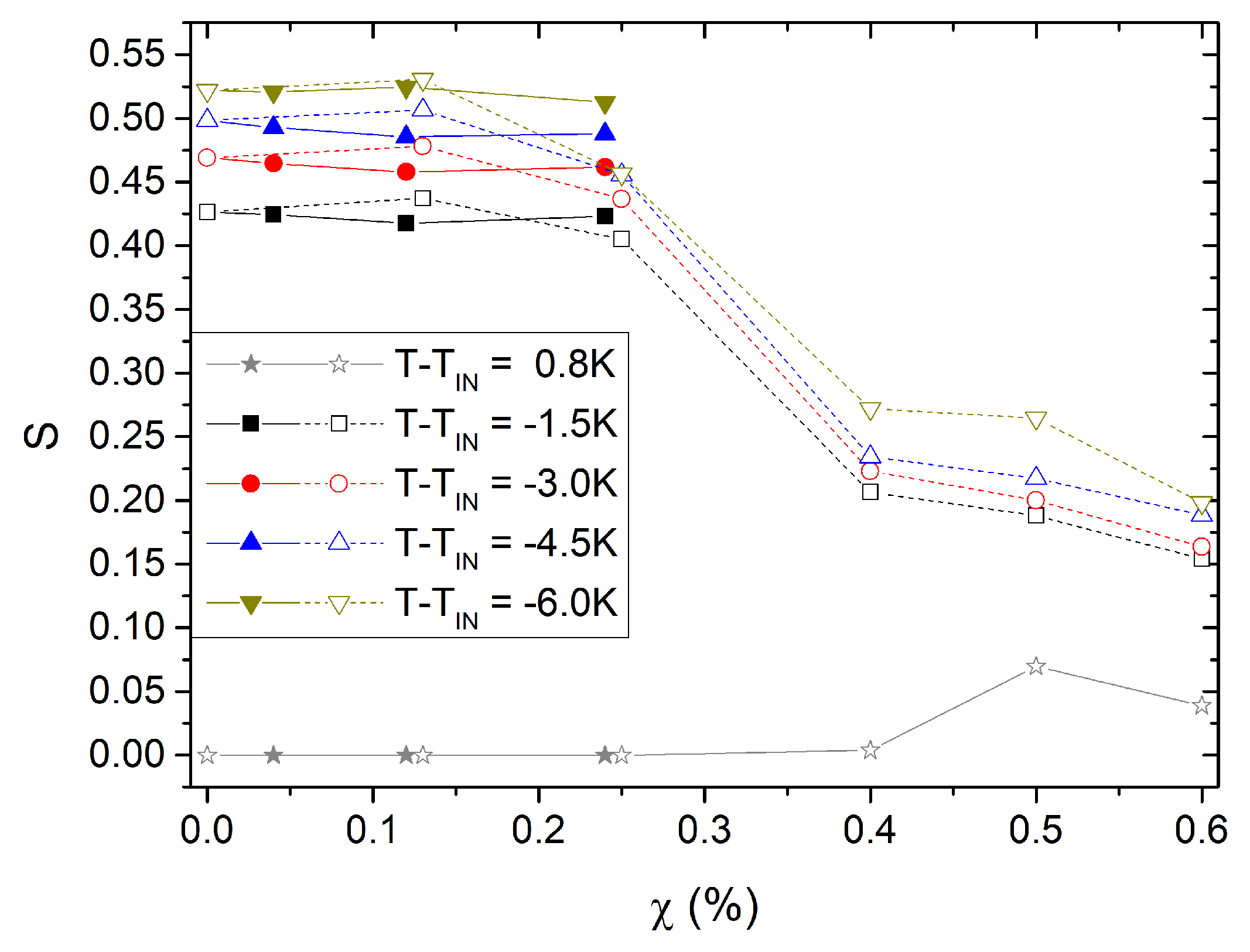
4. Anchoring
5. Discussion and Conclusions
Author Contributions
Funding
Data Availability Statement
Conflicts of Interest
References
- De Gennes, P.G.; Prost, J. The Physics of Liquid Crystals; Clarendon Press: Oxford, UK, 1993; ISBN 0198517858. [Google Scholar]
- Kleman, M.; Lavrentovich, O.D. Soft Matter Physics: An introduction; Springer: New York, NY, USA, 2003; ISBN 1441929274. [Google Scholar]
- Singh, S. Liquid Crystals: Fundamentals; World Scientific Publishing Co., Pte. Ltd.: Singapore, 2002; ISBN 9810242506. [Google Scholar]
- Dunmur, D.; Sluckin, T. Soap, Science, and Flat-Screen TVs: A History of Liquid Crystals; Oxford University Press: Oxford, UK, 2014; ISBN 0198700830. [Google Scholar]
- Esteves, C.; Ramou, E.; Porteira, A.R.P.; Moura Barbosa, A.J.; Roque, A.C.A. Seeing the Unseen: The Role of Liquid Crystals in Gas-Sensing Technologies. Adv. Opt. Mater. 2020, 8, 1902117. [Google Scholar] [CrossRef] [PubMed]
- Lagerwall, J.P.F.; Scalia, G. A new era for liquid crystal research: Applications of liquid crystals in soft matter nano-, bio- and microtechnology. Curr. Appl. Phys. 2012, 12, 1387–1412. [Google Scholar] [CrossRef]
- Wang, Z.; Xu, T.; Noel, A.; Chen, Y.C. Applications of liquid crystals in biosensing. Soft Matter 2021, 17, 4675–4702. [Google Scholar] [CrossRef] [PubMed]
- Bisoyi, H.K.; Li, Q. Liquid Crystals: Versatile Self-Organized Smart Soft Materials. Chem. Rev. 2022, 122, 48874926. [Google Scholar] [CrossRef]
- Shen, Y.; Dierking, I. Perspectives in Liquid-Crystal-Aided Nanotechnology and Nanoscience. Appl. Sci. 2019, 9, 2512. [Google Scholar] [CrossRef]
- Harish, V.; Tewari, D.; Gaur, M.; Yadav, A.B.; Swaroop, S.; Bechelany, M.; Barhoum, A. Review on Nanoparticles and Nanostructured Materials: Bioimaging, Biosensing, Drug Delivery, Tissue Engineering, Antimicrobial, and Agro-Food Applications. Nanomaterials 2022, 12, 457. [Google Scholar] [CrossRef]
- Anu Mary Ealia, S.; Saravanakumar, M.P. A review on the classification, characterisation, synthesis of nanoparticles and their application. IOP Conf. Ser. Mater. Sci. Eng. 2017, 263, 032019. [Google Scholar] [CrossRef]
- Khan, I.; Saeed, K.; Khan, I. Nanoparticles: Properties, applications and toxicities. Arab. J. Chem. 2019, 12, 908–931. [Google Scholar] [CrossRef]
- Long, N.V.; Thi, C.M.; Nogami, M. The Recent Patents and Highlights of Functionally Engineered Nanoparticles for Potential Applications in Biology, Medicine, and Nanomedicine. Curr. Phys. Chem. 2014, 4, 173–194. [Google Scholar] [CrossRef]
- Garbovskiy, Y.; Glushchenko, A. Ferroelectric Nanoparticles in Liquid Crystals: Recent Progress and Current Challenges. Nanomaterials 2017, 7, 361. [Google Scholar] [CrossRef]
- Thanassoulas, A.; Karatairi, E.; Cordoyiannis, G.; Kutnjak, Z.; Tzitzios, V.; Lelidis, I.; Nounesis, G. CdSe nanoparticles dispersed in ferroelectric smectic liquid crystals: Effects upon the smectic order and the smectic-A to chiral smectic-C phase transition. Phys. Rev. E 2013, 88, 032504. [Google Scholar] [CrossRef] [PubMed]
- Kyrou, C.; Tsiourvas, D.; Kralj, S.; Lelidis, I. Effect of superhydrophobic nanoplatelets on the phase behaviour of liquid crystals. J. Mol. Liq. 2020, 298, 111984. [Google Scholar] [CrossRef]
- Lavrič, M.; Tzitzios, V.; Kralj, S.; Cordoyiannis, G.; Lelidis, I.; Nounesis, G.; Georgakilas, V.; Amenitsch, H.; Zidanšek, A.; Kutnjak, Z. The effect of graphene on liquid-crystalline blue phases. Appl. Phys. Lett. 2013, 103, 143116. [Google Scholar] [CrossRef]
- Kumar, M.B.; Adeshina, M.A.; Kang, D.; Jee, Y.; Kim, T.; Choi, M.; Park, J. Enhancement of Birefringence in Reduced Graphene Oxide Doped Liquid Crystal. Nanomaterials 2020, 10, 842. [Google Scholar] [CrossRef] [PubMed]
- Cordoyiannis, G.; Lavrič, M.; Tzitzios, V.; Trček, M.; Lelidis, I.; Nounesis, G.; Kralj, S.; Thoen, J.; Kutnjak, Z. Experimental Advances in Nanoparticle-Driven Stabilization of Liquid-Crystalline Blue Phases and Twist-Grain Boundary Phases. Nanomaterials 2021, 11, 2968. [Google Scholar] [CrossRef] [PubMed]
- Rzoska, S.J.; Starzonek, S.; Łoś, J.; Drozd-Rzoska, A.; Kralj, S. Dynamics and Pretransitional Effects in C60 Fullerene Nanoparticles and Liquid Crystalline Dodecylcyanobiphenyl (12CB) Hybrid System. Nanomaterials 2020, 10, 2343. [Google Scholar] [CrossRef]
- Tie, W.; Bhattacharyya, S.S.; Gao, Y.; Zheng, Z.; Shin, E.J.; Kim, T.H.; Kim, M.; Lee, J.H.; Lee, S.H. Dynamic Response of Graphitic Flakes in Nematic Liquid Crystals: Confinement and Host Effect. Nanomaterials 2017, 7, 250. [Google Scholar] [CrossRef]
- Lagerwall, J.P.F.; Scalia, G. (Eds.) Liquid Crystals with Nano and Micro-Particles; World Scientific: Singapore, 2017; ISBN 9789813203679. [Google Scholar]
- Jeng, S.-C.; Kuo, C.-W.; Wang, H.-L.; Liao, C.-C. Nanoparticles-induced vertical alignment in liquid crystal cell. Appl. Phys. Lett. 2007, 91, 061112. [Google Scholar] [CrossRef]
- Konshina, E.; Shcherbinin, D.; Kurochkina, M. Comparison of the properties of nematic liquid crystals doped with TiO2 and CdSe/ZnS nanoparticles. J. Mol. Liq. 2018, 267, 308–314. [Google Scholar] [CrossRef]
- Vimal, T.; Agrahari, K.; Sonker, R.K.; Manohar, R. Investigation of thermodynamical, dielectric and electro-optical parameters of nematic liquid crystal doped with polyaniline and silver nanoparticles. J. Mol. Liq. 2019, 290, 0167–7322. [Google Scholar] [CrossRef]
- Roy, S.; Chen, Y.L. Rich phase transitions in strongly confined polymer-nanoparticle mixtures: Nematic ordering, crystallization, and liquid-liquid phase separation. J. Chem. Phys. 2021, 154, 024901. [Google Scholar] [CrossRef] [PubMed]
- Petrescu, E.; Cirtoaje, C. Electric Properties of Multiwalled Carbon Nanotubes Dispersed in Liquid Crystals and Their Influence on Freedericksz Transitions. Nanomaterials 2022, 12, 1119. [Google Scholar] [CrossRef] [PubMed]
- Hsu, C.-J.; Lin, L.-J.; Huang, M.-K.; Huang, C.-Y. Electro-optical Effect of Gold Nanoparticle Dispersed in Nematic Liquid Crystals. Crystals 2017, 7, 287. [Google Scholar] [CrossRef]
- Rasna, M.V.; Cmok, L.; Evans, D.R.; Mertelj, A.; Dhara, S. Phase transitions, optical, dielectric and viscoelastic properties of colloidal suspensions of BaTiO3 nanoparticles and cyanobiphenyl liquid crystals. Liq. Cryst. 2015, 42, 1059–1067. [Google Scholar] [CrossRef]
- Lee, W.-K.; Hwang, S.J.; Cho, M.-J.; Park, H.-G.; Han, J.-W.; Song, S.; Jang, J.H.; Seo, D.-S. CIS–ZnS quantum dots for self-aligned liquid crystal molecules with superior electro-optic properties. Nanoscale 2013, 5, 193–199. [Google Scholar] [CrossRef]
- Cho, M.-J.; Park, H.-G.; Jeong, H.-C.; Lee, J.-W.; Jung, T.H.; Kim, J.-H.; Lee, J.-W.; Seo, D.-S. Superior fast switching of liquid crystal devices using graphene quantum dots. Liq. Cryst. 2014, 41, 761–764. [Google Scholar] [CrossRef]
- Ren, X.; Zhang, X.; Xie, H.; Cai, J.; Wang, C.; Chen, E.; Xu, S.; Ye, Y.; Sun, J.; Yan, Q.; et al. Perovskite Quantum Dots for Emerging Displays: Recent Progress and Perspectives. Nanomaterials 2022, 12, 2243. [Google Scholar] [CrossRef]
- Rastogi, A.; Pathak, G.; Herman, J.; Srivastava, A.; Manohar, R. Cd1-XZnXS/ZnS core/shell quantum dots in nematic liquid crystals to improve material parameter for better performance of liquid crystal based devices. J. Chem. Phys. 2018, 255, 93–101. [Google Scholar] [CrossRef]
- Singh, U.B.; Pandey, M.B.; Dhar, R.; Verma, R.; Kumar, S. Effect of dispersion of CdSe quantum dots on phase transition, electrical and electro-optical properties of 4PP4BO. Liq. Cryst. 2016, 43, 1075–1082. [Google Scholar] [CrossRef]
- Tripathi, P.K.; Joshi, B.; Singh, S. Pristine and quantum dots dispersed nematic liquid crystal: Impact of dispersion and applied voltage on dielectric and electro-optical properties. Opt. Mater. 2017, 69, 61–88. [Google Scholar] [CrossRef]
- Rastogi, A.; Agrahari, K.; Pathak, G.; Srivastava, A.; Herman, J.; Manohar, R. Study of an interesting physical mechanism of memory effect in nematic liquid crystal dispersed with quantum dots. Liq. Cryst. 2019, 46, 725–736. [Google Scholar] [CrossRef]
- Kinkead, B.; Hegmann, T. Effect of size, capping agent and concentration of CdSe and CdTe quantum dots doped into nematic liquid crystal on the optical and electro-optical properties of the final colloidal liquid crystal mixture. J. Mater. Chem. 2010, 20, 448–458. [Google Scholar] [CrossRef]
- Mirzaei, J.; Urbanski, M.; Yu, K.; Kitzerow, S.-H.; Hegmann, T. Nanocomposites of a nematic liquid crystal doped with magic sized CdSe quantum dots. J. Mater. Chem. 2011, 21, 12710–12716. [Google Scholar] [CrossRef]
- Prodanov, M.F.; Pogorelova, N.V.; Kryshtal, A.P.; Klymchenko, A.S.; Mely, Y.; Semynozhenko, V.P.; Krivoshey, A.I.; Reznikov, Y.A.; Yarmolenko, S.N.; Goodby, J.W.; et al. Thermodynamically stable dispersions of quantum dots in a nematic liquid crystal. Langmuir 2013, 29, 9301–9309. [Google Scholar] [CrossRef]
- Mirzaei, J.; Reznikov, M.; Hegmann, T. Quantum dots as liquid crystal dopants. J. Mater. Chem. 2012, 22, 22350–22365. [Google Scholar] [CrossRef]
- Kyrou, C.; Kralj, S.; Panagopoulou, M.; Raptis, Y.; Nounesis, G.; Lelidis, I. Impact of spherical nanoparticles on nematic order parameters. Phys. Rev. E 2018, 97, 042701. [Google Scholar] [CrossRef]
- Črešnar, D.; Kyrou, C.; Lelidis, I.; Drozd-Rzoska, A.; Starzonek, S.; Rzoska, S.J.; Kutnjak, Z.; Kralj, S. Impact of Weak Nanoparticle Induced Disorder on Nematic Ordering. Crystals 2019, 9, 171. [Google Scholar] [CrossRef]
- Kyrou, C.; Ambrozic, M.; Tsiourvas, D.; Kralj, S.; Atata, S.B.; Lelidis, I. Effect of quantum dots on the phase behavior and order of 8CB liquid crystal. J. Mol. Liq. 2023, 387, 122568. [Google Scholar] [CrossRef]
- Wu, S.T.; Efron, U.; Hess, L.D. Birefringence measurements of liquid crystals. Appl. Opt. 1984, 23, 3911–3915. [Google Scholar] [CrossRef]
- Lelidis, I.; Durand, G. Electric-field-induced change of the order parameter in a nematic liquid crystal. Phys. Rev. E 1993, 48, 3818. [Google Scholar] [CrossRef]
- Nie, X.; Lu, R.; Xianyu, H.; Wu, T.X.; Wu, S.-T. Anchoring energy and cell gap effects on liquid crystal response time. J. Appl. Phys. 2007, 101, 103110. [Google Scholar] [CrossRef]
- Balzarini, D.A.; Dunmur, D.A.; Palffy-Muhoray, P. High Voltage Birefringence Measurements of Elastic Constants. Mol. Cryst. Liq. 1984, 102, 35–41. [Google Scholar] [CrossRef]
- Yokoyama, H.; van Sprang, H.A. A novel method for determining the anchoring energy function at a nematic liquid crystal-wall interface from director distortions at high fields. J. Appl. Phys. 1985, 57, 4520–4526. [Google Scholar] [CrossRef]
- Sugimura, A.; Miyamoto, T.; Tsuji, M.; Kuze, M. Determination of the unified surface-anchoring energy of a nematic liquid crystal on a polymer substrate. Appl. Phys. Lett. 1998, 72, 329–331. [Google Scholar] [CrossRef]
- Nastishin, Y.A.; Polak, R.D.; Shiyanovskii, S.V.; Lavrentovich, O.D. Determination of nematic polar anchoring from retardation versus voltage measurements. Appl. Phys. Lett. 1999, 75, 202–204. [Google Scholar] [CrossRef]
- Belyaev, V.V. Viscosity of Nematic Liquid Crystals; Cambridge International Science Publishing: Cambridge, UK, 2004; ISBN 9781904602088. [Google Scholar]











| Disclaimer/Publisher’s Note: The statements, opinions and data contained in all publications are solely those of the individual author(s) and contributor(s) and not of MDPI and/or the editor(s). MDPI and/or the editor(s) disclaim responsibility for any injury to people or property resulting from any ideas, methods, instructions or products referred to in the content. | 
© 2023 by the authors. Licensee MDPI, Basel, Switzerland. This article is an open access article distributed under the terms and conditions of the Creative Commons Attribution (CC BY) license (https://creativecommons.org/licenses/by/4.0/).
Share and Cite
Atata, S.B.; Lelidis, I. Exploring Quantum Dots Size Impact at Phase Diagram and Electrooptical Properties in 8CB Liquid Crystal Soft-Nanocomposites. Nanomaterials 2023, 13, 2980. https://doi.org/10.3390/nano13222980
Atata SB, Lelidis I. Exploring Quantum Dots Size Impact at Phase Diagram and Electrooptical Properties in 8CB Liquid Crystal Soft-Nanocomposites. Nanomaterials. 2023; 13(22):2980. https://doi.org/10.3390/nano13222980
Chicago/Turabian StyleAtata, Stefanos Basim, and Ioannis Lelidis. 2023. "Exploring Quantum Dots Size Impact at Phase Diagram and Electrooptical Properties in 8CB Liquid Crystal Soft-Nanocomposites" Nanomaterials 13, no. 22: 2980. https://doi.org/10.3390/nano13222980
APA StyleAtata, S. B., & Lelidis, I. (2023). Exploring Quantum Dots Size Impact at Phase Diagram and Electrooptical Properties in 8CB Liquid Crystal Soft-Nanocomposites. Nanomaterials, 13(22), 2980. https://doi.org/10.3390/nano13222980
 
        



