The Effect of Carbon Doping on the Crystal Structure and Electrical Properties of Sb2Te3
Abstract
:1. Introduction
2. Calculations and Experimental Section
2.1. Density Functional Theory (DFT) Methods
2.2. Experimental Methods
3. Results and Discussion
3.1. Atomic Configuration for C-Doped Sb2Te3
3.2. Electronic Properties and Origin of Change of Crystalline C-doped Sb2Te3
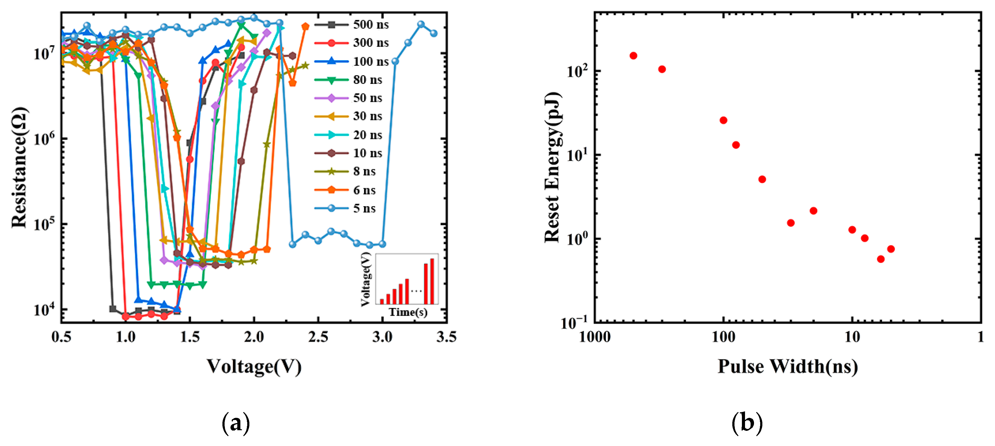
3.3. Electrical Performance Test of a Prototype PCRAM Device Based on C-Sb2Te3 Material
4. Conclusions
Supplementary Materials
Author Contributions
Funding
Institutional Review Board Statement
Informed Consent Statement
Data Availability Statement
Acknowledgments
Conflicts of Interest
References
- Fong, S.W.; Neumann, C.M.; Wong, H.S.P. Phase-Change Memory—Towards a Storage-Class Memory. IEEE Trans. Electron Devices 2017, 64, 4374–4385. [Google Scholar] [CrossRef]
- Wong, H.S.P.; Salahuddin, S. Memory leads the way to better computing. Nat. Nanotechnol. 2015, 10, 191–194. [Google Scholar] [CrossRef]
- Ung, G.M. Intel, Micron Announce New 3D XPoint Memory Type That’s 1,000 Times Faster than NAND, Really. Available online: https://www.pcworld.com/article/422680/intel-micron-announce-new-3dxpoint-memory-type-thats-1000-times-faster-than-nand.html (accessed on 1 March 2022).
- Rao, F.; Ding, K.; Zhou, Y.; Zheng, Y.; Xia, M.; Lv, S.; Song, Z.; Feng, S.; Ronneberger, I.; Mazzarello, R.; et al. Reducing the stochasticity of crystal nucleation to enable subnanosecond memory writing. Science 2017, 358, 1423–1427. [Google Scholar] [CrossRef] [PubMed]
- Zhao, J.; Yuan, Z.H.; Song, W.X.; Song, Z.T. High performance of Er-doped Sb2Te material used in phase change memory. J. Alloy. Compd. 2021, 889, 161701. [Google Scholar] [CrossRef]
- Zuliani, P.; Varesi, E.; Palumbo, E.; Borghi, M.; Tortorelli, I.; Erbetta, D.; Libera, G.D.; Pessina, N.; Gandolfo, A.; Prelini, C.; et al. Overcoming Temperature Limitations in Phase Change Memories With Optimized GexSbyTez. IEEE Trans. Electron Devices 2013, 60, 4020–4026. [Google Scholar] [CrossRef]
- Diaz Fattorini, A.; Cheze, C.; Lopez Garcia, I.; Petrucci, C.; Bertelli, M.; Righi Riva, F.; Prili, S.; Privitera, S.M.S.; Buscema, M.; Sciuto, A.; et al. Growth, Electronic and Electrical Characterization of Ge-Rich Ge-Sb-Te Alloy. Nanomaterials 2022, 12, 1340. [Google Scholar] [CrossRef]
- Xu, B.; Zhang, J.; Yu, G.; Ma, S.; Wang, Y.; Wang, Y. Thermoelectric properties of monolayer Sb2Te3. J. Appl. Phys. 2018, 124, 15104. [Google Scholar] [CrossRef]
- Verma, S.K.; Kandpal, K.; Kumar, P.; Kumar, A.; Wiemer, C. Performance of Topological Insulator (Sb2Te3)-Based Vertical Stacking Photodetector on n-Si Substrate. IEEE Trans. Electron Devices 2022, 69, 4342–4348. [Google Scholar] [CrossRef]
- Bryja, H.; Gerlach, J.W.; Prager, A.; Ehrhardt, M.; Rauschenbach, B.; Lotnyk, A. Epitaxial layered Sb2Te3 thin films for memory and neuromorphic applications. 2D Mater. 2021, 8, 045027. [Google Scholar] [CrossRef]
- Sun, Z.; Zhou, J.; Blomqvist, A.; Johansson, B.; Ahuja, R. Formation of large voids in the amorphous phase-change memory Ge2Sb2Te5 alloy. Phys. Rev. Lett. 2009, 102, 075504. [Google Scholar] [CrossRef]
- Li, L.; Song, S.N.; Xue, Y.; Chen, X.; Zhao, J.; Shen, J.B.; Song, Z.T. Thermally stable tungsten and titanium doped antimony tellurium films for phase change memory application. J. Mater. Sci.-Mater. Electron. 2020, 31, 10912–10918. [Google Scholar] [CrossRef]
- Ren, K.; Rao, F.; Song, Z.T.; Lv, S.L.; Cheng, Y.; Wu, L.C.; Peng, C.; Zhou, X.L.; Xia, M.J.; Liu, B.; et al. Pseudobinary Al2Te3-Sb2Te3 material for high speed phase change memory application. Appl. Phys. Lett. 2012, 100, 052105. [Google Scholar] [CrossRef]
- Zhang, T.; Zhang, K.; Wang, G.; Greenberg, E.; Prakapenka, V.B.; Yang, W.E. Multiple phase transitions in Sc doped Sb2Te3 amorphous nanocomposites under high pressure. Appl. Phys. Lett. 2020, 116, 021903. [Google Scholar] [CrossRef]
- Hu, S.W.; Liu, B.; Li, Z.; Zhou, J.; Sun, Z.M. Identifying optimal dopants for Sb2Te3 phase-change material by high-throughput ab initio calculations with experiments. Comput. Mater. Sci. 2019, 165, 51–58. [Google Scholar] [CrossRef]
- Zhu, M.; Wu, L.; Song, Z.; Rao, F.; Cai, D.; Peng, C.; Zhou, X.; Ren, K.; Song, S.; Liu, B.; et al. Ti10Sb60Te30 for phase change memory with high-temperature data retention and rapid crystallization speed. Appl. Phys. Lett. 2012, 100, 122101. [Google Scholar] [CrossRef]
- Cheng, Y.; Cai, D.; Zheng, Y.; Yan, S.; Wu, L.; Li, C.; Song, W.; Xin, T.; Lv, S.; Huang, R.; et al. Microscopic Mechanism of Carbon-Dopant Manipulating Device Performance in CGeSbTe-Based Phase Change Random Access Memory. ACS Appl. Mater. Interfaces 2020, 12, 23051–23059. [Google Scholar] [CrossRef]
- Zhou, X.; Xia, M.; Rao, F.; Wu, L.; Li, X.; Song, Z.; Feng, S.; Sun, H. Understanding phase-change behaviors of carbon-doped Ge2Sb2Te5 for phase-change memory application. ACS Appl. Mater. Interfaces 2014, 6, 14207–14214. [Google Scholar] [CrossRef]
- Sun, Z.; Zhou, J.; Mao, H.K.; Ahuja, R. Peierls distortion mediated reversible phase transition in GeTe under pressure. Proc. Natl. Acad. Sci. USA 2012, 109, 5948–5952. [Google Scholar] [CrossRef]
- Li, Z.; Si, C.; Zhou, J.; Xu, H.; Sun, Z. Yttrium-Doped Sb2Te3: A Promising Material for Phase-Change Memory. ACS Appl. Mater. Interfaces 2016, 8, 26126–26134. [Google Scholar] [CrossRef]
- Zhao, Z.Y.; Peng, S.; Tan, Z.L.; Wang, C.J.; Wen, M. Doping effects of Ru on Sb2Te and Sb2Te3 as phase change materials studied by first-principles calculations. Mater. Today Commun. 2022, 31, 103669. [Google Scholar] [CrossRef]
- Lee, T.H.; Elliott, S.R. The Relation between Chemical Bonding and Ultrafast Crystal Growth. Adv. Mater. 2017, 29, 1700814. [Google Scholar] [CrossRef] [PubMed]
- Lee, T.H.; Loke, D.; Elliott, S.R. Microscopic Mechanism of Doping-Induced Kinetically Constrained Crystallization in Phase-Change Materials. Adv. Mater. 2015, 27, 5477–5483. [Google Scholar] [CrossRef] [PubMed]
- Maintz, S.; Deringer, V.L.; Tchougréeff, A.L.; Dronskowski, R. Analytic projection from plane-wave and PAW wavefunctions and application to chemical-bonding analysis in solids. J. Comput. Chem. 2013, 34, 2557–2567. [Google Scholar] [CrossRef] [PubMed]
- Wang, G.J.; Zhou, J.; Elliott, S.R.; Sun, Z.M. Role of carbon-rings in polycrystalline GeSb2Te4 phase-change material. J. Alloy. Compd. 2019, 782, 852–858. [Google Scholar] [CrossRef]
- Zhou, X.; Wu, L.; Song, Z.; Rao, F.; Zhu, M.; Peng, C.; Yao, D.; Song, S.; Liu, B.; Feng, S. Carbon-doped Ge2Sb2Te5 phase change material: A candidate for high-density phase change memory application. Appl. Phys. Lett. 2012, 101, 142104. [Google Scholar] [CrossRef]
- Guo, T.; Song, S.; Zheng, Y.; Xue, Y.; Yan, S.; Liu, Y.; Li, T.; Liu, G.; Wang, Y.; Song, Z.; et al. Excellent thermal stability owing to Ge and C doping in Sb2Te-based high-speed phase-change memory. Nanotechnology 2018, 29, 505710. [Google Scholar] [CrossRef]
- Song, W.X.; Cheng, Y.; Cai, D.L.; Tang, Q.Y.; Song, Z.T.; Wang, L.H.; Zhao, J.; Xin, T.J.; Liu, Z.P. Improving the performance of phase-change memory by grain refinement. J. Appl. Phys. 2020, 128, 075101. [Google Scholar] [CrossRef]
- Zheng, L.; Song, W.X.; Zhang, S.F.; Song, Z.T.; Zhu, X.Q.; Song, S.N. Designing artificial carbon clusters using Ge2Sb2Te5/C superlattice-like structure for phase change applications. J. Alloy. Compd. 2021, 882, 160695. [Google Scholar] [CrossRef]
- Yin, Y.; Higano, N.; Ohta, K.; Miyachi, A.; Asai, M.; Niida, D.; Sone, H.; Hosaka, S. Characteristics of N-doped Sb2Te3 films by X-ray diffraction and resistance measurement for phase-change memory. In Proceedings of the Symposium on Materials and Processes for Nonvolatile Memories II Held at the 2007 MRS Spring Meeting, San Francisco, CA, USA, 10–13 April 2007; p. 287. [Google Scholar]
- Yin, Y. C–N-codoped Sb2Te3 chalcogenides for reducing writing current of phase-change devices. J. Appl. Phys. 2021, 117, 153502. [Google Scholar] [CrossRef]
- Zhao, J.; Song, W.X.; Xin, T.; Song, Z. Rules of hierarchical melt and coordinate bond to design crystallization in doped phase change materials. Nat. Commun. 2021, 12, 6473. [Google Scholar] [CrossRef]
- Sun, Z.; Zhou, J.; Pan, Y.; Song, Z.; Mao, H.K.; Ahuja, R. Pressure-induced reversible amorphization and an amorphous-amorphous transition in Ge2Sb2Te5 phase-change memory material. Proc. Natl. Acad. Sci. USA 2011, 108, 10410–10414. [Google Scholar] [CrossRef]
- Zheng, Y.; Xia, M.; Cheng, Y.; Rao, F.; Ding, K.; Liu, W.; Jia, Y.; Song, Z.; Feng, S. Direct observation of metastable face-centered cubic Sb2Te3 crystal. Nano Res. 2016, 9, 3453–3462. [Google Scholar] [CrossRef]
- Kolobov, A.V.; Fons, P.; Tominaga, J.; Ovshinsky, S.R. Vacancy-mediated three-center four-electron bonds in GeTe-Sb2Te3 phase-change memory alloys. Phys. Rev. B 2013, 87, 165206. [Google Scholar] [CrossRef]
- Zhou, W.Y.; Wu, L.C.; Zhou, X.L.; Rao, F.; Song, Z.T.; Yao, D.N.; Yin, W.J.; Song, S.N.; Liu, B.; Qian, B.; et al. High thermal stability and low density variation of carbon-doped Ge2Sb2Te5 for phase-change memory application. Appl. Phys. Lett. 2014, 105, 243113. [Google Scholar] [CrossRef]
- Li, T.; Shen, J.B.; Wu, L.C.; Song, Z.T.; Lv, S.L.; Cai, D.L.; Zhang, S.F.; Guo, T.Q.; Song, S.N.; Zhu, M. Atomic-Scale Observation of Carbon Distribution in High-Performance Carbon-Doped Ge2Sb2Te5 and Its Influence on Crystallization Behavior. J. Phys. Chem. C 2019, 123, 13377–13384. [Google Scholar] [CrossRef]
- Bernal, J.D. The structure of graphite. Proc. R. Soc. London. Ser. A Contain. Pap. A Math. Phys. Character 1924, 106, 749–773. [Google Scholar] [CrossRef]
- Chung, D. Review graphite. J. Mater. Sci. 2002, 37, 1475–1489. [Google Scholar] [CrossRef]
- Jin, S.M.; Kang, S.Y.; Kim, H.J.; Lee, J.Y.; Nam, I.H.; Shim, T.H.; Song, Y.H.; Park, J.G. Sputter-grown GeTe/Sb2Te3 superlattice interfacial phase change memory for low power and multi-level-cell operation. Electron. Lett. 2022, 58, 38–40. [Google Scholar] [CrossRef]
- Chee, M.Y.; Dananjaya, P.A.; Lim, G.J.; Du, Y.; Lew, W.S. Frequency-Dependent Synapse Weight Tuning in 1S1R with a Short-Term Plasticity TiOx-Based Exponential Selector. ACS Appl. Mater. Interfaces 2022, 14, 35959–35968. [Google Scholar] [CrossRef]
- Sarwat, S.G.; Kersting, B.; Moraitis, T.; Jonnalagadda, V.P.; Sebastian, A. Phase-change memtransistive synapses for mixed-plasticity neural computations. Nat. Nanotechnol. 2022, 17, 507–513. [Google Scholar] [CrossRef]
- Kuzum, D.; Jeyasingh, R.G.; Lee, B.; Wong, H.S. Nanoelectronic programmable synapses based on phase change materials for brain-inspired computing. Nano Lett. 2012, 12, 2179–2186. [Google Scholar] [CrossRef] [PubMed]
- Milo, V.; Pedretti, G.; Laudato, M.; Bricalli, A.; Ambrosi, E.; Bianchi, S.; Chicca, E.; Ielmini, D. Resistive switching synapses for unsupervised learning in feed-forward and recurrent neural networks. In Proceedings of the 2018 IEEE International Symposium on Circuits and Systems (ISCAS), Florence, Italy, 27–30 May 2018. [Google Scholar]
- Milo, V.; Pedretti, G.; Carboni, R.; Calderoni, A.; Ramaswamy, N.; Ambrogio, S.; Ielmini, D. A 4-Transistors/1-Resistor Hybrid Synapse Based on Resistive Switching Memory (RRAM) Capable of Spike-Rate-Dependent Plasticity (SRDP). IEEE Trans. Very Large Scale Integr. (VLSI) Syst. 2018, 26, 2806–2815. [Google Scholar] [CrossRef]
- Nandakumar, S.R.; Boybat, I.; Le Gallo, M.; Eleftheriou, E.; Sebastian, A.; Rajendran, B. Experimental Demonstration of Supervised Learning in Spiking Neural Networks with Phase-Change Memory Synapses. Sci. Rep. 2020, 10, 8080. [Google Scholar] [CrossRef] [PubMed]
- Cheng, Y.K.; Lin, Y.; Zeng, T.; Shan, X.Y.; Wang, Z.Q.; Zhao, X.N.; Ielmini, D.; Xu, H.Y.; Liu, Y.C. Pavlovian conditioning achieved via one-transistor/one-resistor memristive synapse. Appl. Phys. Lett. 2022, 120, 133503. [Google Scholar] [CrossRef]
- Sebastian, A.; Le Gallo, M.; Eleftheriou, E. Computational phase-change memory: Beyond von Neumann computing. J. Phys. D Appl. Phys. 2019, 52, 443002. [Google Scholar] [CrossRef]
- Wright, C.D.; Hosseini, P.; Diosdado, J.A.V. Beyond von-Neumann Computing with Nanoscale Phase-Change Memory Devices. Adv. Funct. Mater. 2012, 23, 2248–2254. [Google Scholar] [CrossRef]
- Li, X.; He, Q.; Tong, H.; Miao, X.S. Resistance Drift-Reduced Multilevel Storage and Neural Network Computing in Chalcogenide Phase Change Memories by Bipolar Operation. IEEE Electron Device Lett. 2022, 43, 565–568. [Google Scholar] [CrossRef]










| Bonds | Sb2Te3 | C-Sb2Te3 |
|---|---|---|
| Sb-Te | 0.78 | 0.80 |
| C-C | / | 0.94 |
| C-Sb | / | 0.91 |
| C-Te | / | 0.89 |
Disclaimer/Publisher’s Note: The statements, opinions and data contained in all publications are solely those of the individual author(s) and contributor(s) and not of MDPI and/or the editor(s). MDPI and/or the editor(s) disclaim responsibility for any injury to people or property resulting from any ideas, methods, instructions or products referred to in the content. |
© 2023 by the authors. Licensee MDPI, Basel, Switzerland. This article is an open access article distributed under the terms and conditions of the Creative Commons Attribution (CC BY) license (https://creativecommons.org/licenses/by/4.0/).
Share and Cite
Zhang, J.; Rong, N.; Xu, P.; Xiao, Y.; Lu, A.; Song, W.; Song, S.; Song, Z.; Liang, Y.; Wu, L. The Effect of Carbon Doping on the Crystal Structure and Electrical Properties of Sb2Te3. Nanomaterials 2023, 13, 671. https://doi.org/10.3390/nano13040671
Zhang J, Rong N, Xu P, Xiao Y, Lu A, Song W, Song S, Song Z, Liang Y, Wu L. The Effect of Carbon Doping on the Crystal Structure and Electrical Properties of Sb2Te3. Nanomaterials. 2023; 13(4):671. https://doi.org/10.3390/nano13040671
Chicago/Turabian StyleZhang, Jie, Ningning Rong, Peng Xu, Yuchen Xiao, Aijiang Lu, Wenxiong Song, Sannian Song, Zhitang Song, Yongcheng Liang, and Liangcai Wu. 2023. "The Effect of Carbon Doping on the Crystal Structure and Electrical Properties of Sb2Te3" Nanomaterials 13, no. 4: 671. https://doi.org/10.3390/nano13040671
APA StyleZhang, J., Rong, N., Xu, P., Xiao, Y., Lu, A., Song, W., Song, S., Song, Z., Liang, Y., & Wu, L. (2023). The Effect of Carbon Doping on the Crystal Structure and Electrical Properties of Sb2Te3. Nanomaterials, 13(4), 671. https://doi.org/10.3390/nano13040671
