Synthesis of Structure-Adjustable R-Au/Pt-CdS Nanohybrids with Strong Plasmon Coupling and Improved Photothermal Conversion Performance
Abstract
1. Introduction
2. Materials and Methods
2.1. Materials
2.2. Synthesis of R-Au NBPs
2.3. Synthesis of R-Au NBPs/Pt Nanostructures
2.4. Synthesis of R-Au/Pt-CdS Nanostructures
2.5. Photothermal Conversion Efficiency Measurements
2.6. Sample Characterization
3. Results and Discussion
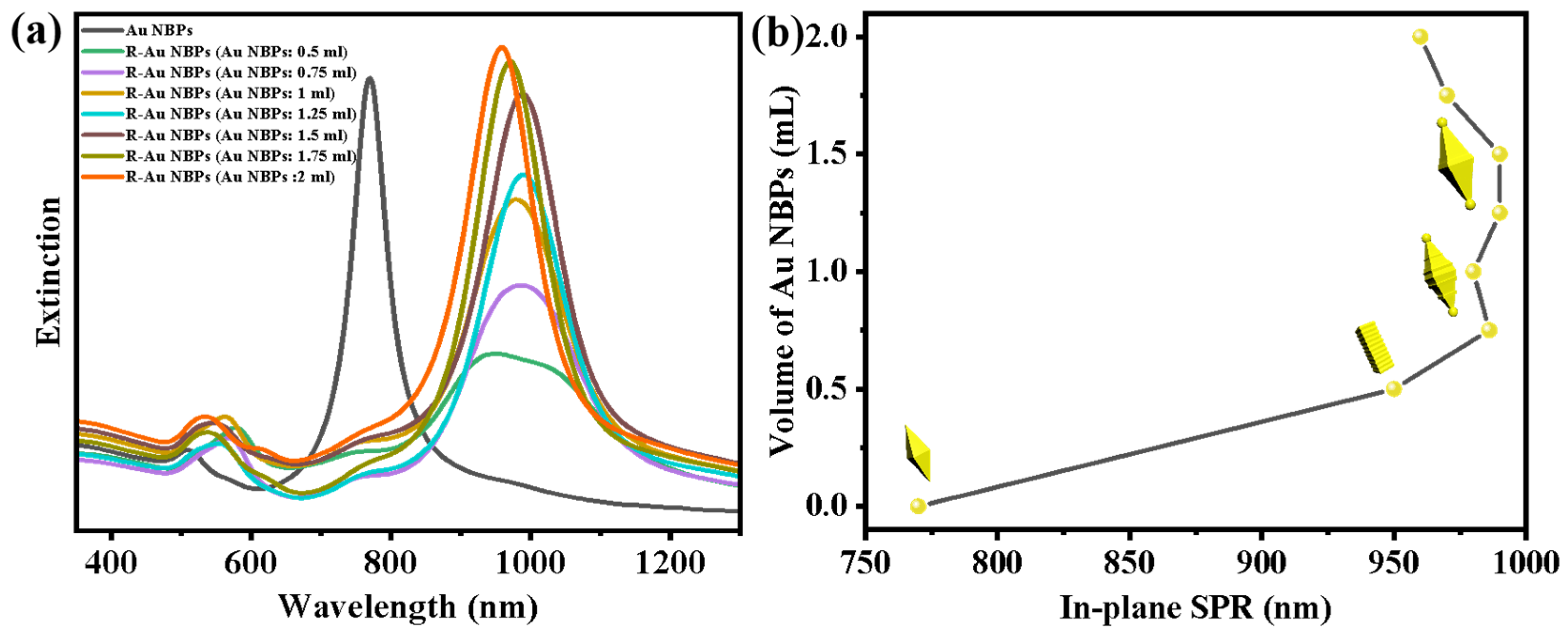
3.1. Structural Morphologies and Optical Properties of R-Au NBPs
3.2. Growth of R-Au/Pt-CdS Nanohybrids and Their Optical Properties
3.3. Photothermal Conversion Performance
4. Conclusions
Author Contributions
Funding
Data Availability Statement
Conflicts of Interest
References
- Huang, N.Y.; He, H.; Liu, S.J.; Zhu, H.L.; Li, Y.J.; Xu, J.; Huang, J.R.; Wang, X.; Liao, P.Q.; Chen, X.M. Electrostatic attraction-driven assembly of a metal–organic framework with a photosensitizer boosts photocatalytic CO2 reduction to CO. J. Am. Chem. Soc. 2021, 143, 17424–17430. [Google Scholar] [CrossRef]
- Yang, K.; Zhao, S.J.; Li, B.L.; Wang, B.H.; Lan, M.H.; Song, X.Z. Low temperature photothermal therapy: Advances and perspectives. Coordin. Chem. Rev. 2022, 454, 214330. [Google Scholar] [CrossRef]
- Zhuo, S.; Jiang, W.K.; Zhao, Y.D.; Liu, J.Z.; Zhao, X.Y.; Ye, J.Y.; Zheng, M.; Wang, Z.S.; Zhou, X.Q.; Wang, X.Q. Large-area nanofiber membrane of NIR photothermal Cs0. 32WO3 for flexible and all-weather solar thermoelectric generation. Chem. Eng. J. 2024, 479, 147571. [Google Scholar] [CrossRef]
- Lin, H.; Gao, S.S.; Dai, C.; Chen, Y.; Shi, J.L. A two-dimensional biodegradable niobium carbide (MXene) for photothermal tumor eradication in NIR-I and NIR-II biowindows. J. Am. Chem. Soc. 2017, 139, 16235–16247. [Google Scholar] [CrossRef]
- Li, C.Y.; Li, F.; Zhang, Y.J.; Zhang, W.J.; Zhang, X.-E.; Wang, Q.B. Real-time monitoring surface chemistry-dependent in vivo behaviors of protein nanocages via encapsulating an NIR-II Ag2S quantum dot. ACS Nano 2015, 9, 12255–12263. [Google Scholar] [CrossRef] [PubMed]
- Li, J.B.; Liu, H.W.; Fu, T.; Wang, R.W.; Zhang, X.B.; Tan, W.H. Recent progress in small-molecule near-IR probes for bioimaging. Trends Chem. 2019, 1, 224–234. [Google Scholar] [CrossRef]
- Wu, D.; Chen, X.H.; Zhou, J.J.; Chen, Y.X.; Wan, T.; Wang, Y.; Lin, A.F.; Ruan, Y.P.; Chen, Z.; Song, X.R. A synergistic optical strategy for enhanced deep-tumor penetration and therapy in the second near-infrared window. Mater. Horiz. 2020, 7, 2929–2935. [Google Scholar] [CrossRef]
- Frangioni, J.V. In vivo near-infrared fluorescence imaging. Curr. Opin. Chem. Biol. 2003, 7, 626–634. [Google Scholar] [CrossRef]
- Dai, H.M.; Shen, Q.; Shao, J.J.; Wang, W.J.; Gao, F.; Dong, X.C. Small molecular NIR-II fluorophores for cancer phototheranostics. Innovation 2021, 2, 100082. [Google Scholar] [CrossRef]
- Ma, Z.Y.; Zhang, Y.F.; Zhang, J.; Zhang, W.Y.; Foda, M.F.; Dai, X.X.; Han, H.Y. Ultrasmall peptide-coated platinum nanoparticles for precise NIR-II photothermal therapy by mitochondrial targeting. ACS Appl. Mater. Interfaces 2020, 12, 39434–39443. [Google Scholar] [CrossRef]
- Xie, X.B.; van Huis, M.A.; van Blaaderen, A. Symmetric and asymmetric epitaxial growth of metals (Ag, Pd, and Pt) onto Au nanotriangles: Effects of reductants and plasmonic properties. Nanoscale 2021, 13, 2902–2913. [Google Scholar] [CrossRef] [PubMed]
- Zhang, W.C.; Luoshan, M.D.; Wang, P.F.; Huang, C.Y.; Wang, Q.Q.; Ding, S.J.; Zhou, L. Growth of porous Ag@ AuCu trimetal nanoplates assisted by self-assembly. Nanomaterials 2020, 10, 2207. [Google Scholar] [CrossRef] [PubMed]
- Tian, J.L.; Zhang, W.; Gu, J.J.; Deng, T.; Zhang, D. Bioinspired Au–CuS coupled photothermal materials: Enhanced infrared absorption and photothermal conversion from butterfly wings. Nano Energy 2015, 17, 52–62. [Google Scholar] [CrossRef]
- Kuwahara, S.; Narita, Y.; Mizuno, L.; Kurotsu, H.; Yoshino, H.; Kuwahara, M. Localized surface plasmon resonance-induced welding of gold nanotriangles and the local plasmonic properties for multicolor sensing and light-harvesting applications. ACS Appl. Nano Mater. 2020, 3, 5172–5177. [Google Scholar] [CrossRef]
- Li, K.L.; Ma, X.T.; He, S.; Wang, L.; Yang, X.T.; Zhang, G.J.; Guan, S.Y.; Qu, X.Z.; Zhou, S.Y.; Xu, B.C. Ultrathin nanosheet-supported Ag@ Ag2O core–shell nanoparticles with vastly enhanced photothermal conversion efficiency for NIR-II-triggered photothermal therapy. ACS Biomater. Sci. Eng. 2022, 8, 540–550. [Google Scholar] [CrossRef]
- Liebig, F.; Sarhan, R.M.; Prietzel, C.; Schmitt, C.N.; Bargheer, M.; Koetz, J. Tuned surface-enhanced Raman scattering performance of undulated Au@ Ag triangles. ACS Appl. Nano Mater. 2018, 1, 1995–2003. [Google Scholar] [CrossRef]
- Guo, A.K.; Fu, Y.; Wang, G.; Wang, X.B. Diameter effect of gold nanoparticles on photothermal conversion for solar steam generation. RSC Adv. 2017, 7, 4815–4824. [Google Scholar] [CrossRef]
- Wang, F.; Li, C.H.; Chen, H.J.; Jiang, R.B.; Sun, L.D.; Li, Q.; Wang, J.F.; Yu, J.C.; Yan, C.H. Plasmonic harvesting of light energy for Suzuki coupling reactions. J. Am. Chem. Soc. 2013, 135, 5588–5601. [Google Scholar] [CrossRef]
- Ding, S.J.; Ma, L.; Feng, J.R.; Chen, Y.L.; Yang, D.J.; Wang, Q.Q. Surface-roughness-adjustable Au nanorods with strong plasmon absorption and abundant hotspots for improved SERS and photothermal performances. Nano Res. 2022, 15, 2715–2721. [Google Scholar] [CrossRef]
- Bi, C.X.; Chen, J.; Chen, Y.; Song, Y.H.; Li, A.R.; Li, S.Z.; Mao, Z.W.; Gao, C.Y.; Wang, D.Y.; Möhwald, H. Realizing a record photothermal conversion efficiency of spiky gold nanoparticles in the second near-infrared window by structure-based rational design. Chem. Mater. 2018, 30, 2709–2718. [Google Scholar] [CrossRef]
- Chen, M.J.; He, Y.R.; Zhu, J.Q. Preparation of Au–Ag bimetallic nanoparticles for enhanced solar photothermal conversion. Int. J. Heat Mass Trans. 2017, 114, 1098–1104. [Google Scholar] [CrossRef]
- Zhu, X.M.; Wan, H.Y.; Jia, H.L.; Liu, L.; Wang, J.F. Porous pt nanoparticles with high Near-Infrared photothermal conversion efficiencies for photothermal therapy. Adv. Healthc. Mater. 2016, 5, 3165–3172. [Google Scholar] [CrossRef]
- Zheng, Z.K.; Tachikawa, T.; Majima, T. Single-particle study of Pt-modified Au nanorods for plasmon-enhanced hydrogen generation in visible to near-infrared region. J. Am. Chem. Soc. 2014, 136, 6870–6873. [Google Scholar] [CrossRef]
- Zhang, Y.H.; Li, J.J.; Rong, H.; Tong, X.W.; Wang, Z.H. Self-template synthesis of Ag–Pt hollow nanospheres as electrocatalyst for methanol oxidation reaction. Langmuir 2017, 33, 5991–5997. [Google Scholar] [CrossRef]
- Ma, L.; Chen, K.; Nan, F.; Wang, J.H.; Yang, D.J.; Zhou, L.; Wang, Q.Q. Improved hydrogen production of Au–Pt–CdS hetero-nanostructures by efficient plasmon-induced multipathway electron transfer. Adv. Funct. Mater. 2016, 26, 6076–6083. [Google Scholar] [CrossRef]
- Duan, Q.Q.; Wang, J.L.; Zhang, B.Y.; Wang, X.Y.; Xue, J.J.; Zhang, W.D.; Sang, S.B. Polydopamine coated Au-Pt nanorods: Enhanced photothermal properties and efficient reactive oxygen scavengers. Colloid. Surf. B 2022, 210, 112247. [Google Scholar] [CrossRef] [PubMed]
- Tee, S.Y.; Ye, E.Y.; Teng, C.P.; Tanaka, Y.; Tang, K.Y.; Win, K.Y.; Han, M.Y. Advances in photothermal nanomaterials for biomedical, environmental and energy applications. Nanoscale 2021, 13, 14268–14286. [Google Scholar] [CrossRef]
- Li, J.; Zhang, W.; Ji, W.H.; Wang, J.Q.; Wang, N.X.; Wu, W.X.; Wu, Q.; Hou, X.Y.; Hu, W.B.; Li, L. Near infrared photothermal conversion materials: Mechanism, preparation, and photothermal cancer therapy applications. J. Mater. Chem. B 2021, 9, 7909–7926. [Google Scholar] [CrossRef] [PubMed]
- Liu, X.D.; Chen, B.; Wang, G.G.; Ma, S.; Cheng, L.; Liu, W.; Zhou, L.; Wang, Q.Q. Controlled growth of hierarchical Bi2Se3/CdSe-Au nanorods with optimized photothermal conversion and demonstrations in photothermal therapy. Adv. Funct. Mater. 2021, 31, 2104424. [Google Scholar] [CrossRef]
- Leng, C.B.; Zhang, X.; Xu, F.X.; Yuan, Y.; Pei, H.; Sun, Z.H.; Li, L.; Bao, Z.H. Engineering gold nanorod–copper sulfide heterostructures with enhanced photothermal conversion efficiency and photostability. Small 2018, 14, 1703077. [Google Scholar] [CrossRef]
- Wang, L.W.; Chong, J.; Fu, Y.Z.; Li, R.P.; Liu, J.H.; Huang, M.J. A novel strategy for the design of Au@ CdS yolk-shell nanostructures and their photocatalytic properties. J. Alloys Compd. 2020, 834, 155051. [Google Scholar] [CrossRef]
- Jiang, T.T.; Zong, J.P.; Feng, Y.H.; Chen, H.Y. Combining the Curvature and Ligand Effects for Regioselective Growth on Au Nano-Bipyramids. Precis. Chem. 2023, 1, 94–99. [Google Scholar] [CrossRef]
- Kou, X.S.; Ni, W.H.; Tsung, C.K.; Chan, K.; Lin, H.Q.; Stucky, G.D.; Wang, J.F. Growth of Gold Bipyramids with Improved Yield and Their Curvature-Directed Oxidation. Small 2007, 3, 2103–2113. [Google Scholar] [CrossRef]
- Li, Q.; Zhuo, X.L.; Li, S.; Ruan, Q.F.; Xu, Q.H.; Wang, J.F. Production of monodisperse gold nanobipyramids with number percentages approaching 100% and evaluation of their plasmonic properties. Adv. Opt. Mater. 2015, 3, 801–812. [Google Scholar] [CrossRef]
- Liu, M.Z.; Guyot-Sionnest, P. Mechanism of silver (I)-assisted growth of gold nanorods and bipyramids. J. Phys. Chem. B 2005, 109, 22192–22200. [Google Scholar] [CrossRef]
- Khan, A.U.; Zhao, S.Q.; Liu, G.L. Key parameter controlling the sensitivity of plasmonic metal nanoparticles: Aspect ratio. J. Phys. Chem. C 2016, 120, 19353–19364. [Google Scholar] [CrossRef]
- Zhang, J.T.; Tang, Y.; Lee, K.; Ouyang, M. Nonepitaxial growth of hybrid core-shell nanostructures with large lattice mismatches. Science 2010, 327, 1634–1638. [Google Scholar] [CrossRef]
- Tanaka, A.; Hashimoto, K.; Kominami, H. Visible-light-induced hydrogen and oxygen formation over Pt/Au/WO3 photocatalyst utilizing two types of photoabsorption due to surface plasmon resonance and band-gap excitation. J. Am. Chem. Soc. 2014, 136, 586–589. [Google Scholar] [CrossRef]
- Feng, L.L.; Wu, X.C.; Ren, L.R.; Xiang, Y.J.; He, W.W.; Zhang, K.; Zhou, W.Y.; Xie, S.S. Well-Controlled Synthesis of Au@ Pt Nanostructures by Gold-Nanorod-Seeded Growth. Chem.-A Eur. J. 2008, 14, 9764–9771. [Google Scholar] [CrossRef]
- Li, X.X.; Lin, X.; Lin, S.; Zhou, S.J.; Fang, G.Q.; Zhao, H.Y.; Wang, L.; Cong, S.L. From dilute to multiple layers: Bottom-up self-assembly of rough gold nanorods as SERS platform for quantitative detection of thiram in soil. Adv. Mater. Interfaces 2021, 8, 2100412. [Google Scholar] [CrossRef]





Disclaimer/Publisher’s Note: The statements, opinions and data contained in all publications are solely those of the individual author(s) and contributor(s) and not of MDPI and/or the editor(s). MDPI and/or the editor(s) disclaim responsibility for any injury to people or property resulting from any ideas, methods, instructions or products referred to in the content. |
© 2024 by the authors. Licensee MDPI, Basel, Switzerland. This article is an open access article distributed under the terms and conditions of the Creative Commons Attribution (CC BY) license (https://creativecommons.org/licenses/by/4.0/).
Share and Cite
Yan, H.; Li, G.; Zhang, F.; Liu, J.; Luoshan, M. Synthesis of Structure-Adjustable R-Au/Pt-CdS Nanohybrids with Strong Plasmon Coupling and Improved Photothermal Conversion Performance. Nanomaterials 2024, 14, 838. https://doi.org/10.3390/nano14100838
Yan H, Li G, Zhang F, Liu J, Luoshan M. Synthesis of Structure-Adjustable R-Au/Pt-CdS Nanohybrids with Strong Plasmon Coupling and Improved Photothermal Conversion Performance. Nanomaterials. 2024; 14(10):838. https://doi.org/10.3390/nano14100838
Chicago/Turabian StyleYan, Hangyu, Guowei Li, Fengyuan Zhang, Jingsong Liu, and Mengdai Luoshan. 2024. "Synthesis of Structure-Adjustable R-Au/Pt-CdS Nanohybrids with Strong Plasmon Coupling and Improved Photothermal Conversion Performance" Nanomaterials 14, no. 10: 838. https://doi.org/10.3390/nano14100838
APA StyleYan, H., Li, G., Zhang, F., Liu, J., & Luoshan, M. (2024). Synthesis of Structure-Adjustable R-Au/Pt-CdS Nanohybrids with Strong Plasmon Coupling and Improved Photothermal Conversion Performance. Nanomaterials, 14(10), 838. https://doi.org/10.3390/nano14100838
