Structural Characterization and Magnetic Behavior Due to the Cationic Substitution of Lanthanides on Ferrite Nanoparticles
Abstract
1. Introduction
2. Materials and Methods
2.1. Synthesis
2.2. Characterization
3. Results and Discussion
3.1. Powder X-ray Diffraction (PXRD) and Electron Microscopy Characterization (SEM‒EDS and TEM)
3.2. Raman Spectra, TEM, and HRTEM Results
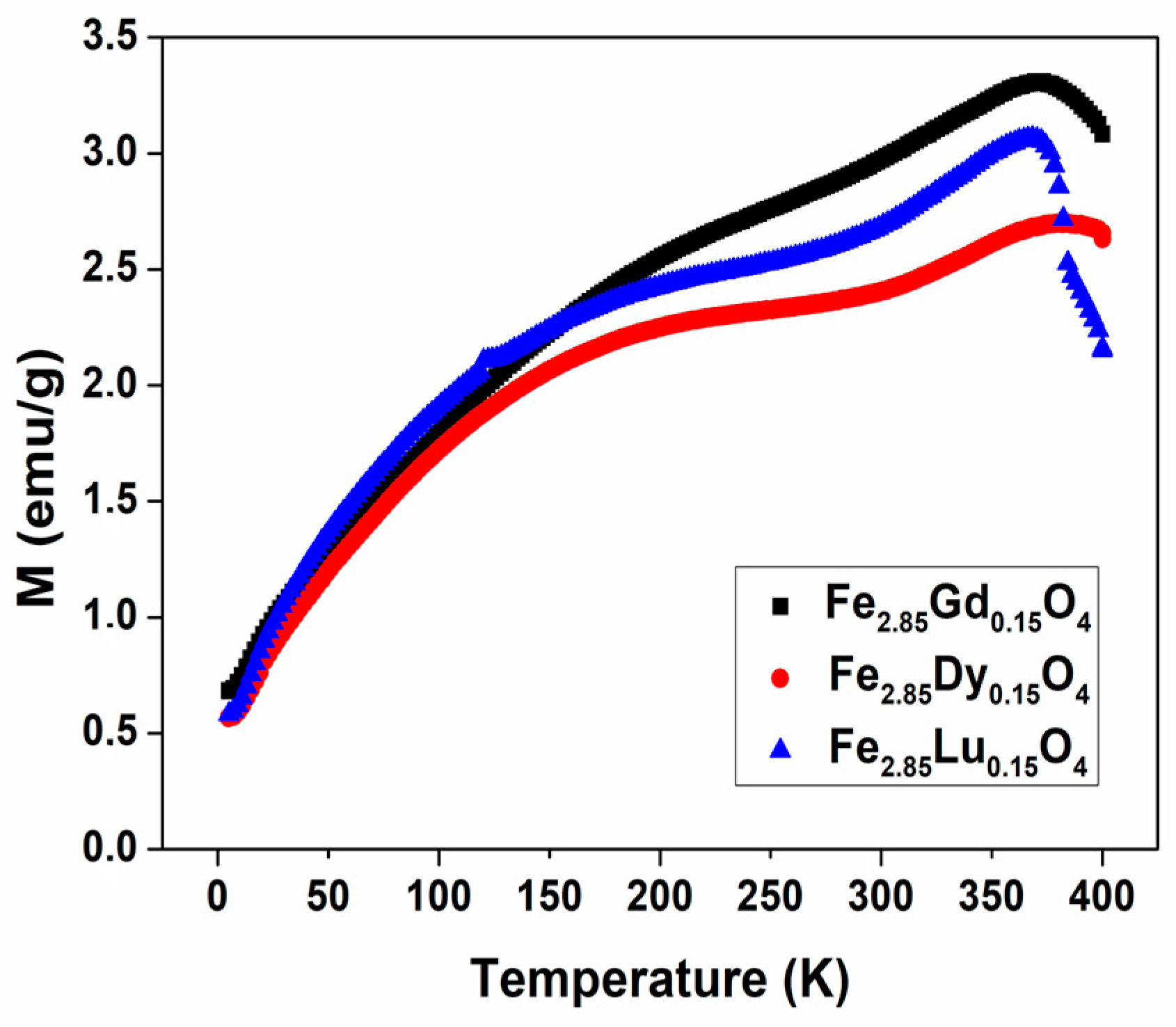
3.3. Magnetic Properties
4. Conclusions
Supplementary Materials
Author Contributions
Funding
Data Availability Statement
Acknowledgments
Conflicts of Interest
References
- Romero Gómez, J.; Ferreiro Garcia, R.; De Miguel Catoira, A.; Romero Gómez, M. Magnetocaloric effect: A review of the thermodynamic cycles in magnetic refrigeration. Renew. Sustain. Energy Rev. 2013, 17, 74–82. [Google Scholar] [CrossRef]
- Suto, M.; Hirota, Y.; Mamiya, H.; Fujita, A.; Kasuya, R.; Tohji, K.; Jeyadevan, B. Heat dissipation mechanism of magnetite nanoparticles in magnetic fluid hyperthermia. J. Magn. Magn. Mater. 2009, 321, 1493–1496. [Google Scholar] [CrossRef]
- Sharifi, I.; Shokrollahi, H.; Amiri, S. Ferrite-based magnetic nanofluids used in hyperthermia applications. J. Magn. Magn. Mater. 2012, 324, 903–915. [Google Scholar] [CrossRef]
- Hosterman, B. Raman Spectroscopic Study of Solid Solution Spinel Oxides. J. Phys. A Math. Theor. 2011, 44, 156. [Google Scholar]
- Mamiya, H.; Terada, N.; Furubayashi, T.; Suzuki, H.S.; Kitazawa, H. Influence of random substitution on magnetocaloric effect in a spinel ferrite. J. Magn. Magn. Mater. 2010, 322, 1561–1564. [Google Scholar] [CrossRef]
- Griffiths, R.B. Nonanalytic behavior above the critical point in a random Ising Ferromagnet. Phys. Rev. Lett. 1969, 23, 17. [Google Scholar] [CrossRef]
- Fernandes, C.; Pereira, C.; Fernandez-Garcia, M.P.; Pereira, A.M.; Guedes, A.; Fernandez-Pacheco, R.; Ibarra, A.; Ibarra, M.R.; Araujo, J.P.; Freire, C. Tailored design of CoxMn1−xFe2O4 nanoferrites: A new route for dual control of size and magnetic properties. J. Mater. Chem. C 2014, 2, 5818–5828. [Google Scholar] [CrossRef]
- Poddar, P.; Gass, J.; Rebar, D.J.; Srinath, S.; Srikanth, H.; Morrison, S.A.; Carpenter, E.E. Magnetocaloric effect in ferrite nanoparticles. J. Magn. Magn. Mater. 2006, 307, 227–231. [Google Scholar] [CrossRef]
- Naseri, M.G.; Bin Saion, E.; Ahangar, H.A.; Hashim, M.; Shaari, A.H. Synthesis and characterization of manganese ferrite nanoparticles by thermal treatment method. J. Magn. Magn. Mater. 2011, 323, 1745–1749. [Google Scholar] [CrossRef]
- Sena, N.C.; Castro, T.J.; Garg, V.K.; Oliveira, A.C.; Morais, P.C.; da Silva, S.W. Gadolinium ferrite nanoparticles: Synthesis and morphological, structural and magnetic properties. Ceram. Int. 2017, 43, 4042–4047. [Google Scholar] [CrossRef]
- Thorat, N.D.; Bohara, R.A.; Tofail, S.A.; Alothman, Z.A.; Shiddiky, M.J.; AHossain, M.S.; Yamauchi, Y.; Wu, K.C.W. Superparamagnetic Gadolinium Ferrite Nanoparticles with Controllable Curie Temperature—Cancer Theranostics for MR-Imaging-Guided MAgneto-Chemotherapy. Eur. J. Inorg. Chem. 2016, 2016, 4586–4597. [Google Scholar] [CrossRef]
- Wechsler, B.A.; Lindsley, D.H.; Prewitt, C.T. Crystal structure and cation distribution in titanomagnetites (Fe3−xTixO4). Am. Mineral. 1984, 69, 754–770. [Google Scholar]
- Hanesch, M. Raman spectroscopy of iron oxides and (oxy)hydroxides at low laser power and possible applications in environmental magnetic studies. Geophys. J. Int. 2009, 177, 941–948. [Google Scholar] [CrossRef]
- Rana, G.; Johri, U.C. Correlation between the pH value and properties of magnetite nanoparticles. Adv. Mater. Lett. 2014, 5, 280–286. [Google Scholar] [CrossRef]
- Shebanova, O.N.; Lazor, P. Raman spectroscopic study of magnetite (FeFe2O4): A new assignment for the vibrational spectrum. J. Solid State Chem. 2003, 174, 424–430. [Google Scholar] [CrossRef]
- Gasparov, L.V.; Tanner, D.B.; Romero, D.B.; Berger, H.; Margaritondo, G.; Forró, L. Infrared and Raman studies of the Verwey transition in magnetite. Phys. Rev. B Condens. Matter Mater. Phys. 2000, 62, 7939–7944. [Google Scholar] [CrossRef]
- Shebanova, O.N.; Lazor, P. Raman study of magnetite (Fe3O4): Laser-induced thermal effects and oxidation. J. Raman Spectrosc. 2003, 34, 845–852. [Google Scholar] [CrossRef]
- Dünnwald, J.; Otto, A. An Investigation of Phase transitions in rust layers using Raman spectroscopy. Corros. Sci. 1989, 29, 1167–1176. [Google Scholar] [CrossRef]
- Ghorbani, H.; Eshraghi, M.; Dodaran, A.S.; Kameli, P.; Protasowicki, S.; Vashaee, D. Effect of Yb doping on the structural and magnetic properties of cobalt ferrite nanoparticles. Mater. Res. Bull. 2022, 147, 111642. [Google Scholar] [CrossRef]
- Graves, P.R.; Campaniello, J.J.; Johnston, C. Raman Scattering in Spinel Structure Ferrites. Mater. Res. Bull. 1988, 23, 1651–1660. [Google Scholar] [CrossRef]
- Nekvapil, F.; Bunge, A.; Radu, T.; Cinta Pinzaru, S.; Turcu, R. Raman spectra tell us so much more: Raman features and saturation magnetization for efficient analysis of manganese zinc ferrite nanoparticles. J. Raman Spectrosc. 2020, 51, 959–968. [Google Scholar] [CrossRef]
- Nakagomi, F.; da Silva, S.W.; Garg, V.K.; Oliveira, A.C.; Morais, P.C.; Franco, A. Influence of the Mg-content on the cation distribution in cubic MgxFe3-xO4 nanoparticles. J. Solid State Chem. 2009, 182, 2423–2429. [Google Scholar] [CrossRef]
- Sun, C.; Liu, Y.; Ding, W.; Gou, Y.; Xu, K.; Xia, G.; Ding, Q. Synthesis and Characterization of Superparamagnetic CoFe2O4/MWCNT Hybrids for Tumor-Targeted Therapy. J. Nanosci. Nanotechnol. 2013, 13, 236–241. [Google Scholar] [CrossRef] [PubMed]
- Shete, P.B.; Patil, R.M.; Thorat, N.D.; Prasad, A.; Ningthoujam, R.S.; Ghosh, S.J.; Pawar, S.H. Magnetic chitosan nanocomposite for hyperthermia therapy application: Preparation, characterization and in vitro experiments. Appl. Surf. Sci. 2014, 288, 149–157. [Google Scholar] [CrossRef]
- Chandra, S.; Mehta, S.; Nigam, S.; Bahadur, D. Dendritic magnetite nanocarriers for drug delivery applications. N. J. Chem. 2010, 34, 648. [Google Scholar] [CrossRef]
- Maity, D.; Chandrasekharan, P.; Yang, C.T.; Chuang, K.H.; Shuter, B.; Xue, J.M.; Ding, J.; Feng, S.S. Facile synthesis of water-stable magnetite nanoparticles for clinical MRI and magnetic hyperthermia applications. Nanomedicine 2010, 5, 1571–1584. [Google Scholar] [CrossRef] [PubMed]
- Maity, D.; Kale, S.N.; Kaul-Ghanekar, R.; Xue, J.M.; Ding, J. Studies of magnetite nanoparticles synthesized by thermal decomposition of iron (III) acetylacetonate in tri(ethylene glycol). J. Magn. Magn. Mater. 2009, 321, 3093–3098. [Google Scholar] [CrossRef]
- Maity, D.; Choo, S.G.; Yi, J.; Ding, J.; Xue, J.M. Synthesis of magnetite nanoparticles via a solvent-free thermal decomposition route. J. Magn. Magn. Mater. 2009, 321, 1256–1259. [Google Scholar] [CrossRef]
- Guardia, P.; Batlle-Brugal, B.; Roca, A.G.; Iglesias, O.; Morales, M.D.P.; Serna, C.J.; Labarta, A.; Batlle, X. Surfactant effects in magnetite nanoparticles of controlled size. J. Magn. Magn. Mater. 2007, 316, 756–759. [Google Scholar] [CrossRef]
- Ngo, A.T.; Bonville, P.; Pileni, M.P. Spin canting and size effects in nanoparticles of nonstoichiometric cobalt ferrite. J. Appl. Phys. 2001, 89, 3370–3376. [Google Scholar] [CrossRef]
- Maldonado-Camargo, L.; Unni, M.; Rinaldi, C. Magnetic Characterization of Iron Oxide Nanoparticles for Biomedical Applications. Biomed. Nanotechnol. Methods Protoc. 2017, 5, 47–71. [Google Scholar] [CrossRef] [PubMed]
- Mamiya, H.; Fukumoto, H.; Cuya Huaman, J.L.; Suzuki, K.; Miyamura, H.; Balachandran, J. Estimation of Magnetic Anisotropy of Individual Magnetite Nanoparticles for Magnetic Hyperthermia. ACS Nano 2020, 14, 8421–8432. [Google Scholar] [CrossRef] [PubMed]
- Barnakov, Y.A.; Yu, M.H.; Rosenzweig, Z. Manipulation of the magnetic properties of magnetite-silica nanocomposite materials by controlled stober synthesis. Langmuir 2005, 21, 7524–7527. [Google Scholar] [CrossRef] [PubMed]
- Řezníček, R.; Chlan, V.; Štěpánková, H.; Novák, P.; Maryško, M. Magnetocrystalline anisotropy of magnetite. J. Phys. Condens. Matter 2012, 24, 055501. [Google Scholar] [CrossRef] [PubMed]
- Lisjak, D.; Mertelj, A. Anisotropic magnetic nanoparticles: A review of their properties, syntheses and potential applications. Prog. Mater. Sci. 2018, 95, 286–328. [Google Scholar] [CrossRef]
- Osman, N.S.E.; Moyo, T. Temperature Dependence of Coercivity and Magnetization of Sr1/3Mn1/3Co1/3Fe2O4 Ferrite Nanoparticles. J. Supercond. Nov. Magn. 2015, 29, 361–366. [Google Scholar] [CrossRef]
- Lee, E.W.; Bishop, J.E.L. Magnetic behaviour of single-domain particles. Proc. Phys. Soc. 1966, 89, 661. [Google Scholar] [CrossRef]
- Xu, S.; Ma, Y.; Geng, B.; Sun, X.; Wang, M. The remanence ratio in CoFe2O4 nanoparticles with approximate single-domain sizes. Nanoscale Res. Lett. 2016, 11, 471. [Google Scholar] [CrossRef]








| Chemical Formula | a (Å) | Volume (Å3) | Diameter (nm) | 
|---|---|---|---|
| Fe3O4 * | 8.39 | 591.96 | - | 
| Fe3O4 ζ | 8.33 (1) | 580.8 (2) | 10.9 (3) | 
| Fe2.95Gd0.05O4 | 8.35 (2) | 583.6 (6) | 10.5 (1) | 
| Fe2.90Gd0.10O4 | 8.37 (1) | 588.3 (3) | 11.2 (8) | 
| Fe2.85Gd0.15O4 | 8.37 (1) | 586.8 (2) | 12.5 (3) | 
| Fe2.95Dy0.05O4 | 8.38 (2) | 584.8 (1) | 8.8 (8) | 
| Fe2.90Dy0.10O4 | 8.38 (3) | 588.7 (5) | 10.7 (1) | 
| Fe2.85Dy0.15O4 | 8.38 (3) | 589.4 (1) | 11.5 (1) | 
| Fe2.95Lu0.05O4 | 8.37 (3) | 589.3 (7) | 9.71 (2) | 
| Fe2.90Lu0.10O4 | 8.39 (1) | 587.3 (3) | 9.98 (1) | 
| Fe2.85Lu0.15O4 | 8.39 (2) | 587.2 (2) | 12.3 (3) | 
| Vibrational Mode (cm−1) | |||||
|---|---|---|---|---|---|
| Phase | T2g | E1g | T2g (2) | A1g | A1g (2) | 
| Fe3O4 | 122 | 349 | 508 | 672 | 718 | 
| Fe2.95Gd0.05O4 | 122 | 355 | 510 | 675 | 721 | 
| Fe2.90Gd0.10O4 | 125 | 348 | 516 | 668 | 719 | 
| Fe2.85Gd0.15O4 | 112 | 353 | 505 | 673 | 722 | 
| Fe2.95Dy0.05O4 | 127 | 348 | 510 | 671 | 719 | 
| Fe2.90Dy0.10O4 | 117 | 346 | 515 | 673 | 722 | 
| Fe2.85Dy0.15O4 | n/d | 347 | 515 | 673 | 716 | 
| Fe2.95Lu0.05O4 | 125 | 354 | 506 | 669 | 721 | 
| Fe2.90Lu0.10O4 | 130 | 356 | 505 | 673 | 722 | 
| Fe2.85Lu0.15O4 | 129 | 349 | 506 | 672 | 722 | 
| Replaced Element | Phase | Temperature | Saturation (emu/g) | Remanence (emu/g) | Coercivity (Oe) | Mr/Ms | 
|---|---|---|---|---|---|---|
| Fe3O4 | 5 | 48.90 | 15.25 | 370 | 0.312 | |
| 150 | 45.45 | 0.53 | 11.55 | 0.012 | ||
| 300 | 38.62 | 0.0016 | 0.0064 | 0.0004 | ||
| Gadolinium | Fe2.95Gd0.05O4 | 5 | 62.97 | 16.05 | 379 | 0.255 | 
| 150 | 54.12 | 1.4 | 47.96 | 0.026 | ||
| 300 | 48.20 | 0.055 | 2.27 | 0.001 | ||
| Fe2.90Gd0.10O4 | 5 | 63.57 | 16.38 | 339.16 | 0.258 | |
| 150 | 47.92 | 3.38 | 111.76 | 0.071 | ||
| 300 | 43.39 | 1.31 | 47.08 | 0.030 | ||
| Fe2.85Gd0.15O4 | 5 | 65.83 | 17.53 | 386.08 | 0.266 | |
| 150 | 52.79 | 3.67 | 111.52 | 0.070 | ||
| 300 | 45.99 | 0.71 | 24.76 | 0.015 | ||
| Dysprosium | Fe2.95Dy0.05O4 | 5 | 49.92 | 13.36 | 407.41 | 0.268 | 
| 150 | 44.08 | 1.11 | 51.44 | 0.025 | ||
| 300 | 38.24 | 0.26 | 14.78 | 0.007 | ||
| Fe2.90Dy0.10O4 | 5 | 52.89 | 14.22 | 457.53 | 0.269 | |
| 150 | 45.51 | 2.21 | 60.27 | 0.049 | ||
| 300 | 38.34 | 0.43 | 21.18 | 0.011 | ||
| Fe2.85Dy0.15O4 | 5 | 56.61 | 15.78 | 434.67 | 0.279 | |
| 150 | 44.21 | 2.86 | 73.57 | 0.065 | ||
| 300 | 38.60 | 0.75 | 33.59 | 0.0194 | ||
| Lutetium | Fe2.95Lu0.05O4 | 5 | 51.84 | 17.05 | 389.09 | 0.329 | 
| 150 | 48.66 | 1.02 | 26.26 | 0.021 | ||
| 300 | 46.91 | 0.18 | 7.75 | 0.004 | ||
| Fe2.90Lu0.10O4 | 5 | 56.59 | 16.9 | 355.7 | 0.299 | |
| 150 | 56.01 | 2.27 | 49.11 | 0.041 | ||
| 300 | 49.43 | 0.42 | 14.94 | 0.009 | ||
| Fe2.85Lu0.15O4 | 5 | 50.42 | 17.46 | 367.24 | 0.346 | |
| 150 | 49.43 | 3.34 | 71.65 | 0.068 | ||
| 300 | 43.32 | 0.95 | 35.89 | 0.022 | 
| Phases | Ms (emu/g) | A1g/T2g | A1g/E1g | Diameter (nm) | TB (K) | Anisotropy (J/m3) | 
|---|---|---|---|---|---|---|
| Fe3O4 | 38.62 | 1.40 | 1.54 | 10.9 (3) | 300 | 1.45 × 105 | 
| Fe2.95Gd0.05O4 | 48.20 | 1.60 | 1.64 | 10.5 (1) | 364.11 | 2.02 × 105 | 
| Fe2.90Gd0.10O4 | 43.39 | 1.19 | 0.82 | 11.2 (8) | 354.39 | 8.44 × 104 | 
| Fe2.85Gd0.15O4 | 45.99 | 1.23 | 1.18 | 12.5 (3) | 369.62 | 1.22 × 105 | 
| Fe2.95Dy0.05O4 | 38.24 | 1.61 | 1.45 | 8.8 (8) | 340.74 | 3.26 × 105 | 
| Fe2.90Dy0.10O4 | 38.34 | 1.17 | 0.87 | 10.7 (1) | 358.32 | 1.90 × 105 | 
| Fe2.85Dy0.15O4 | 38.60 | 1.43 | 0.84 | 11.5 (1) | 382.98 | 1.61 × 105 | 
| Fe2.95Lu0.05O4 | 46.91 | 1.51 | 1.29 | 9.71 (2) | 327.89 | 2.31 × 105 | 
| Fe2.90Lu0.10O4 | 49.43 | 1.57 | 1.44 | 9.98 (1) | 372.6 | 2.46 × 105 | 
| Fe2.85Lu0.15O4 | 43.32 | 1.24 | 1.17 | 12.3 (3) | 368.3 | 1.30 × 105 | 
| Disclaimer/Publisher’s Note: The statements, opinions and data contained in all publications are solely those of the individual author(s) and contributor(s) and not of MDPI and/or the editor(s). MDPI and/or the editor(s) disclaim responsibility for any injury to people or property resulting from any ideas, methods, instructions or products referred to in the content. | 
© 2024 by the authors. Licensee MDPI, Basel, Switzerland. This article is an open access article distributed under the terms and conditions of the Creative Commons Attribution (CC BY) license (https://creativecommons.org/licenses/by/4.0/).
Share and Cite
Pinto García, C.; Maine, A.; Valenzuela-Fernández, R.A.; Aliaga Cerón, Á.; Barahona Huenchumil, P.; Peña, O.; Álvarez-Serrano, I.; Ibáñez, A.; Melo, F.; Galdámez Silva, A. Structural Characterization and Magnetic Behavior Due to the Cationic Substitution of Lanthanides on Ferrite Nanoparticles. Nanomaterials 2024, 14, 971. https://doi.org/10.3390/nano14110971
Pinto García C, Maine A, Valenzuela-Fernández RA, Aliaga Cerón Á, Barahona Huenchumil P, Peña O, Álvarez-Serrano I, Ibáñez A, Melo F, Galdámez Silva A. Structural Characterization and Magnetic Behavior Due to the Cationic Substitution of Lanthanides on Ferrite Nanoparticles. Nanomaterials. 2024; 14(11):971. https://doi.org/10.3390/nano14110971
Chicago/Turabian StylePinto García, Cristóbal, Arianne Maine, Rodrigo A. Valenzuela-Fernández, Álvaro Aliaga Cerón, Patricia Barahona Huenchumil, Octavio Peña, Inmaculada Álvarez-Serrano, Andrés Ibáñez, Francisco Melo, and Antonio Galdámez Silva. 2024. "Structural Characterization and Magnetic Behavior Due to the Cationic Substitution of Lanthanides on Ferrite Nanoparticles" Nanomaterials 14, no. 11: 971. https://doi.org/10.3390/nano14110971
APA StylePinto García, C., Maine, A., Valenzuela-Fernández, R. A., Aliaga Cerón, Á., Barahona Huenchumil, P., Peña, O., Álvarez-Serrano, I., Ibáñez, A., Melo, F., & Galdámez Silva, A. (2024). Structural Characterization and Magnetic Behavior Due to the Cationic Substitution of Lanthanides on Ferrite Nanoparticles. Nanomaterials, 14(11), 971. https://doi.org/10.3390/nano14110971
 
        


 
                         
       