Thermal Effects on Domain Wall Stability at Magnetic Stepped Nanowire for Nanodevices Storage
Abstract
1. Introduction
2. Theoretical Model
3. Results and Discussion
3.1. Stepped Area Dimensions
3.2. Nanowire Dimensions
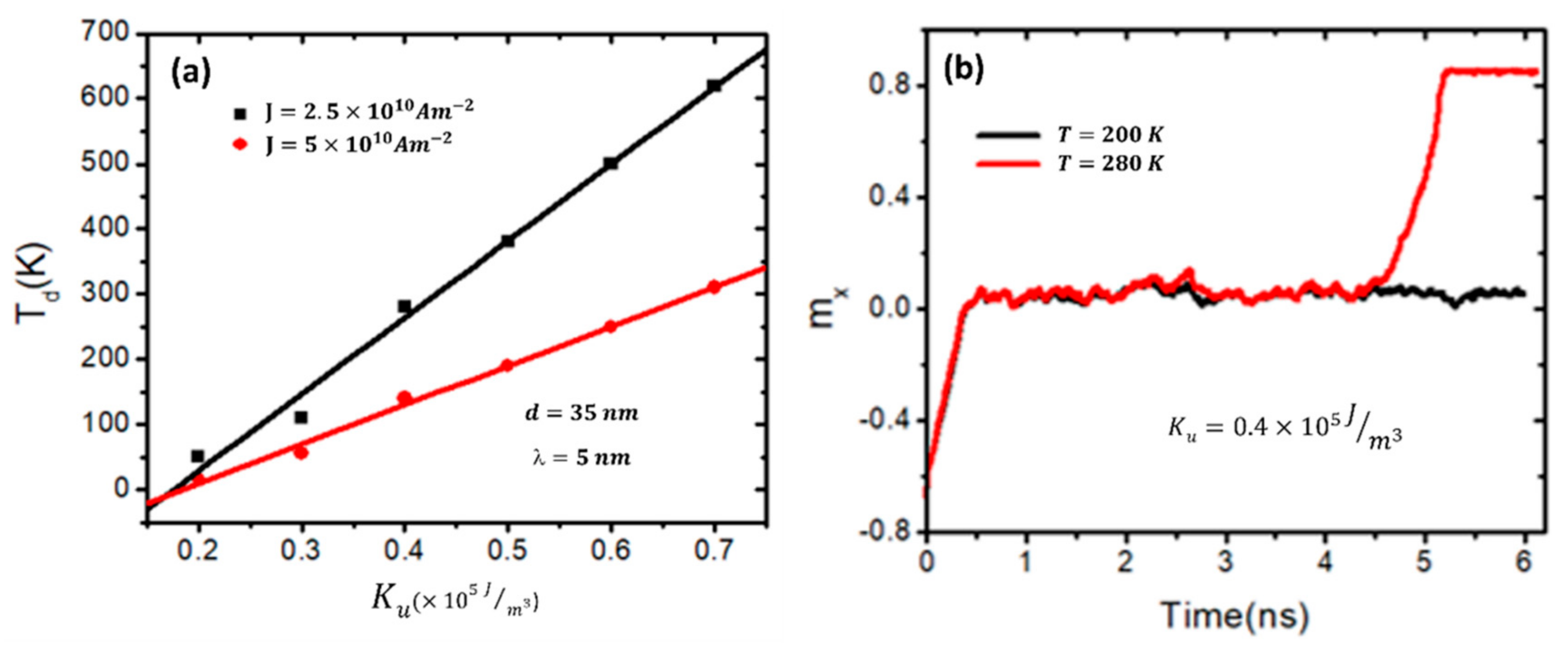
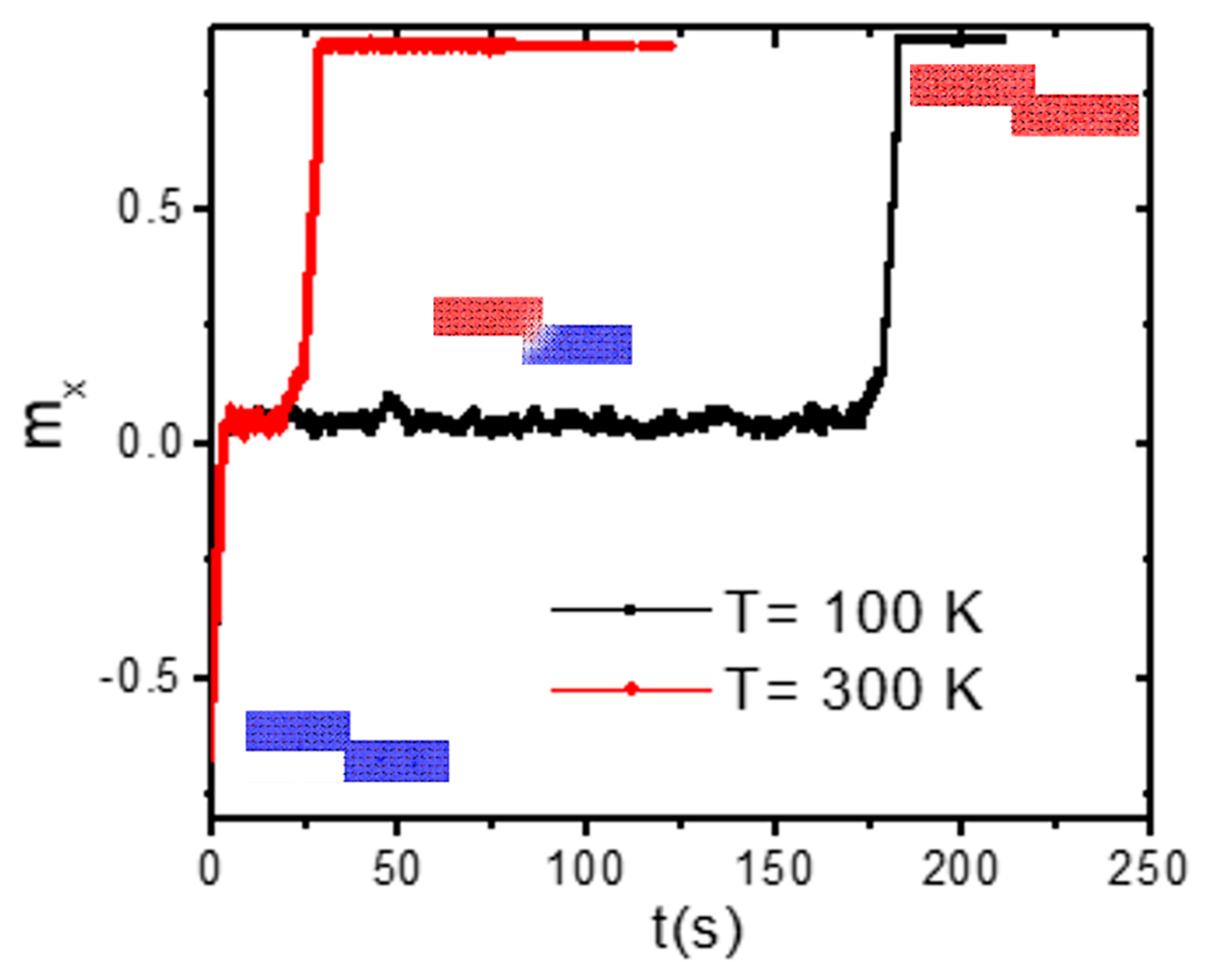
3.3. Magnetic Properties
4. Conclusions
Author Contributions
Funding
Data Availability Statement
Acknowledgments
Conflicts of Interest
References
- Hayashi, M.; Thomas, L.; Moriya, R.; Rettner, C.; Parkin, S.S.P. Current-controlled magnetic domain-wall nanowire shift register. Science 2008, 320, 209–211. [Google Scholar] [CrossRef] [PubMed]
- Hayashi, M.; Thomas, L.; Rettner, C.; Moriya, R.; Jiang, X.; Parkin, S.S.P. Dependence of current and field driven depinning of domain walls on their structure and chirality in permalloy nanowires. Phys. Rev. Lett. 2006, 97, 207205. [Google Scholar] [CrossRef] [PubMed]
- Zhao, W.S.; Duval, J.; Ravelosona, D.; Klein, J.O.; Kim, J.V.; Chappert, C. A compact model of domain wall propagation for logic and memory design. Proc. J. Appl. Phys. 2011, 109, 07D501. [Google Scholar] [CrossRef]
- Hu, K.C.; Lu, H.Y.; Chang, C.C.; Chen, H.H.; Wu, F.S.; Huang, C.H.; Wu, T.C.; Lin, L.; Wu, J.C.; Horng, L. Adjustment of demagnetizing field in permalloy nanowires to control domain wall motion. IEEE Trans. Magn. 2014, 50, 2013–2015. [Google Scholar] [CrossRef]
- Rial, J.; Proenca, M. A Novel Design of a 3D Racetrack Memory Based on Functional Segments in Cylindrical Nanowire Arrays. Nanomaterials 2020, 10, 2403. [Google Scholar] [CrossRef] [PubMed]
- Gu, K.; Guan, Y.; Hazra, B.; Deniz, H.; Migliorini, A.; Zhang, W.; Parkin, S. Three-dimensional racetrack memory devices designed from freestanding magnetic heterostructures. Nat. Nanotechnol. 2022, 17, 1065–1071. [Google Scholar] [CrossRef] [PubMed]
- Deb, M.; Molho, P.; Barbara, B. Magnetic damping of ferromagnetic and exchange resonance modes in a ferrimagnetic insulator. Phys. Rev. B 2022, 105, 014432. [Google Scholar] [CrossRef]
- Jang, Y.; Mascaro, M.D.; Beach, G.S.D.; Ross, C.A. Current-driven domain wall motion in heterostructured ferromagnetic nanowires. Appl. Phys. Lett. 2012, 100, 112401. [Google Scholar] [CrossRef]
- Purnama, I.; Chandra Sekhar, M.; Goolaup, S.; Lew, W.S. Current-induced coupled domain wall motions in a two-nanowire system. Appl. Phys. Lett. 2011, 99, 2–4. [Google Scholar] [CrossRef]
- Ai, J.H.; Miao, B.F.; Sun, L.; You, B.; Hu, A.; Ding, H.F. Current-induced domain wall motion in permalloy nanowires with a rectangular cross-section. J. Appl. Phys. 2011, 110, 093913. [Google Scholar] [CrossRef]
- Beach, G.S.D.; Nistor, C.; Knutson, C.; Tsoi, M.; Erskine, J.L. Dynamics of field-driven domain-wall propagation in ferromagnetic nanowires. Nat. Mater. 2005, 4, 741. [Google Scholar] [CrossRef] [PubMed]
- Sbiaa, R.; Al Bahri, M. Constricted nanowire with stabilized magnetic domain wall. J. Magn. Magn. Mater. 2016, 411, 113–115. [Google Scholar] [CrossRef]
- Al Bahri, M.; Sbiaa, R. Geometrically pinned magnetic domain ll for multi-bit per cell storage memory. Sci. Rep. 2016, 6, 28590. [Google Scholar] [CrossRef]
- Kunz, A.; Priem, J.D. Dynamic notch pinning fields for domain walls in ferromagnetic nanowires. IEEE Trans. Magn. 2010, 46, 1559–1561. [Google Scholar] [CrossRef]
- Noh, S.J.; Miyamoto, Y.; Okuda, M.; Hayashi, N.; Keun Kim, Y. Effects of notch shape on the magnetic domain wall motion in nanowires with in-plane or perpendicular magnetic anisotropy. J. Appl. Phys. 2012, 111, 07D123. [Google Scholar] [CrossRef]
- Huang, S.H.; Lai, C.H. Domain-wall depinning by controlling its configuration at notch. Appl. Phys. Lett. 2009, 95, 032505. [Google Scholar] [CrossRef]
- Al Bahri, M. Controlling domain wall thermal stability switching in magnetic nanowires for storage memory nanodevices. J. Magn. Magn. Mater. 2022, 543, 168611. [Google Scholar] [CrossRef]
- Koyama, T.; Chiba, D.; Ueda, K.; Kondou, K.; Tanigawa, H.; Fukami, S.; Suzuki, T.; Ohshima, N.; Ishiwata, N.; Nakatani, Y.; et al. Observation of the intrinsic pinning of a magnetic domain wall in a ferromagnetic nanowire. Nat. Mater. 2011, 10, 194–197. [Google Scholar] [CrossRef]
- Kisielewski, M.; Maziewski, A.; Zablotskii, V.; Stefanowicz, W. Micromagnetic simulations and analytical description of magnetic configurations in nanosized magnets. Phys. B Condens. Matter. 2006, 372, 316. [Google Scholar] [CrossRef]
- Vogel, A.; Wintz, S.; Gerhardt, T.; Bocklage, L.; Strache, T.; Im, M.Y.; Fischer, P.; Fassbender, J.; McCord, J.; Meier, G. Field- and current-induced domain-wall motion in permalloy nanowires with magnetic soft spots. Appl. Phys. Lett. 2011, 98, 202501. [Google Scholar] [CrossRef]
- Junginger, F.; Kläui, M.; Backes, D.; Rüdiger, U. Spin torque and heating effects in current-induced domain wall motion. Appl. Phys. Lett. 2007, 90, 133–135. [Google Scholar] [CrossRef]
- Tanigawa, H.; Suemitsu, K.; Fukami, S.; Ohshima, N.; Suzuki, T.; Kariyada, E.; Ishiwata, N. Effect of device temperature on domain wall motion in a perpendicularly magnetized Co/Ni wire. Appl. Phys. Express 2011, 4, 013007. [Google Scholar] [CrossRef]
- Moriya, R.; Hayashi, M.; Thomas, L.; Rettner, C.; Parkin, S.S.P. Dependence of field driven domain wall velocity on cross-sectional area in Ni65Fe20Co15 nanowires. Appl. Phys. Lett. 2010, 97, 2008–2011. [Google Scholar] [CrossRef]
- Van Waeyenberge, B.; Puzic, A.; Stoll, H.; Chou, K.W.; Tyliszczak, T.; Hertel, R.; Fähnle, M.; Brückl, H.; Rott, K.; Reiss, G.; et al. Magnetic vortex core reversal by excitation with short bursts of an alternating field. Nature 2006, 444, 461–464. [Google Scholar] [CrossRef] [PubMed]
- Ho, L.D.A.; Tran, M.T.; Cao, X.H.; Dao, V.A.; Ngo, D.T.; Hoang, D.Q. Field-driven single domain wall motion in ferromagnetic nanowires. RSC Adv. 2018, 8, 14539–14551. [Google Scholar] [CrossRef] [PubMed]
- You, C.Y. Concept of the field-driven domain wall motion memory. J. Magn. Magn. Mater. 2009, 321, 888–890. [Google Scholar] [CrossRef]
- Al Bahri, M.; Borie, B.; Jin, T.L.; Sbiaa, R.; Kläui, M.; Piramanayagam, S.N. Staggered Magnetic Nanowire Devices for Effective Domain-Wall Pinning in Racetrack Memory. Phys. Rev. Appl. 2019, 11, 024023. [Google Scholar] [CrossRef]
- Ieda, J.; Sugishita, H.; Maekawa, S. Current-induced domain wall motion in magnetic nanowires with spatial variation. J. Magn. Magn. Mater. 2010, 322, 1363. [Google Scholar] [CrossRef]
- Tatara, G.; Kohno, H. Theory of Current-Driven Domain Wall Motion: Spin Transfer versus Momentum Transfer. Phys. Rev. Lett. 2004, 92, 086601. [Google Scholar] [CrossRef] [PubMed]
- Ngo, D.T.; Ikeda, K.; Awano, H. Direct observation of domain wall motion induced by low-current density in TbFeCo wires. Appl. Phys. Express 2011, 4, 093002. [Google Scholar] [CrossRef]
- Schieback, C.; Hinzke, D.; Kläui, M.; Nowak, U.; Nielaba, P. Temperature dependence of the current-induced domain wall motion from a modified Landau-Lifshitz-Bloch equation. Phys. Rev. B—Cover. Matter Mater. Phys. 2009, 80, 214403. [Google Scholar] [CrossRef]
- Martinez, E.; Lopez-Diaz, L.; Torres, L.; Tristan, C.; Alejos, O. Thermal effects in domain wall motion: Micromagnetic simulations and analytical model. Phys. Rev. B—Cover. Matter Mater. Phys. 2007, 75, 174409. [Google Scholar] [CrossRef]
- Suzuki, T.; Fukami, S.; Ohshima, N.; Nagahara, K.; Ishiwata, N. Analysis of current-driven domain wall motion from pinning sites in nanostrips with perpendicular magnetic anisotropy. J. Appl. Phys. 2008, 103, 113913. [Google Scholar] [CrossRef]
- He, J.; Li, Z.; Zhang, S. Current-driven domain-wall depinning. J. Appl. Phys. 2005, 98, 016108. [Google Scholar] [CrossRef]
- Al Bahri, M. Vortex domain wall dynamics in stepped magnetic nanowire with in-plane magnetic anisotropy. J. Magn. Magn. Mater. 2020, 515, 167293. [Google Scholar] [CrossRef]
- Atkinson, D.; Eastwood, D.S.; Bogart, L.K.; Bogart, L.K. Controlling domain wall pinning in planar nanowires by selecting domain wall type and its application in a memory concept. Appl. Phys. Lett. 2008, 92, 022510. [Google Scholar] [CrossRef]
- Al Bahri, M. Geometrical Confinement of Vortex Domain Wall in Constricted Magnetic Nanowire with In-Plane Magnetic Anisotropy. IEEE Trans. Magn. 2021, 57, 3053090. [Google Scholar] [CrossRef]
- Donahue, M.J.; Porter, D.G. OOMMF User’s Guide, Version 1.0, Interagency Report NISTIR 6376; Technical 427 Report; National Institute of Standards and Technology: Gaithersburg, MD, USA, 1999. Available online: https://math.nist.gov/oommf/ (accessed on 3 July 2024).
- Thiaville, A.; Nakatani, Y.; Miltat, J.; Suzuki, Y. Micromagnetic understanding of current-driven domain wall motion in patterned nanowires. Europhys. Lett. 2005, 69, 990–996. [Google Scholar] [CrossRef]
- Higgins, B.E.; Torabi, A.F.; Mallary, M.L. Measurement of thermal stability factor distribution in thin film media. IEEE Trans. Magn. 2001, 37, 1528–1530. [Google Scholar] [CrossRef]
- Sharrock, M.P. Time dependence of switching fields in magnetic recording media. J. Appl. Phys. 1994, 76, 6413–6418. [Google Scholar] [CrossRef]
- Sbiaa, R.; Al Bahri, M.; Piramanayagam, S.N. Domain wall oscillation in magnetic nanowire with a geometrically confined region. J. Magn. Magn. Mater. 2018, 456, 324–328. [Google Scholar] [CrossRef]









Disclaimer/Publisher’s Note: The statements, opinions and data contained in all publications are solely those of the individual author(s) and contributor(s) and not of MDPI and/or the editor(s). MDPI and/or the editor(s) disclaim responsibility for any injury to people or property resulting from any ideas, methods, instructions or products referred to in the content. |
© 2024 by the authors. Licensee MDPI, Basel, Switzerland. This article is an open access article distributed under the terms and conditions of the Creative Commons Attribution (CC BY) license (https://creativecommons.org/licenses/by/4.0/).
Share and Cite
Al Bahri, M.; Al-Kamiyani, S. Thermal Effects on Domain Wall Stability at Magnetic Stepped Nanowire for Nanodevices Storage. Nanomaterials 2024, 14, 1202. https://doi.org/10.3390/nano14141202
Al Bahri M, Al-Kamiyani S. Thermal Effects on Domain Wall Stability at Magnetic Stepped Nanowire for Nanodevices Storage. Nanomaterials. 2024; 14(14):1202. https://doi.org/10.3390/nano14141202
Chicago/Turabian StyleAl Bahri, Mohammed, and Salim Al-Kamiyani. 2024. "Thermal Effects on Domain Wall Stability at Magnetic Stepped Nanowire for Nanodevices Storage" Nanomaterials 14, no. 14: 1202. https://doi.org/10.3390/nano14141202
APA StyleAl Bahri, M., & Al-Kamiyani, S. (2024). Thermal Effects on Domain Wall Stability at Magnetic Stepped Nanowire for Nanodevices Storage. Nanomaterials, 14(14), 1202. https://doi.org/10.3390/nano14141202

