Tailoring of Circularly Polarized Beams Employing Bound States in the Continuum in a Designed Photonic Crystal Metasurface Nanostructure
Abstract
1. Introduction
2. Materials and Methods
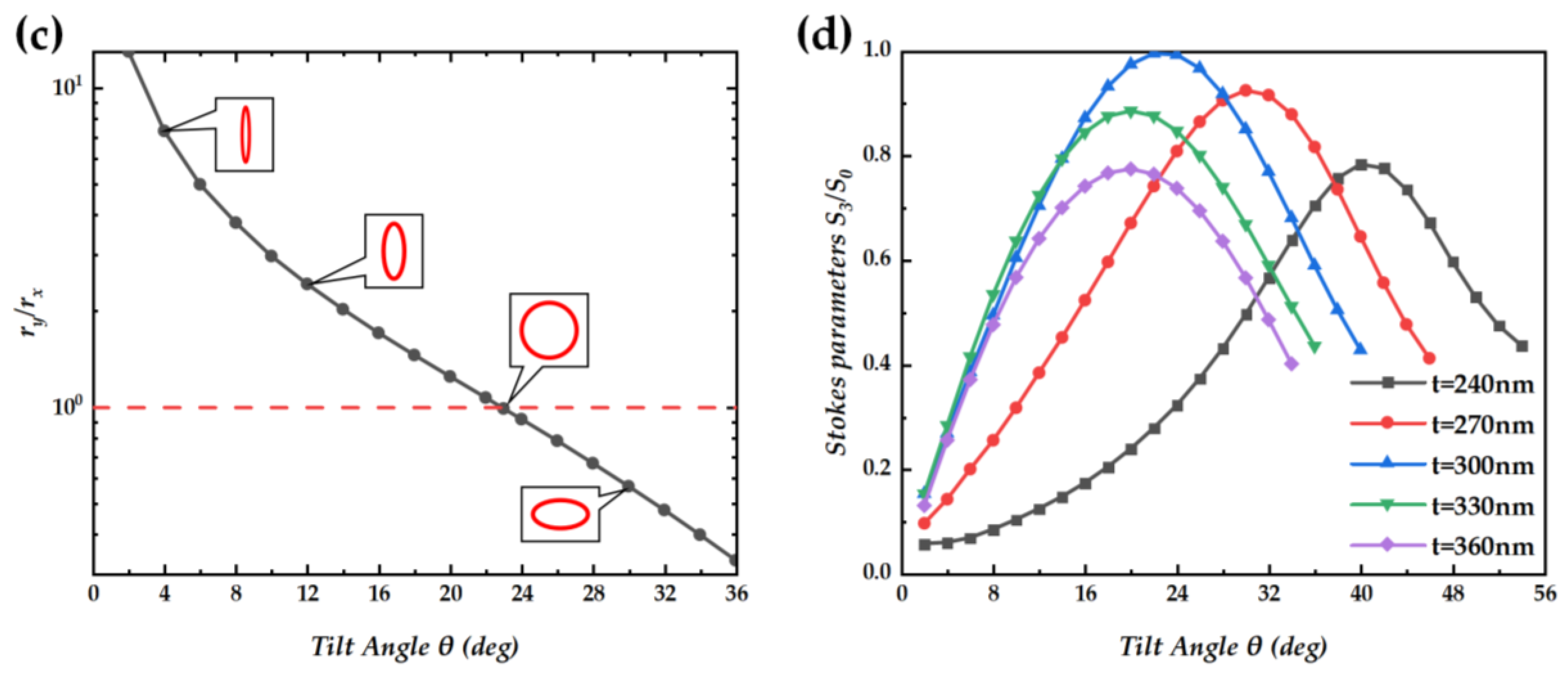
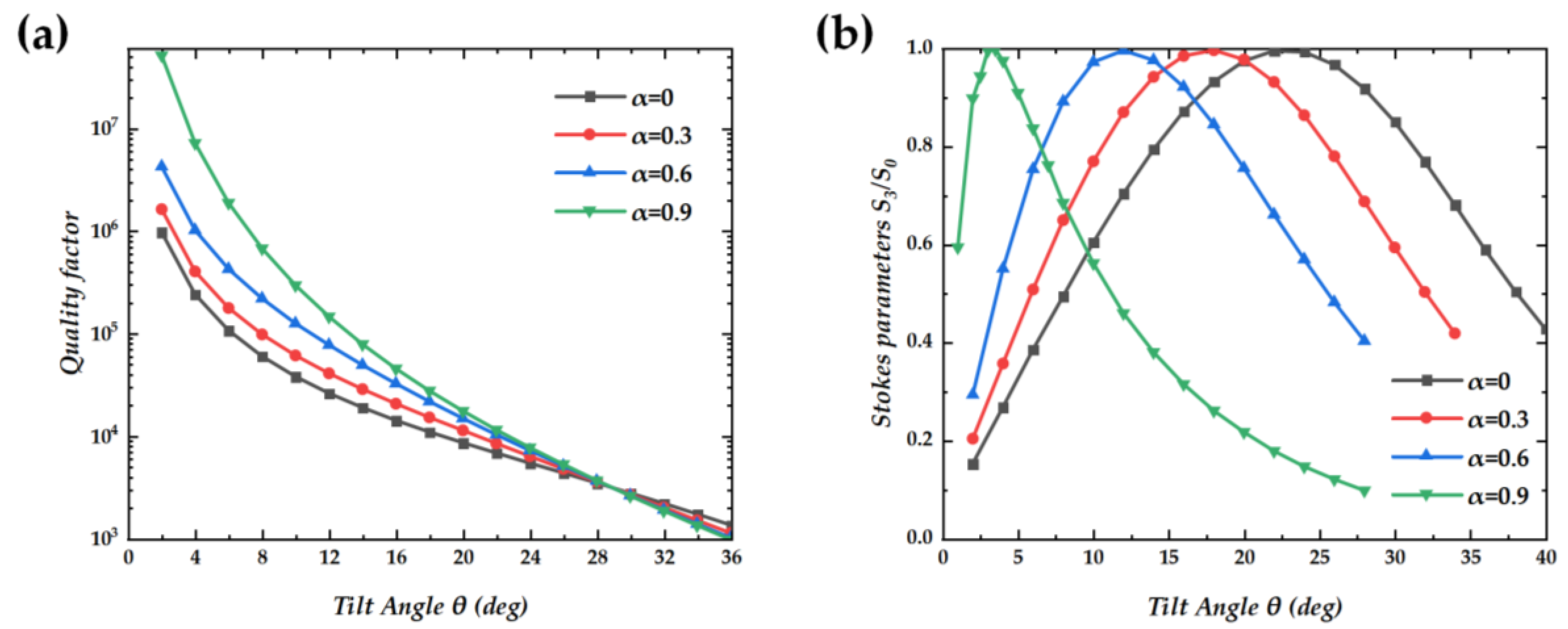
3. Results and Discussion
4. Conclusions
Author Contributions
Funding
Data Availability Statement
Conflicts of Interest
Appendix A. Calculation of Stokes Parameters Using the Finite Element Method of COMSOL
References
- Bărar, A.; Maclean, S.A.; Gross, B.M.; Mănăilă-Maximean, D.; Dănilă, O. Mixing Rules for Left-Handed Disordered Metamaterials: Effective-Medium and Dispersion Properties. Nanomaterials 2024, 14, 1056. [Google Scholar] [CrossRef]
- Danila, O.; Gross, B.M. Towards Highly Efficient Nitrogen Dioxide Gas Sensors in Humid and Wet Environments Using Triggerable-Polymer Metasurfaces. Polymers 2023, 15, 545. [Google Scholar] [CrossRef] [PubMed]
- Dănilă, O.; Mănăilă-Maximean, D.; Bărar, A.; Loiko, V.A. Non-Layered Gold-Silicon and All-Silicon Frequency-Selective Metasurfaces for Potential Mid-Infrared Sensing Applications. Sensors 2021, 21, 5600. [Google Scholar] [CrossRef]
- Kurosaka, Y.; Hirose, K.; Sugiyama, T.; Takiguchi, Y.; Nomoto, Y. Phase-modulating lasers toward on-chip integration. Sci. Rep. 2016, 6, 30138. [Google Scholar] [CrossRef]
- Cheng, J.; Fan, F.; Chang, S. Recent Progress on Graphene-Functionalized Metasurfaces for Tunable Phase and Polarization Control. Nanomaterials 2019, 9, 398. [Google Scholar] [CrossRef] [PubMed]
- Kurosaka, Y.; Iwahashi, S.; Liang, Y.; Sakai, K.; Miyai, E.; Kunishi, W.; Ohnishi, D.; Noda, S. On-chip beam-steering photonic-crystal lasers. Nat. Photon- 2010, 4, 447–450. [Google Scholar] [CrossRef]
- Lv, S.; Bai, Y.; Luo, W.; Meng, F.; Wang, R. Design of a vortex metalens with high focusing efficiency using propagation phase. Appl. Opt. 2022, 61, 6311–6315. [Google Scholar] [CrossRef] [PubMed]
- Kitamura, K.; Sakai, K.; Takayama, N.; Nishimoto, M.; Noda, S. Focusing properties of vector vortex beams emitted by photonic-crystal lasers. Opt. Lett. 2012, 37, 2421–2423. [Google Scholar] [CrossRef] [PubMed]
- Li, Y.; Fan, X.; Huang, Y.; Guo, X.; Zhou, L.; Li, P.; Zhao, J. Dielectric Metalens for Superoscillatory Focusing Based on High-Order Angular Bessel Function. Nanomaterials 2022, 12, 3485. [Google Scholar] [CrossRef]
- Noda, S.; Yokoyama, M.; Imada, M.; Chutinan, A.; Mochizuki, M. Polarization mode control of two-dimensional photonic crystal laser by unit cell structure design. Science 2001, 293, 1123–1125. [Google Scholar] [CrossRef]
- Nishimoto, M.; Maekawa, K.; Noda, S. Design of photonic-crystal surface-emitting lasers with circularly-polarized beam. Opt. Express 2017, 25, 6104–6111. [Google Scholar] [CrossRef] [PubMed]
- Chen, Y.; Deng, H.; Sha, X.; Chen, W.; Wang, R.; Chen, Y.-H.; Wu, D.; Chu, J.; Kivshar, Y.S.; Xiao, S.; et al. Observation of intrinsic chiral bound states in the continuum. Nature 2023, 613, 474–478. [Google Scholar] [CrossRef] [PubMed]
- Zhang, X.; Liu, Y.; Han, J.; Kivshar, Y.; Song, Q. Chiral emission from resonant metasurfaces. Science 2022, 377, 1215–1218. [Google Scholar] [CrossRef] [PubMed]
- Iwahashi, S.; Kurosaka, Y.; Sakai, K.; Kitamura, K.; Takayama, N.; Noda, S. Higher-order vector beams produced by photonic-crystal lasers. Opt. Express 2011, 19, 11963–11968. [Google Scholar] [CrossRef] [PubMed]
- Liu, Q.S.; Cheng, B.; Chao, M.H.; Zhang, W.J.; Xu, Y.; Song, G.F. Giant Nonlinear Circular Dichroism from High Q-Factor Asymmetric Lithium Niobate Metasurfaces. Ann. Phys. 2021, 533, 2100255. [Google Scholar] [CrossRef]
- Liu, Q.S.; Chao, M.H.; Zhang, W.J.; Song, G.F. Dual-Band Chiral Nonlinear Metasurface Supported by Quasibound States in the Continuum. Ann. Phys. 2022, 534, 2200263. [Google Scholar] [CrossRef]
- Miyai, E.; Sakai, K.; Okano, T.; Kunishi, W.; Ohnishi, D.; Noda, S. Photonics: Lasers producing tailored beams. Nature 2006, 441, 946. [Google Scholar] [CrossRef]
- Zhou, C.; Pu, T.; Huang, J.; Fan, M.; Huang, L. Manipulating Optical Scattering of Quasi-BIC in Dielectric Metasurface with Off-Center Hole. Nanomaterials 2021, 12, 54. [Google Scholar] [CrossRef]
- Kang, M.; Mao, L.; Zhang, S.; Xiao, M.; Xu, H.; Chan, C.T. Merging bound states in the continuum by harnessing higher-order topological charges. Light. Sci. Appl. 2022, 11, 1–9. [Google Scholar] [CrossRef]
- Hwang, M.-S.; Lee, H.-C.; Kim, K.-H.; Jeong, K.-Y.; Kwon, S.-H.; Koshelev, K.; Kivshar, Y.; Park, H.-G. Ultralow-threshold laser using super-bound states in the continuum. Nat. Commun. 2021, 12, 1–9. [Google Scholar] [CrossRef]
- Yoda, T.; Notomi, M. Generation and Annihilation of Topologically Protected Bound States in the Continuum and Circularly Polarized States by Symmetry Breaking. Phys. Rev. Lett. 2020, 125, 053902. [Google Scholar] [CrossRef]
- Wan, S.; Wang, K.; Wang, F.; Guan, C.; Li, W.; Liu, J.; Bogdanov, A.; Belov, P.A.; Shi, J. Topologically enabled ultrahigh-Q chiroptical resonances by merging bound states in the continuum. Opt. Lett. 2022, 47, 3291–3294. [Google Scholar] [CrossRef] [PubMed]
- Liu, W.; Wang, B.; Zhang, Y.; Wang, J.; Zhao, M.; Guan, F.; Liu, X.; Shi, L.; Zi, J. Circularly Polarized States Spawning from Bound States in the Continuum. Phys. Rev. Lett. 2019, 123, 116104. [Google Scholar] [CrossRef] [PubMed]
- Kang, M.; Liu, T.; Chan, C.T.; Xiao, M. Applications of bound states in the continuum in photonics. Nat. Rev. Phys. 2023, 5, 659–678. [Google Scholar] [CrossRef]
- Azzam, S.I.; Kildishev, A.V. Photonic Bound States in the Continuum: From Basics to Applications. Adv. Opt. Mater. 2020, 9, 2001469. [Google Scholar] [CrossRef]
- Kurosaka, Y.; Sakai, K.; Miyai, E.; Noda, S. Controlling vertical optical confinement in two-dimensional surface-emitting photonic-crystal lasers by shape of air holes. Opt. Express 2008, 16, 18485–18494. [Google Scholar] [CrossRef]
- Wu, P.C.; Sokhoyan, R.; Shirmanesh, G.K.; Cheng, W.H.; Atwater, H.A. Near-Infrared Active Metasurface for Dynamic Polarization Conversion. Adv. Opt. Mater. 2021, 9, 2100230. [Google Scholar] [CrossRef]









Disclaimer/Publisher’s Note: The statements, opinions and data contained in all publications are solely those of the individual author(s) and contributor(s) and not of MDPI and/or the editor(s). MDPI and/or the editor(s) disclaim responsibility for any injury to people or property resulting from any ideas, methods, instructions or products referred to in the content. |
© 2024 by the authors. Licensee MDPI, Basel, Switzerland. This article is an open access article distributed under the terms and conditions of the Creative Commons Attribution (CC BY) license (https://creativecommons.org/licenses/by/4.0/).
Share and Cite
Xu, C.; Chao, M.; Liu, Z.; Liu, Q.; Zhang, W.; Zhuang, L.; Cheng, B.; Jiang, B.; Liu, J.; Song, G. Tailoring of Circularly Polarized Beams Employing Bound States in the Continuum in a Designed Photonic Crystal Metasurface Nanostructure. Nanomaterials 2024, 14, 1405. https://doi.org/10.3390/nano14171405
Xu C, Chao M, Liu Z, Liu Q, Zhang W, Zhuang L, Cheng B, Jiang B, Liu J, Song G. Tailoring of Circularly Polarized Beams Employing Bound States in the Continuum in a Designed Photonic Crystal Metasurface Nanostructure. Nanomaterials. 2024; 14(17):1405. https://doi.org/10.3390/nano14171405
Chicago/Turabian StyleXu, Chunhao, Minghao Chao, Zhizhong Liu, Qingsong Liu, Wenjing Zhang, Lingyun Zhuang, Bo Cheng, Botao Jiang, Jietao Liu, and Guofeng Song. 2024. "Tailoring of Circularly Polarized Beams Employing Bound States in the Continuum in a Designed Photonic Crystal Metasurface Nanostructure" Nanomaterials 14, no. 17: 1405. https://doi.org/10.3390/nano14171405
APA StyleXu, C., Chao, M., Liu, Z., Liu, Q., Zhang, W., Zhuang, L., Cheng, B., Jiang, B., Liu, J., & Song, G. (2024). Tailoring of Circularly Polarized Beams Employing Bound States in the Continuum in a Designed Photonic Crystal Metasurface Nanostructure. Nanomaterials, 14(17), 1405. https://doi.org/10.3390/nano14171405

