Activated Carbon Derived from Cucumber Peel for Use as a Supercapacitor Electrode Material
Abstract
Highlights
- Cucumber-peel-derived carbons were tested as a supercapacitor for the first time.
- The carbon showed a high specific capacitance of 286 F/g at 1 A/g.
- The carbon activated at 800 °C displayed a high specific surface area (2333 m2/g).
1. Introduction
2. Material and Methods
2.1. Activated Carbon Preparation
2.2. Characterization
2.3. Electrochemical Measurements
2.3.1. Electrode Preparation
2.3.2. Electrochemical Measurements
3. Results and Discussion
3.1. Activated Carbon Surface Characterization
- (1)
- The reaction of carbon with potassium hydroxide:6KOH + 2C → 2K + 3H2 + 2K2CO3
- (2)
- The decomposition reaction of potassium carbonate and the reaction of carbon with CO2, K2CO3, and K2O:K2CO3→ K2O + CO2CO2 + C → 2COK2CO3 + 2C → 2K + 3COC + K2O → 2K + CO
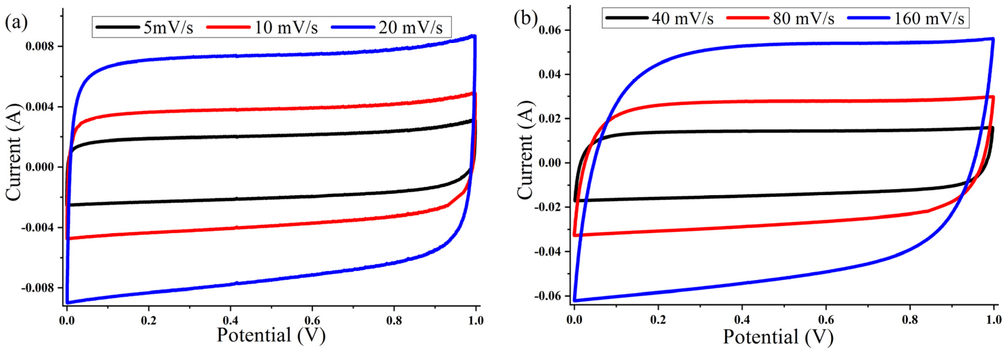
3.2. Electrochemical Characterization
4. Conclusions
Author Contributions
Funding
Data Availability Statement
Acknowledgments
Conflicts of Interest
References
- Mensah-Darkwa, K.; Zequine, C.; Kahol, P.K.; Gupta, R.K. Supercapacitor energy storage device using biowastes: A sustainable approach to green Energy. Sustainability 2019, 11, 414. [Google Scholar] [CrossRef]
- Yang, W.; Zhang, C.; Du, S.; Jiang, B.; Wang, C.; Bai, H.; Li, Z.; Huang, G.; Li, Y. Potentiostatic Reconstruction of Nickel-Cobalt Hydroxysulfate with Self-Optimized Structure for Enhancing Energy Storage. Adv. Energy Mater. 2022, 12, 41. [Google Scholar] [CrossRef]
- Zhang, C.; Hou, L.; Yang, W.; Du, S.; Jiang, B.; Bai, H.; Li, Z.; Wang, C.; Yang, F.; Li, Y. Phosphorization coupled electrochemical activation substantially enhances the energy storage performance of high mass loading nickel–cobalt-based materials. Chem. Eng. J. 2023, 467, 143410. [Google Scholar] [CrossRef]
- Ehsani, A.; Parsimehr, H. Electrochemical energy storage electrodes from fruit biochar. Adv. Colloid Interface Sci. 2020, 284, 102263. [Google Scholar] [CrossRef] [PubMed]
- Priya, M.S.; Divya, P.; Rajalakshmi, R. A review status on characterization and electrochemical behaviour of biomass derived carbon materials for energy storage supercapacitors. Sustain. Chem. Pharm. 2020, 16, 100243. [Google Scholar] [CrossRef]
- Khajonrit, J.; Sichumsaeng, T.; Kalawa, O.; Chaisit, S.; Chinnakorn, A.; Chanlek, N.; Maensiri, S. Mangosteen peel-derived activated carbon for supercapacitors. Prog. Nat. Sci. Mater. Int. 2022, 32, 570–578. [Google Scholar] [CrossRef]
- Ismanto, A.E.; Wang, S.; Soetaredjo, F.E.; Ismadji, S. Preparation of capacitor’s electrode from cassava peel waste. Bioresour. Technol. 2010, 101, 3534–3540. [Google Scholar] [CrossRef] [PubMed]
- Taer, E.; Wahyuni, H.E.; Apriwandi, A.; Rika, T. High-performance aqueous electrolyte symmetrical supercapacitor using porous carbon derived cassava peel waste. J. Appl. Mater. Technol. 2022, 4, 1–10. [Google Scholar] [CrossRef]
- Yang, C.; Li, P.; Wei, Y.; Wang, Y.; Jiang, B.; Wu, W. Preparation of Nitrogen and Phosphorus Doped Porous Carbon from Watermelon Peel as Supercapacitor Electrode Material. Micromachines 2023, 14, 1003. [Google Scholar] [CrossRef]
- Mehare, M.D.; Deshmukh, A.D.; Dhoble, S.J. Preparation of porous agro-waste-derived carbon from onion peel for supercapacitor application. J. Mater. Sci. 2020, 55, 4213–4224. [Google Scholar] [CrossRef]
- Suárez, G.G.; Ramírez, J.A.; Castañón, J.F.; Galavíz, J.A.; Meléndez, P.C. Valorization of Albedo Orange Peel Waste to Develop Electrode Materials in Supercapacitors for the Electric Industry. J. Chem. 2021, 2021, 3022815. [Google Scholar] [CrossRef]
- Subramani, K.; Sudhan, N.; Karnan, M.; Sathish, M. Orange Peel Derived Activated Carbon for Fabrication of High-Energy and High-Rate Supercapacitors. ChemistrySelect 2017, 2, 11384–11392. [Google Scholar] [CrossRef]
- Gou, H.; He, J.; Zhao, G.; Zhang, L.; Yang, C.; Rao, H. Porous nitrogen-doped carbon networks derived from orange peel for high-performance supercapacitors. Ionics 2019, 25, 4371–4380. [Google Scholar] [CrossRef]
- Li, J.; Luo, F.; Lin, T.; Yang, J.; Yang, S.; He, D.; Xiao, D.; Liu, W. Pomelo peel-based N, O-codoped hierarchical porous carbon material for supercapacitor application. Chem. Phys. Lett. 2020, 753, 137597. [Google Scholar] [CrossRef]
- Taer, E.; Apriwandi, A.; Mustika, W.S.; Mardiah, M.A.; Taslim, R. An Environmental Approach in Production of Activated Carbon Monolithic Derived from Garlic Peels for Supercapacitor Application. Trends Sci. 2023, 20, 6396. [Google Scholar] [CrossRef]
- Fasakin, O.; Dangbegnon, J.; Momodu, D.; Madito, M.; Oyedotun, K.; Eleruja, M.; Manyala, N. Synthesis and characterization of porous carbon derived from activated banana peels with hierarchical porosity for improved electrochemical performance. Electrochim. Acta 2018, 262, 187–196. [Google Scholar] [CrossRef]
- Nazir, G.; Rehman, A.; Hussain, S.; Ikram, M.; Park, S. Supercapacitor performance based on nitrogen and sulfur co-doped hierarchically porous carbons: Superior rate capability and cycle stability. Int. J. Energy Res. 2022, 46, 15602–15616. [Google Scholar] [CrossRef]
- Wan, L.; Chen, D.; Liu, J.; Zhang, Y.; Chen, J.; Du, C.; Xie, M. Facile preparation of porous carbons derived from orange peel via basic copper carbonate activation for supercapacitors. J. Alloys Compd. 2020, 823, 153747. [Google Scholar] [CrossRef]
- Mi, J.; Wang, X.-R.; Fan, R.-J.; Qu, W.-H.; Li, W.-C. Coconut-shell-based porous carbons with a tunable micro/mesopore ratio for high-performance supercapacitors. Energy Fuels 2012, 26, 5321–5329. [Google Scholar] [CrossRef]
- Galinski, M.; Babeł, K.; Jurewicz, K. Performance of an Electrochemical double layer capacitor based on coconut shell active material and ionic liquid as an electrolyte. J. Power Sources 2013, 228, 83–88. [Google Scholar] [CrossRef]
- Geng, X.; Li, L.; Zhang, M.; An, B.; Zhu, X. Influence of reactivation on the electrochemical performances of activated carbon based on coconut shell. J. Environ. Sci. 2013, 25, S110–S117. [Google Scholar] [CrossRef]
- Sun, L.; Tian, C.; Li, M.; Meng, X.; Wang, L.; Wang, R.; Yin, J.; Fu, H. From coconut shell to porous graphene-like nanosheets for high-power supercapacitors. J. Mater. Chem. A 2013, 1, 6462–6470. [Google Scholar] [CrossRef]
- Thakur, A.K.; Choudhary, R.B.; Majumder, M.; Gupta, G. In-situ integration of waste coconut shell derived activated carbon/polypyrrole/rare earth metal oxide (Eu2O3): A novel step towards ultrahigh volumetric capacitance. Electrochim. Acta 2017, 251, 532–545. [Google Scholar] [CrossRef]
- Ashraf, C.M.; Anilkumar, K.M.; Jinisha, B.; Manoj, M.; Pradeep, V.S.; Jayalekshmi, S. Acid washed, steam activated, coconut shell derived carbon for high power supercapacitor applications. J. Electrochem. Soc. 2018, 165, A900–A909. [Google Scholar] [CrossRef]
- Xu, B.; Chen, Y.; Wei, G.; Cao, G.; Zhang, H.; Yang, Y. Activated carbon with high capacitance prepared by NaOH activation for supercapacitors. Mater. Chem. Phys. 2010, 124, 504–509. [Google Scholar] [CrossRef]
- Shu, Y.; Maruyama, J.; Iwasaki, S.; Li, C.; Shen, Y.; Uyama, H. Hierarchical activated green carbons from abundant biomass waste for symmetric supercapacitors. Bull. Chem. Soc. Jpn. 2017, 90, 1058–1066. [Google Scholar] [CrossRef]
- Shu, Y.; Maruyama, J.; Iwasaki, S.; Maruyama, S.; Shen, Y.; Uyama, H. Nitrogen-doped biomass/polymer composite porous carbons for high performance supercapacitor. J. Power Sources 2017, 364, 374–382. [Google Scholar] [CrossRef]
- Misnon, I.I.; Zain, N.K.M.; Aziz, R.A.; Vidyadharan, B.; Jose, R. Electrochemical properties of carbon from oil palm kernel shell for high performance supercapacitors. Electrochim. Acta 2015, 174, 78–86. [Google Scholar] [CrossRef]
- Ma, J.; Dong, Y.; Wang, L.; Yu, P.; Yan, H.; Tian, C.; Li, J.; Fu, H. In–situ molten salt template strategy for hierarchical 3D porous carbon from palm shells as advanced electrochemical supercapacitors. ChemistrySelect 2016, 1, 2167–2173. [Google Scholar] [CrossRef]
- Abioye, A.M.; Noorden, Z.A.; Ani, F.N. Synthesis and characterizations of electroless oil palm shell based-activated carbon/nickel oxide nanocomposite electrodes for supercapacitor applications. Electrochim. Acta 2017, 225, 493–502. [Google Scholar] [CrossRef]
- Tetra, O.N.; Syukri; Alif, A.; Fristina, R.; Aziz, H. Utilization of porous carbon from waste palm kernel shells on carbon paper as a supercapacitors electrode material. IOP Conf. Ser. Earth Environ. Sci. 2017, 65, 012053. [Google Scholar] [CrossRef]
- Xu, M.; Li, D.; Yan, Y.; Guo, T.; Pang, H.; Xue, H. Porous high specific surface area-activated carbon with co-doping N, S and P for high-performance supercapacitors. RSC Adv. 2017, 7, 43780–43788. [Google Scholar] [CrossRef]
- Elmouwahidi, A.; Bailón-García, E.; Romero-Cano, L.A.; Zárate-Guzmán, A.I.; Pérez-Cadenas, A.F.; Carrasco-Marín, F. Influence of surface modification with nitric acid on electrochemical performance of agroindus-trial waste-based activated carbon. J. Mater. Sci. Mater. Electron. 2017, 29, 2458. [Google Scholar] [CrossRef]
- Misnon, I.I.; Zain, N.K.M.; Jose, R. Conversion of oil palm kernel shell biomass to activated carbon for supercapacitor electrode application. Waste Biomass Valorizat. 2019, 10, 1731–1740. [Google Scholar] [CrossRef]
- Gopalakrishnan, A.; Badhulika, S. Ultrathin graphene-like 2D porous carbon nanosheets and its excellent capacitance retention for supercapacitor. J. Ind. Eng. Chem. 2018, 68, 257–266. [Google Scholar] [CrossRef]
- Kamran, U.; Rhee, K.Y.; Lee, S.-Y.; Park, S.-J. Solvent-free conversion of cucumber peels to N-doped microporous carbons for efficient CO2 capture performance. J. Clean. Prod. 2022, 369, 133367. [Google Scholar] [CrossRef]
- Jagiello, J.; Olivier, J.P. Carbon slit pore model incorporating surface energetical heterogeneity and geometrical corrugation. Adsorption 2013, 19, 777–783. [Google Scholar] [CrossRef]
- Nazhipkyzy, M.; Yeleuov, M.; Sultakhan, S.T.; Maltay, A.B.; Zhaparova, A.A.; Assylkhanova, D.D.; Nemkayeva, R.R. Electrochemical Performance of Chemically Activated Carbons from Sawdust as Supercapacitor Electrodes. Nanomaterials 2022, 12, 3391. [Google Scholar] [CrossRef]
- Wang, J.; Kaskel, S. KOH activation of carbon-based materials for energy storage. J. Mater. Chem. 2012, 22, 23710–23725. [Google Scholar] [CrossRef]
- Ahmadpour, A.; Do, D. The preparation of active carbons from coal by chemical and physical activation. Carbon 1996, 34, 471–479. [Google Scholar] [CrossRef]
- Figueiredo, J.L.; Pereira, M.F.R.; Freitas, M.M.A.; Órfão, J.J.M. Modification of the surface chemistry of activated carbons. Carbon 1999, 37, 1379–1389. [Google Scholar] [CrossRef]
- Sudhan, N.; Subramani, K.; Karnan, M.; Ilayaraja, N.; Sathish, M. Biomass-derived activated porous carbon from rice straw for a high-energy symmetric supercapacitor in aqueous and non-aqueous electrolytes. Energy Fuels 2017, 31, 977–985. [Google Scholar] [CrossRef]
- Apaydın-Varol, E.; Erülken, Y. A study on the porosity development for biomass based carbonaceous materials. J. Taiwan Inst. Chem. Eng. 2015, 54, 37–44. [Google Scholar] [CrossRef]
- Zhang, Y.; Yang, S.; Wang, S.; Liu, X.; Li, L. Microwave/freeze casting assisted fabrication of carbon frameworks derived from embedded upholder in tremella for superior performance supercapacitors. Energy Storage Mater. 2019, 18, 447–455. [Google Scholar] [CrossRef]
- Wu, X.-L.; Wen, T.; Guo, H.-L.; Yang, S.; Wang, X.; Xu, A.-W. Biomass-derived sponge-like carbonaceous hydrogels and aerogels for supercapacitors. ACS Nano 2013, 7, 3589–3597. [Google Scholar] [CrossRef]
- Yerlanuly, Y.; Zhumadilov, R.; Nemkayeva, R.; Uzakbaiuly, B.; Beisenbayev, A.R.; Bakenov, Z.; Ramazanov, T.; Gabdullin, M.; Ng, A.; Brus, V.V.; et al. Physical properties of carbon nanowalls synthesized by the ICP-PECVD method vs. the growth time. Sci. Rep. 2021, 11, 19287. [Google Scholar] [CrossRef] [PubMed]
- Nazhipkyzy, M.; Nemkayeva, R.R.; Nurgain, A.; Seitkazinova, A.R.; Dinistanova, B.K.; Issanbekova, A.T.; Zhylybayeva, N.; Bergeneva, N.S.; Mamatova, G.U. The Use of Diatomite as a Catalyst Carrier for the Synthesis of Carbon Nanotubes. Nanomaterials 2022, 12, 1817. [Google Scholar] [CrossRef]
- Cai, T.; Zhou, M.; Ren, D.; Han, G.; Guan, S. Highly ordered mesoporous phenol–formaldehyde carbon as supercapacitor electrode material. J. Power Sources 2013, 231, 197–202. [Google Scholar] [CrossRef]
- Ahmed, S.; Rafat, M. Hydrothermal synthesis of PEDOT/rGO composite for supercapacitor applications. Mater. Res. Express 2018, 5, 015507. [Google Scholar] [CrossRef]
- Ardizzone, S.; Fregonara, G.; Trasatti, S. “Inner” and “outer” active surface of RuO2 electrodes. Electrochim. Acta 1990, 35, 263–267. [Google Scholar] [CrossRef]
- Justin, P.; Meher, S.K.; Rao, G.R. Tuning of Capacitance Behavior of NiO Using Anionic, Cationic, and Nonionic Surfactants by Hydrothermal Synthesis. J. Phys. Chem. C 2010, 114, 5203–5210. [Google Scholar] [CrossRef]
- Kierzek, K.; Frackowiak, E.; Lota, G.; Gryglewicz, G.; Machnikowski, J. Electrochemical Capacitors Based on Highly Porous Carbons Prepared by KOH Activation. Electrochim. Acta 2004, 49, 515–523. [Google Scholar] [CrossRef]
- Liu, S.; Liu, X.; Li, Z.; Yang, S.; Wang, J. Fabrication of free-standing graphene/polyaniline nanofibers composite paper via electrostatic adsorption for electrochemical supercapacitors. New J. Chem. 2011, 35, 369–374. [Google Scholar] [CrossRef]
- Luo, Y.; Jiang, J.; Zhou, W.; Yang, H.; Luo, J.; Qi, X.; Zhang, H.; Yu, D.Y.W.; Li, C.M.; Yu, T. Self-assembly of well-ordered whisker-like manganese oxide arrays on carbon fiber paper and its application as electrode material for supercapacitors. J. Mater. Chem. 2012, 22, 8634–8640. [Google Scholar] [CrossRef]
- Moya, A. Identification of characteristic time constants in the initial dynamic response of electric double layer capacitors from high-frequency electrochemical impedance. J. Power Sources 2018, 397, 124–133. [Google Scholar] [CrossRef]











| Sample | SBET (m2/g) | Vt (cm3/g) | Vmeso (cm3/g) | V<0.7 nm (cm3/g) | V<1 nm (cm3/g) | Vmic (cm3/g) | Vmeso/Vt |
|---|---|---|---|---|---|---|---|
| ACP-700 | 1878 | 1.077 | 0.196 | 0.242 | 0.542 | 0.881 | 0.18 |
| ACP-800 | 2333 | 1.225 | 0.376 | 0.237 | 0.488 | 0.849 | 0.31 |
| Sample | Yield (%) | C | O | Na | Mg | Al | Si | K | Ca | Cl | P | S |
|---|---|---|---|---|---|---|---|---|---|---|---|---|
| CCP | 30.9 | 67.64 | 20.02 | 0.23 | 0.39 | 0.07 | 0.42 | 9.60 | - | 0.47 | 0.98 | 0.17 |
| ACP-700 | 16.4 | 91.69 | 7.04 | 0.33 | 0.04 | 0.07 | 0.12 | 0.02 | 0.16 | 0.55 | - | - |
| ACP-800 | 13.3 | 88.21 | 11.79 | - | - | - | - | - | - | - | - | - |
| Temperature (°C) | Width of G Peak | Width of D Peak | Degree of Graphitization |
|---|---|---|---|
| 600 carbon | 8,093,769 | 20,151,057 | 20% |
| 600/700 | 7,347,576 | 16,164,958 | 22% |
| 600/800 | 3,906,941 | 8,845,874 | 74% |
| Carbon Source | SBET, m2/g | Electrolyte | Specific Capacitance, F/g | Current Density, A/g | Ref. |
|---|---|---|---|---|---|
| Mangosteen peel | 1039 | 3 M KOH | 182 | 0.5 | [6] |
| Cassava peel | 1352 | 0.5 M H2SO4 | 264 | 1 | [7] |
| Cassava peel | - | 1 M H2SO4 | 183 | 1 | [8] |
| Watermelon Peel | - | 6 M KOH | 135 | 1 | [9] |
| Onion peel | - | 1 M HCl | 127 | 0.75 | [10] |
| Orange peel | 2160 | 6 M KOH | 226 | 0.5 | [12] |
| Orange peel | 1514 | 6 M KOH | 255 | 0.5 | [13] |
| Pomelo peel | 1582 | 6 M KOH | 180 | 0.5 | [14] |
| Garlic peel | 787 | 1 M H2SO4 | 204 | 1 | [15] |
| Banana peel | 1362 | 1 M NaNO3 | 165 | 0.5 | [16] |
| Banana peel | 2452 | 1 M Na2SO4 | 220 | 0.5 | [17] |
| Orange peel | 912 | 1 M Na2SO4 | 376 | 1 | [18] |
| Cucumber peel | 2333 | 6 M KOH | 286 | 1 | [this work] |
Disclaimer/Publisher’s Note: The statements, opinions and data contained in all publications are solely those of the individual author(s) and contributor(s) and not of MDPI and/or the editor(s). MDPI and/or the editor(s) disclaim responsibility for any injury to people or property resulting from any ideas, methods, instructions or products referred to in the content. |
© 2024 by the authors. Licensee MDPI, Basel, Switzerland. This article is an open access article distributed under the terms and conditions of the Creative Commons Attribution (CC BY) license (https://creativecommons.org/licenses/by/4.0/).
Share and Cite
Nazhipkyzy, M.; Kurmanbayeva, G.; Seitkazinova, A.; Varol, E.A.; Li, W.; Dinistanova, B.; Issanbekova, A.; Mashan, T. Activated Carbon Derived from Cucumber Peel for Use as a Supercapacitor Electrode Material. Nanomaterials 2024, 14, 686. https://doi.org/10.3390/nano14080686
Nazhipkyzy M, Kurmanbayeva G, Seitkazinova A, Varol EA, Li W, Dinistanova B, Issanbekova A, Mashan T. Activated Carbon Derived from Cucumber Peel for Use as a Supercapacitor Electrode Material. Nanomaterials. 2024; 14(8):686. https://doi.org/10.3390/nano14080686
Chicago/Turabian StyleNazhipkyzy, Meruyert, Gulim Kurmanbayeva, Aigerim Seitkazinova, Esin Apaydın Varol, Wanlu Li, Balaussa Dinistanova, Almagul Issanbekova, and Togzhan Mashan. 2024. "Activated Carbon Derived from Cucumber Peel for Use as a Supercapacitor Electrode Material" Nanomaterials 14, no. 8: 686. https://doi.org/10.3390/nano14080686
APA StyleNazhipkyzy, M., Kurmanbayeva, G., Seitkazinova, A., Varol, E. A., Li, W., Dinistanova, B., Issanbekova, A., & Mashan, T. (2024). Activated Carbon Derived from Cucumber Peel for Use as a Supercapacitor Electrode Material. Nanomaterials, 14(8), 686. https://doi.org/10.3390/nano14080686

