Pyroclastic Dust from Arequipa-Peru Decorated with Iron Oxide Nanoparticles and Their Ecotoxicological Properties in Water Flea D. magna
Abstract
1. Introduction
2. Materials and Methods
2.1. Adsorbent Synthesis
2.2. Synthesis of IONPs by Coprecipitation Method
2.3. Sillar from Añhashuayco Quarry
2.4. Synthesis of the Composite
2.5. X-ray Diffraction Measurements
2.6. Transmission Electron Microscopy Measurements
2.7. Thermogravimetric Measurements
2.8. 57Fe Mössbauer Spectrometry
2.9. Vibrating-Sample Magnetometry Measurements
2.10. Dynamic Light Scattering and Zeta Potential
2.11. D. magna Culture and Exposure Protocol
2.12. Data Analysis
3. Results and Discussion
3.1. XRD Analysis
3.2. TGA Analysis
3.3. TEM Analysis
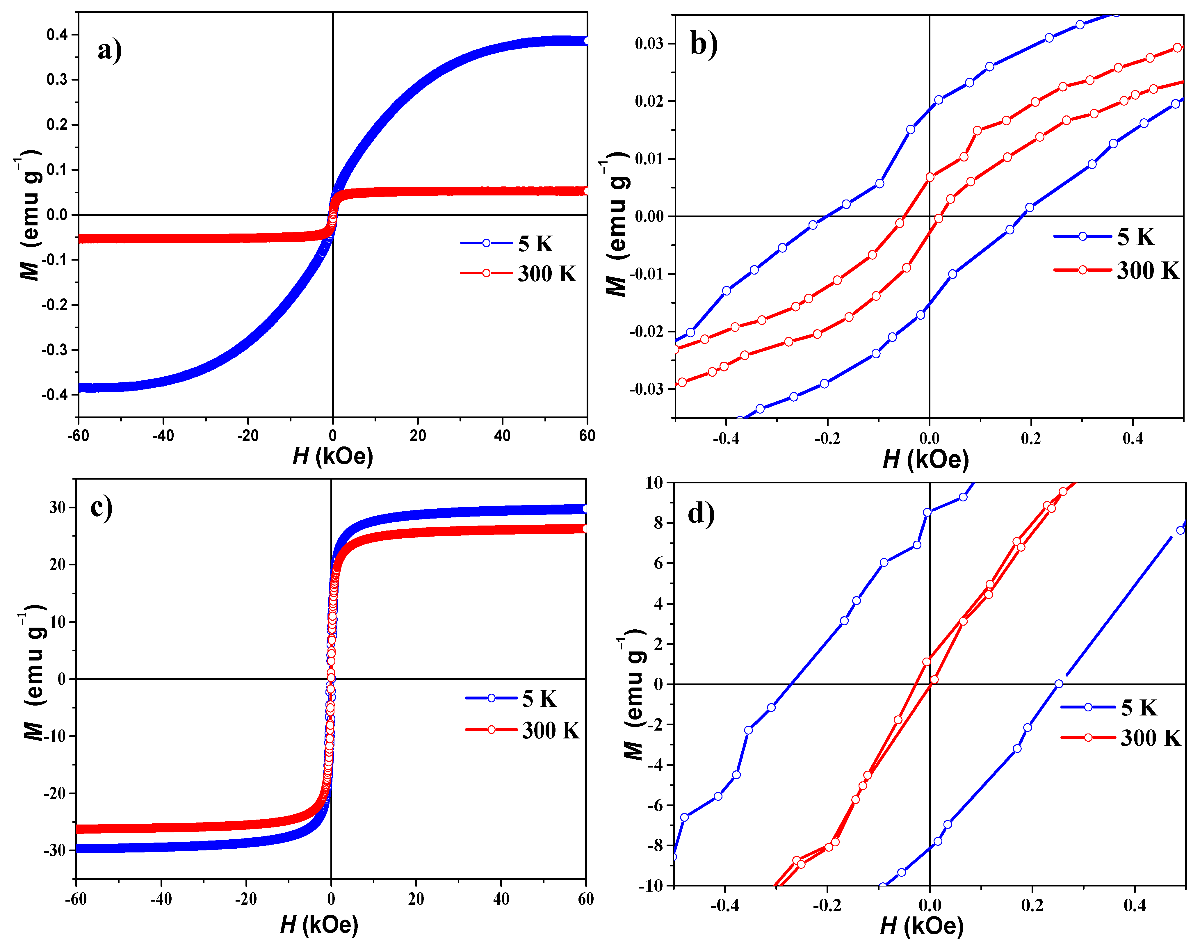
3.4. VSM Analysis
3.5. 57Fe Mössbauer Spectrometry Analysis
3.6. Colloidal Stability Analysis
3.7. Acute Toxicity of Sillar and MS in D. magna
3.7.1. Lethal Concentration 24 h-LC50
3.7.2. Morphological Analysis in D. magna
3.7.3. Reproduction Rate
3.8. Discussion on the Size, Chemical Composition, Dispersion Preparation Method, and Colloidal Stability on the Ecotoxicity Properties
3.9. Future Perspectives for the Use of the MS Sample
4. Conclusions
Supplementary Materials
Author Contributions
Funding
Data Availability Statement
Acknowledgments
Conflicts of Interest
References
- Bustamante, R.C.; Vazquez, P.; Prendes, N. Properties of the Ignimbrites in the architecture of the Historical Center of Arequipa, Peru. Appl. Sci. 2021, 11, 10571. [Google Scholar] [CrossRef]
- Valdivia, M.R.; Velásquez, G.O.; Soncco, K.C.; Paredes, V.B. Síntesis de zeolita linde F mediante tratamiento alcalino con potasa caústica a partir de roca de origen volcánico proveniente de sillar, Perú; su aplicación en la adsorción de cobre (II). Rev. Bol. Quim. 2021, 38, 14–25. [Google Scholar] [CrossRef]
- Espinoza, F.S.; Horn, M.; Gómez, M.; Solis, J. Thermal, structural and mechanical characterization of the whitish Arequipa Airport Ignimbrite. J. Phys. 2020, 1848, 012010. [Google Scholar] [CrossRef]
- Cruz, P.R.; Álvarez, J.Z.; Gonzáles, C.V.; Núñez, M.E.T. Evaluación del recubrimiento de la ignimbrita con Polisiloxano funcionalizado con nanopartículas de Plata. Rev. Soc. Quím. Perú 2021, 87, 353–368. [Google Scholar]
- Corrales, L.T. Estudio de la Contaminación de las Aguas del rio Tambo por Cd(II) y Pb(II) y su Remediación con Sillar Modificado por el Método de Intercambio Iónico. Bachelor’s Thesis, Universidad Nacional de San Agustín, Arequipa, Peru, 2019. Available online: http://repositorio.unsa.edu.pe/handle/UNSA/8762 (accessed on 29 April 2024).
- Calderón, K.R. Influencia de la granulometría del sillar proveniente de la quebrada de Añashuayco en la obtención de un material zeolítico con capacidad de adsorción para el catión Cu(II). Bachelor’s Thesis, Universidad Nacional de San Agustín, Arequipa, Peru, 2020. Available online: http://hdl.handle.net/20.500.12773/12803 (accessed on 29 April 2024).
- Dowlath, M.J.H.; Musthafa, S.A.; Khalith, S.M.; Varjani, S.; Karuppannan, S.K.; Ramanujam, G.M.; Arunachalam, A.M.; Arunachalam, K.D.; Chandrasekaran, M.; Chang, S.W.; et al. Comparison of characteristics and biocompatibility of green synthesized iron oxide nanoparticles with chemical synthesized nanoparticles. Environ. Res. 2021, 201, 111585. [Google Scholar] [CrossRef] [PubMed]
- Shin, H.K.; Seo, M.; Shin, S.E.; Kim, K.Y.; Park, J.W.; No, K.T. Meta-analysis of Daphnia magna nanotoxicity experiments in accordance with test guidelines. Environ. Sci. Nano 2018, 5, 765–775. [Google Scholar] [CrossRef]
- Díaz-Báez, M.C.; Granados, Y.P.; Ronco, A. Ensayos Toxicológicos Para la Evaluación de Sustancias Químicas en Agua y Suelo La Experiencia en México; Instituto Nacional de Ecología: Mexico City, México, 2008; pp. 17–25. [Google Scholar]
- Massart, R. Preparation of aqueous magnetic liquids in alkaline and acidic media. IEEE Trans. Magn. 1981, 17, 1247–1248. [Google Scholar] [CrossRef]
- Putz, H. Brandeburg, “Match!—Phase Identification from Powder Diffraction.” Kreuzherrenstr. 102, 53227 Bonn, Germany. Available online: https://www.crystalimpact.de/match (accessed on 29 April 2024).
- Rueda-Vellasmin, R.; Checca-Huaman, N.; Passamani, E.C.; Litterst, F.J.; Ramos-Guivar, J.A. Mössbauer studies of core-single-shell and core-double-shell polymer functionalized magnetic nanoparticles. Hyperfine Interact. 2022, 190, 115–119. [Google Scholar] [CrossRef]
- Bill, E. 57Fe-Mössbauer spectroscopy and basic interpretation of Mössbauer parameters. In Practical Approaches to Biological Inorganic Chemistry; Elsevier: Amsterdam, The Netherlands, 2020; pp. 201–228. [Google Scholar]
- Klencsár, Z. Mosswinn 4.0i, Revision. 17 February 2024. Available online: https://www.mosswinn.hu/ (accessed on 29 April 2024).
- Brown, W.F., Jr. Theory of the approach to magnetic saturation. Phys. Rev. 1940, 58, 736. [Google Scholar] [CrossRef]
- OECD. Test No. 211: Daphnia Magna Reproduction Test, OECD Guidelines for the Testing of Chemicals; Section 2; OECD Publishing: Paris, France, 2012. [Google Scholar] [CrossRef]
- Gökçe, D.; Köytepe, S.; Özcan, İ. Effects of nanoparticles on Daphnia magna population dynamics. Chem. Ecol. 2018, 34, 301. [Google Scholar] [CrossRef]
- Mendoza-Villa, F.; Checca-Huaman, N.-R.; Ramos-Guivar, J.A. Ecotoxicological Properties of Titanium Dioxide Nanomorphologies in Daphnia magna. Nanomaterials 2023, 13, 927. [Google Scholar] [CrossRef] [PubMed]
- Zhang, Y.; Zhu, X.; Wang, W.; Wang, Y.; Wang, L.; Xu, X.; Zhang, K.; Deng, D. Reproductive switching analysis of Daphnia similoides between sexual female and parthenogenetic female by transcriptome comparison. Sci. Rep. 2016, 6, 34241. [Google Scholar] [CrossRef] [PubMed]
- Martin-Creuzburg, D.; Massier, T.; Wacker, A. Sex-Specific Differences in Essential Lipid Requirements of Daphnia magna. Front. Ecol. Evol. 2018, 6, 89. [Google Scholar] [CrossRef]
- Huertas-Chambilla, M.Y.; Moyano-Arocutipa, M.F.; Zarria-Romero, J.Y.; Checca-Huaman, N.R.; Passamani, E.C.; Arencibia, A.; Ramos-Guivar, J.A. In-Field 57Fe Mössbauer study of maghemite nanoparticles functionalized multiwall carbon nanotubes and their ecotoxicological properties in young Daphnia magna. Hyperfine Interact. 2022, 243, 24. [Google Scholar] [CrossRef]
- Potter, K.C. Methods for Presenting Statistical Information: The Box Plot. 2006; pp. 97–105. Available online: https://www.sci.utah.edu/~kpotter/publications/potter-2006-MPSI.pdf (accessed on 29 April 2024).
- Dollase, W.A. Reinvestigation of the structure of low cristobalite. Z. Krist. 1965, 121, 369–377. [Google Scholar] [CrossRef]
- Walker, P.L. Ignimbrite types and ignimbrite problems. J. Volcanol. Geotherm. Res. 1983, 17, 65–68. [Google Scholar] [CrossRef]
- Ramos-Guivar, J.A.; Checca-Huaman, N.; Litterst, F.J.; Passamani, E.C. Surface Adsorption Mechanism between Lead (II,IV) and Nanomaghemite Studied on Polluted Water Samples Collected from the Peruvian Rivers Mantaro and Cumbaza. Nanomaterials 2023, 13, 1684. [Google Scholar] [CrossRef] [PubMed]
- Cecilia, J.A.; Autie-Pérez, M.A.; Labadie-Suarez, J.M.; Castellón, E.R.; Infantes-Molina, A. Volcanic Glass and its Uses as Adsorbent. In Geological and Geophysical Setting, Theoretical Aspects and Numerical Modeling, Applications to Industry and Their Impact on the Human Health; InTech. eBooks. 2018. Available online: https://www.intechopen.com/chapters/60548 (accessed on 29 April 2024).
- Alraddadi, S. Effects of calcination on structural properties and surface morphology of black volcanic ash. J. Phys. Commun. 2020, 4, 105002. [Google Scholar] [CrossRef]
- Harper, M. Sorbent trapping of volatile organic compounds from air. J. Chromatogr. A 2000, 885, 129–151. [Google Scholar] [CrossRef]
- Saadatkhah, N.; García, A.C.; Ackermann, S.L.G.; Leclerc, P.; Latifi, M.; Samih, S.; Patience, G.S.; Chaouki, J. Experimental methods in chemical engineering: Thermogravimetric analysis—TGA. Can. J. Chem. Eng. 2019, 98, 34–43. [Google Scholar] [CrossRef]
- Cornell, R.M.; Schwertmann, U. The Iron Oxides: Structure, Properties, Reactions, Occurrences, and Uses; Wiley-vch: Weinheim, Germany, 2003; Volume 664. [Google Scholar]
- Ramos-Guivar, J.A.; Sanches, E.A.; Bruns, F.; Sadrollahi, E.; Morales, M.A.; López, E.O.; Litterst, F.J. Vacancy ordered γ-Fe2O3 nanoparticles functionalized with nanohydroxyapatite: XRD, FTIR, TEM, XPS and Mössbauer studies. Appl. Surf. Sci. 2016, 389, 721–734. [Google Scholar] [CrossRef]
- Pizarro, C.; Rubio, M.A.; Escudey, M.; Albornoz, M.F.; Muñoz, D.; Denardin, J.C.; Fabris, J.D. Nanomagnetite-Zeolite Composites in the Removal of Arsenate from Aqueous Systems. J. Braz. Chem. Soc. 2015, 26, 1889–1896. [Google Scholar] [CrossRef]
- Blume, M.; Tjon, J. Mössbauer Spectra in a fluctuating environment. Phys. Rev. 1968, 165, 446–456. [Google Scholar] [CrossRef]
- Tamanaha-Vegas, C.A.; Zarria-Romero, J.Y.; Grenèche, J.; Passamani, E.C.; Ramos-Guivar, J.A. Surface magnetic properties of a ternary nanocomposite and its ecotoxicological properties in Daphnia magna. Adv. Powder Technol. 2022, 33, 103395. [Google Scholar] [CrossRef]
- Tee, G.T.; Gok, X.Y.; Yong, W.F. Adsorption of pollutants in wastewater via biosorbents, nanoparticles and magnetic biosorbents: A review. Environ. Res. 2022, 212, 113248. [Google Scholar] [CrossRef] [PubMed]
- Mishra, P.; Singh, U.; Pandey, C.K.; Mishra, P.; Pandey, G. Application of student’s t-test, analysis of variance, and covariance. Ann. Card. Anaesth. 2019, 22, 407. [Google Scholar] [CrossRef] [PubMed]
- Hartmann, S.; Louch, R.; Zeumer, R.; Steinhoff, B.; Mozhayeva, D.; Engelhard, M.H.; Schönherr, H.; Schlechtriem, C.; Witte, K. Comparative multi-generation study on long-term effects of pristine and wastewater-borne silver and titanium dioxide nanoparticles on key lifecycle parameters in Daphnia magna. NanoImpact 2019, 14, 100163. [Google Scholar] [CrossRef]
- Shariati, F.; Poordeljoo, T.; Zanjanchi, P. The Acute Toxicity of SiO2 and Fe3O4 Nano-particles on Daphnia magna. Silicon 2020, 12, 2941. [Google Scholar] [CrossRef]
- Taştan, B.E.; Durukan, İ.K.; Mehmet, A.T.E.Ş. Ecotoxicity study of iron oxide nanoparticles on Chlorella sp. and Daphnia magna. Politek. Derg. 2019, 23, 1073. [Google Scholar] [CrossRef]
- García, A.; Espinosa, R.; Delgado, L.; Casals, E.; González, E.; Puntes, V.; Barata, C.; Font, X.; Sánchez, A. Acute toxicity of cerium oxide, titanium oxide and iron oxide nanoparticles using standardized tests. Desalination 2011, 269, 136–141. [Google Scholar] [CrossRef]
- Handy, R.D.; Von der Kammer, F.; Lead, J.R.; Hassellöv, M.; Owen, R.; Crane, M. The ecotoxicology and chemistry of manufactured nanoparticles. Ecotoxicology 2008, 17, 287–314. [Google Scholar] [CrossRef] [PubMed]
- Goldstein, N.; Greenlee, L.F. Influence of synthesis parameters on iron nanoparticle size and zeta potential. J. Nanopart. Res. 2012, 14, 1–15. [Google Scholar] [CrossRef]












| Disclaimer/Publisher’s Note: The statements, opinions and data contained in all publications are solely those of the individual author(s) and contributor(s) and not of MDPI and/or the editor(s). MDPI and/or the editor(s) disclaim responsibility for any injury to people or property resulting from any ideas, methods, instructions or products referred to in the content. | 
© 2024 by the authors. Licensee MDPI, Basel, Switzerland. This article is an open access article distributed under the terms and conditions of the Creative Commons Attribution (CC BY) license (https://creativecommons.org/licenses/by/4.0/).
Share and Cite
Ramos-Guivar, J.A.; Alca-Ramos, Y.V.; Manrique-Castillo, E.V.; Mendoza-Villa, F.; Checca-Huaman, N.-R.; Rueda-Vellasmin, R.; Passamani, E.C. Pyroclastic Dust from Arequipa-Peru Decorated with Iron Oxide Nanoparticles and Their Ecotoxicological Properties in Water Flea D. magna. Nanomaterials 2024, 14, 785. https://doi.org/10.3390/nano14090785
Ramos-Guivar JA, Alca-Ramos YV, Manrique-Castillo EV, Mendoza-Villa F, Checca-Huaman N-R, Rueda-Vellasmin R, Passamani EC. Pyroclastic Dust from Arequipa-Peru Decorated with Iron Oxide Nanoparticles and Their Ecotoxicological Properties in Water Flea D. magna. Nanomaterials. 2024; 14(9):785. https://doi.org/10.3390/nano14090785
Chicago/Turabian StyleRamos-Guivar, Juan A., Yacu V. Alca-Ramos, Erich V. Manrique-Castillo, F. Mendoza-Villa, Noemi-Raquel Checca-Huaman, Renzo Rueda-Vellasmin, and Edson C. Passamani. 2024. "Pyroclastic Dust from Arequipa-Peru Decorated with Iron Oxide Nanoparticles and Their Ecotoxicological Properties in Water Flea D. magna" Nanomaterials 14, no. 9: 785. https://doi.org/10.3390/nano14090785
APA StyleRamos-Guivar, J. A., Alca-Ramos, Y. V., Manrique-Castillo, E. V., Mendoza-Villa, F., Checca-Huaman, N.-R., Rueda-Vellasmin, R., & Passamani, E. C. (2024). Pyroclastic Dust from Arequipa-Peru Decorated with Iron Oxide Nanoparticles and Their Ecotoxicological Properties in Water Flea D. magna. Nanomaterials, 14(9), 785. https://doi.org/10.3390/nano14090785
 
        



