Integration of Conductive SnO2 in Binary Organic Solar Cells with Fine-Tuned Nanostructured D18:L8-BO with Low Energy Loss for Efficient and Stable Structure by Optoelectronic Simulation
Abstract
1. Introduction
2. Method
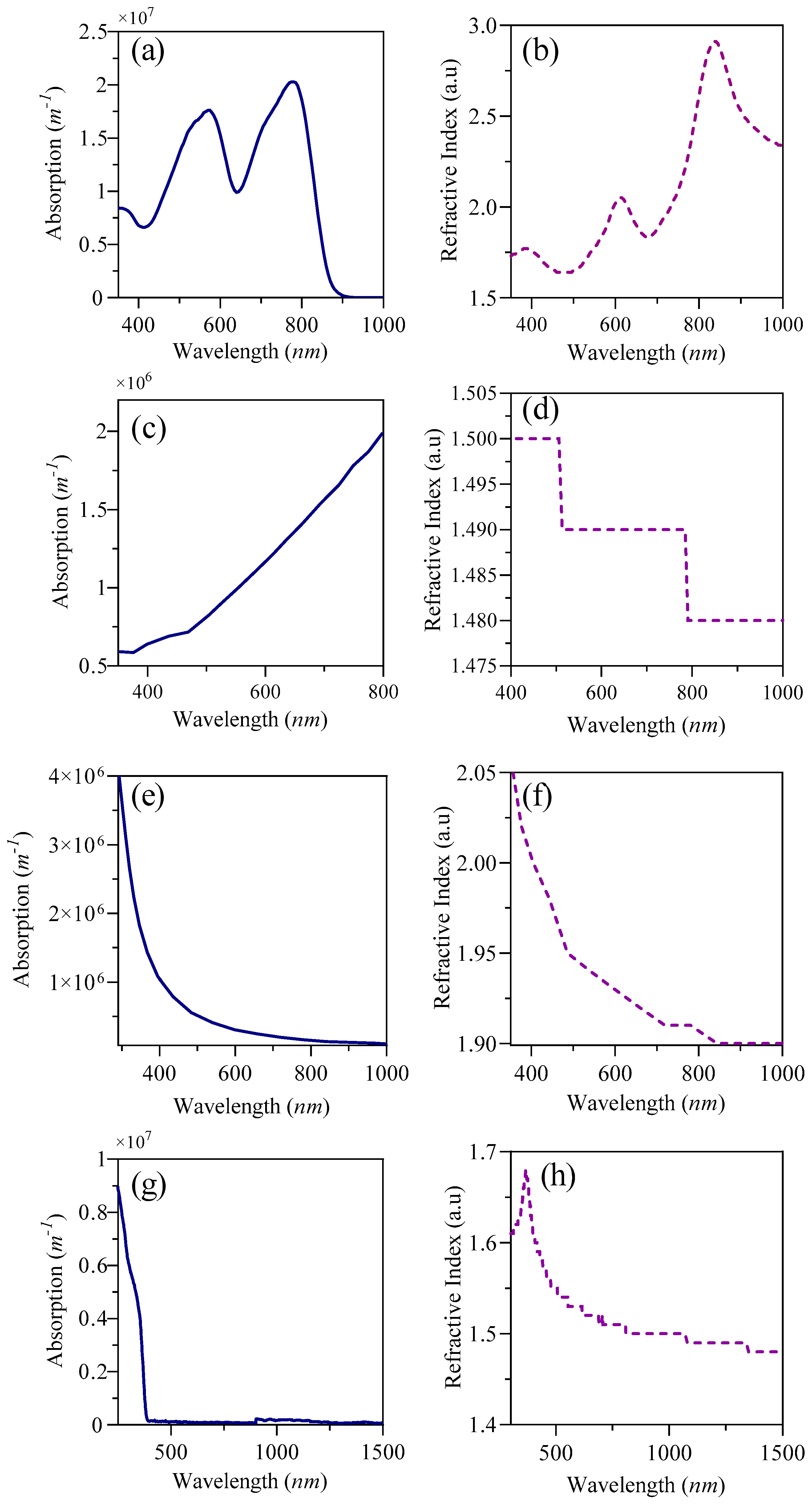
3. Results and Discussion
4. Conclusions
Author Contributions
Funding
Data Availability Statement
Conflicts of Interest
References
- Wang, K.; Guo, Q.; Nie, Z.; Wang, H.; Gao, J.; Zhang, J.; Yu, L.; Guo, X.; Zhang, M. Asymmetric Non-Fullerene Small Molecule Acceptor with Unidirectional Non-Fused π-Bridge and Extended Terminal Group for High-Efficiency Organic Solar Cells. Int. J. Mol. Sci. 2022, 23, 10079. [Google Scholar] [CrossRef] [PubMed]
- Luo, D.; Jang, W.; Babu, D.D.; Kim, M.S.; Wang, D.H.; Kyaw, A.K. Recent progress in organic solar cells based on non-fullerene acceptors: Materials to devices. J. Mater. Chem. A Mater. 2022, 10, 3255–3295. [Google Scholar] [CrossRef]
- Wang, L.; Chen, C.; Fu, Y.; Guo, C.; Li, D.; Cheng, J.; Sun, W.; Gan, Z.; Sun, Y.; Zhou, B.; et al. Donor–acceptor mutually diluted heterojunctions for layer-by-layer fabrication of high-performance organic solar cells. Nat. Energy 2024, 9, 208–218. [Google Scholar] [CrossRef]
- Zhao, Z.; Chung, S.; Kim, Y.Y.; Jeong, M.; Li, X.; Zhao, J.; Zhu, C.; Karuthedath, S.; Zhong, Y.; Cho, K.; et al. Room-temperature-modulated polymorphism of nonfullerene acceptors enables efficient bilayer organic solar cells. Energy Environ. Sci. 2024, 17, 5666–5678. [Google Scholar] [CrossRef]
- Du, W.S.; Wang, G.; Li, Y.F.; Yu, Y. Development of fullerene acceptors and the application of non-fullerene acceptors in organic solar cells. Front. Phys. 2024, 12, 1378909. [Google Scholar] [CrossRef]
- Eynaud, Q.; Koganezawa, T.; Sekimoto, H.; Kramdi, M.E.; Quéléver, G.; Margeat, O.; Ackermann, J.; Yoshimoto, N.; Videlot-Ackermann, C. Ternary Polymer Solar Cells: Impact of Non-Fullerene Acceptors on Optical and Morphological Properties. Electronics 2024, 13, 1752. [Google Scholar] [CrossRef]
- Serpetzoglou, E.; Konidakis, I.; Kourmoulakis, G.; Demeridou, I.; Chatzimanolis, K.; Zervos, C.; Kioseoglou, G.; Kymakis, E.; Stratakis, E. Charge carrier dynamics in different crystal phases of CH3NH3PbI3 perovskite. Opto-Electron. Sci. 2022, 1, 210005. [Google Scholar] [CrossRef]
- Wehrenfennig, C.; Eperon, G.E.; Johnston, M.B.; Snaith, H.J.; Herz, L.M. High Charge Carrier Mobilities and Lifetimes in Organolead Trihalide Perovskites. Adv. Mater. 2014, 26, 1584–1589. [Google Scholar] [CrossRef] [PubMed]
- Fu, Z.; Qiao, J.W.; Cui, F.Z.; Zhang, W.Q.; Wang, L.H.; Lu, P.; Yin, H.; Du, X.Y.; Qin, W.; Hao, X.T. π–π Stacking Modulation via Polymer Adsorption for Elongated Exciton Diffusion in High-Efficiency Thick-Film Organic Solar Cells. Adv. Mater. 2024, 36, 2313532. [Google Scholar] [CrossRef] [PubMed]
- Firdaus, Y.; Le Corre, V.M.; Karuthedath, S.; Liu, W.; Markina, A.; Huang, W.; Chattopadhyay, S.; Nahid, M.M.; Nugraha, M.I.; Lin, Y.; et al. Long-range exciton diffusion in molecular non-fullerene acceptors. Nat. Commun. 2020, 11, 5220. [Google Scholar] [CrossRef] [PubMed]
- Cai, Y.; Li, Q.; Lu, G.; Ryu, H.S.; Li, Y.; Jin, H.; Chen, Z.; Tang, Z.; Lu, G.; Hao, X.; et al. Vertically optimized phase separation with improved exciton diffusion enables efficient organic solar cells with thick active layers. Nat. Commun. 2022, 13, 2369. [Google Scholar] [CrossRef] [PubMed]
- Sreedhar Ram, K.; Mehdizadeh-Rad, H.; Ompong, D.; Setsoafia, D.D.Y.; Singh, J. Characterising Exciton Generation in Bulk-Heterojunction Organic Solar Cells. Nanomaterials 2021, 11, 209. [Google Scholar] [CrossRef]
- Lv, L.F.; Zhang, C.R.; Cao, R.; Liu, X.M.; Zhang, M.L.; Gong, J.J.; Liu, Z.J.; Wu, Y.Z.; Chen, H.S. Design and virtual screening of donor and non-fullerene acceptor for organic solar cells using long short-term memory model. J. Mater. Chem. A Mater. 2024, 12, 23859–23871. [Google Scholar] [CrossRef]
- Bist, A.; Pant, B.; Ojha, G.P.; Acharya, J.; Park, M.; Saud, P.S. Novel Materials in Perovskite Solar Cells: Efficiency, Stability, and Future Perspectives. Nanomaterials 2023, 13, 1724. [Google Scholar] [CrossRef] [PubMed]
- Wang, J.; Jiang, X.; Wu, H.; Feng, G.; Wu, H.; Li, J.; Yi, Y.; Feng, X.; Ma, Z.; Li, W.; et al. Increasing donor-acceptor spacing for reduced voltage loss in organic solar cells. Nat. Commun. 2021, 12, 6679. [Google Scholar] [CrossRef] [PubMed]
- Li, X.E.; Zhang, Q.; Yu, J.; Xu, Y.; Zhang, R.; Wang, C.; Zhang, H.; Fabiano, S.; Liu, X.; Hou, J.; et al. Mapping the energy level alignment at donor/acceptor interfaces in non-fullerene organic solar cells. Nat. Commun. 2022, 13, 2046. [Google Scholar] [CrossRef] [PubMed]
- Mohamed El Amine, B.; Zhou, Y.; Li, H.; Wang, Q.; Xi, J.; Zhao, C. Latest Updates of Single-Junction Organic Solar Cells up to 20% Efficiency. Energies 2023, 16, 3895. [Google Scholar] [CrossRef]
- Boudia, M.E.A.; Wang, Q.; Zhao, C. Simulation and Comparison of the Photovoltaic Performance of Conventional and Inverted Organic Solar Cells with SnO2 as Electron Transport Layers. Energies 2024, 17, 3302. [Google Scholar] [CrossRef]
- Wang, Z.; Peng, Z.; Xiao, Z.; Seyitliyev, D.; Gundogdu, K.; Ding, L.; Ade, H. Thermodynamic Properties and Molecular Packing Explain Performance and Processing Procedures of Three D18:NFA Organic Solar Cells. Adv. Mater. 2020, 32, 2005386. [Google Scholar] [CrossRef] [PubMed]
- Lai, X.; Chen, S.; Gu, X.; Lai, H.; Wang, Y.; Zhu, Y.; Wang, H.; Qu, J.; Kyaw, A.K.; Xia, H.; et al. Phenanthroline-carbolong interface suppress chemical interactions with active layer enabling long-time stable organic solar cells. Nat. Commun. 2023, 14, 3571. [Google Scholar] [CrossRef] [PubMed]
- Lo Gerfo, M.G.; Bolzonello, L.; Bernal-Texca, F.; Martorell, J.; van Hulst, N.F. Spatiotemporal Mapping Uncouples Exciton Diffusion from Singlet-Singlet Annihilation in the Electron Acceptor Y6. J. Phys. Chem. Lett. 2023, 14, 1999–2005. [Google Scholar] [CrossRef] [PubMed]
- Andersen, T.R.; Weyhe, A.T.; Tao, Q.; Zhao, F.; Qin, R.; Zhang, S.; Chen, H.; Yu, D. Novel cost-effective acceptor:P3HT based organic solar cells exhibiting the highest ever reported industrial readiness factor. Mater. Adv. 2020, 1, 658–665. [Google Scholar] [CrossRef]
- Zhou, W.; Wang, M.-C.; Zhao, X. Poly(methyl methacrylate) (PMMA) Doped with DCJTB for Luminescent Solar Concentrator Applications. Sol. Energy 2015, 115, 569–576. [Google Scholar] [CrossRef]
- Upreti, T.; Wilken, S.; Zhang, H.; Kemerink, M. Slow Relaxation of Photogenerated Charge Carriers Boosts Open-Circuit Voltage of Organic Solar Cells. J. Phys. Chem. Lett. 2021, 12, 9881. [Google Scholar] [CrossRef] [PubMed]
- Dai, T.; Lei, P.; Zhang, B.; Tang, A.; Geng, Y.; Zeng, Q.; Zhou, E. Fabrication of High VOC Organic Solar Cells with a Non-Halogenated Solvent and the Effect of Substituted Groups for ‘same-A-Strategy’ Material Combinations. ACS Appl. Mater. Interfaces 2021, 13, 21556–21564. [Google Scholar] [CrossRef] [PubMed]
- Tang, A.; Lin, Y.; Zhou, E. Organic Solar Cells with High Open-Circuit Voltage > 1 V. In Organic Solar Cells: Materials Design, Technology and Commercialization; John Wiley & Sons, Inc.: Hoboken, NJ, USA, 2022; pp. 313–333. [Google Scholar] [CrossRef]
- Kong, T.; Yang, G.; Fan, P.; Yu, J. Solution-Processable NiOx:PMMA Hole Transport Layer for Efficient and Stable Inverted Organic Solar Cells. Polymers 2023, 15, 1875. [Google Scholar] [CrossRef]
- Wibowo, A.; Marsudi, M.A.; Amal, M.I.; Ananda, M.B.; Stephanie, R.; Ardy, H.; Diguna, L.J. ZnO nanostructured materials for emerging solar cell applications. RSC Adv. 2020, 10, 42838. [Google Scholar] [CrossRef] [PubMed]
- Liu, C.; Xiao, C.; Li, W. Zinc oxide nanoparticles as electron transporting interlayer in organic solar cells. J. Mater. Chem. C Mater. 2021, 9, 14093–14114. [Google Scholar] [CrossRef]
- Hu, L.; Han, L.; Quan, J.; Wu, F.; Li, W.; Zhou, D.; Zhang, L.; Jin, Y.; Yin, X.; Song, J.; et al. Doping of ZnO Electron Transport Layer with Organic Dye Molecules to Enhance Efficiency and Photo-Stability of the Non-Fullerene Organic Solar Cells. Small 2024, 20, 2310125. [Google Scholar] [CrossRef] [PubMed]
- Yang, Z.; Zhang, T.; Li, J.; Xue, W.; Han, C.; Cheng, Y.; Qian, L.; Cao, W.; Yang, Y.; Chen, S. Multiple electron transporting layers and their excellent properties based on organic solar cell. Sci. Rep. 2017, 7, 9571. [Google Scholar] [CrossRef] [PubMed]
- Chen, Z.; El, M.; Boudia, A.; Zhao, C. Highly Stable Inverted Organic Solar Cell Structure Using Three Efficient Electron Transport Layers. Energies 2025, 18, 167. [Google Scholar] [CrossRef]
- Li, S.; Fu, Q.; Meng, L.; Wan, X.; Ding, L.; Lu, G.; Lu, G.; Yao, Z.; Li, C.; Chen, Y. Achieving over 18% Efficiency Organic Solar Cell Enabled by a ZnO-Based Hybrid Electron Transport Layer with an Operational Lifetime up to 5 Years. Angew. Chem. Int. Ed. 2022, 61, e202207397. [Google Scholar] [CrossRef] [PubMed]
- Anrango-Camacho, C.; Pavón-Ipiales, K.; Frontana-Uribe, B.A.; Palma-Cando, A. Recent Advances in Hole-Transporting Layers for Organic Solar Cells. Nanomaterials 2022, 12, 443. [Google Scholar] [CrossRef] [PubMed]
- da Cunha, H.O.; Leite, A.M.; Babu, R.S.; Gama Filho, H.S.; dos Santos, R.S.; dos Anjos, M.J.; de Barros, A.L. Enhancing the Efficiency of Solar Cells Based on TiO2 and ZnO Photoanodes Through Copper Oxide: A Comparative Study Using Vitis labrusca Extract and N3 Ruthenium Dye. Colorants 2024, 3, 329–349. [Google Scholar] [CrossRef]
- da Cunha, H.O.; Leite, A.M.B.; Ramesh, P.S.; Suresh Babu, R.; de Barros, A.L.F. Improved solar cells efficiency with TiO2/CuO nanocomposite as photoanode sensitized by natural dyes from scarlet eggplant, pitomba and black grapes. J. Mater. Sci. Mater. Electron. 2025, 36, 35. [Google Scholar] [CrossRef]
- Sadik, W.; El-Demerdash, A.M.; Nashed, A.W.; Mostafa, A.A.; Lamie, E. Synthesis and investigation of optical properties and enhancement photocatalytic activity of TiO2–SnO2 semiconductor for degradation of organic compounds. Sci. Rep. 2024, 14, 27846. [Google Scholar] [CrossRef]
- Sun, X.; Li, L.; Shen, S.; Wang, F. TiO2/SnO2 Bilayer Electron Transport Layer for High Efficiency Perovskite Solar Cells. Nanomaterials 2023, 13, 249. [Google Scholar] [CrossRef] [PubMed]
- Li, Y.; Li, Y.; Zhang, Q.; Liu, X.; Li, Y.; Xiao, N.; Ning, P.; Wang, J.; Zhang, J.; Liu, H. Electrical transport properties of TiO2/MAPbI3 and SnO2/MAPbI3 heterojunction interfaces under high pressure. RSC Adv. 2023, 13, 3333–3340. [Google Scholar] [CrossRef] [PubMed]
- Boudia, M.E.A.; Wang, Q.; Zhao, C. Optimization of the Active Layer Thickness for Inverted Ternary Organic Solar Cells Achieves 20% Efficiency with Simulation. Sustainability 2024, 16, 6159. [Google Scholar] [CrossRef]
- Abubaker, S.A.; Pakhuruddin, M.Z. An Overview of Electron Transport Layer Materials and Structures for Efficient Organic Photovoltaic Cells. Energy Technol. 2024, 12, 2400285. [Google Scholar] [CrossRef]
- Zhu, L.; Zhang, M.; Xu, J.; Li, C.; Yan, J.; Zhou, G.; Zhong, W.; Hao, T.; Song, J.; Xue, X.; et al. Single-junction organic solar cells with over 19% efficiency enabled by a refined double-fibril network morphology. Nat. Mater. 2022, 21, 656–663. [Google Scholar] [CrossRef] [PubMed]
- MacKenzie, R.C.; Shuttle, C.G.; Dibb, G.F.; Treat, N.; von Hauff, E.; Robb, M.J.; Hawker, C.J.; Chabinyc, M.L.; Nelson, J. Interpreting the Density of States Extracted from Organic Solar Cells Using Transient Photocurrent Measurements. J. Phys. Chem. C 2013, 117, 12407–12414. [Google Scholar] [CrossRef]
- Deschler, F.; Riedel, D.; Ecker, B.; von Hauff, E.; Da Como, E.; MacKenzie, R.C. Increasing organic solar cell efficiency with polymer interlayers. Phys. Chem. Chem. Phys. 2013, 15, 764–769. [Google Scholar] [CrossRef] [PubMed]
- MacKenzie, R.C.I.; Shuttle, C.G.; Chabinyc, M.L.; Nelson, J. Extracting Microscopic Device Parameters from Transient Photocurrent Measurements of P3HT:PCBM Solar Cells. Adv. Energy Mater. 2012, 2, 662–669. [Google Scholar] [CrossRef]
- Farooq, W.; Khan, A.D.; Khan, A.D.; Noman, M. Enhancing the power conversion efficiency of organic solar cells. Optik 2020, 208, 164093. [Google Scholar] [CrossRef]
- Yang, J.; Wang, X.; Yu, X.; Liu, J.; Zhang, Z.; Zhong, J.; Yu, J. Improved Short-Circuit Current and Fill Factor in PM6:Y6 Organic Solar Cells through D18-Cl Doping. Nanomaterials 2023, 13, 2899. [Google Scholar] [CrossRef] [PubMed]
- Menke, S.M.; Holmes, R.J. Exciton diffusion in organic photovoltaic cells. Energy Environ. Sci. 2014, 7, 499–512. [Google Scholar] [CrossRef]
- Zarei, K.; Emami, F. Absorption enhancement and efficiency improvement of an organic solar cell embedded with core–shell Au@ITO nanoparticles. Opt. Quantum Electron. 2020, 52, 275. [Google Scholar] [CrossRef]
- Trukhanov, V.A.; Bruevich, V.V.; Paraschuk, D.Y. Fill factor in organic solar cells can exceed the Shockley-Queisser limit. Sci. Rep. 2015, 5, 11478. [Google Scholar] [CrossRef] [PubMed]
- Understanding Solar Cell Efficiency, Shockley-Queisser Limit. Available online: https://www.universitywafer.com/what-is-the-shockley-queisser-limit.html (accessed on 14 February 2025).
- Byrnes, S. The Shockley-Queisser Limit. Available online: https://github.com/sbyrnes321/SolarCellEfficiencyLimits/blob/master/sq.ipynb (accessed on 14 February 2025).
- Boriskina, S.V.; Chen, G. Exceeding the solar cell Shockley–Queisser limit via thermal up-conversion of low-energy photons. Opt. Commun. 2014, 314, 71–78. [Google Scholar] [CrossRef]
- Rafiq, M.; Haider, M.; Li, H.; Yang, J. Precise control of hole transport layer integration on PDTS-DTTFBT: PC71BM organic solar cells. Phys. Scr. 2024, 99, 055903. [Google Scholar] [CrossRef]
- Ram, K.S.; Singh, J. Over 20% Efficient and Stable Non-Fullerene-Based Ternary Bulk-Heterojunction Organic Solar Cell with WS2 Hole-Transport Layer and Graded Refractive Index Antireflection Coating. Adv. Theory Simul. 2020, 3, 2000047. [Google Scholar] [CrossRef]
- Teng, H.; Koike, K.; Zhou, D.; Satoh, Z.; Koike, Y.; Okamoto, Y. High glass transition temperatures of poly(methyl methacrylate) prepared by free radical initiators. J. Polym. Sci. A Polym. Chem. 2009, 47, 315–317. [Google Scholar] [CrossRef]
- Nketia-Yawson, V.; Buer, A.B.; Ahn, H.; Nketia-Yawson, B.; Jo, J.W. Hole Mobility Enhancement in Benzo[1,2-b:4,5-b’]Dithiophene-Based Conjugated Polymer Transistors through Directional Alignment, Perovskite Functionalization and Solid-State Electrolyte Gating. Macromol. Rapid Commun. 2024, 45, 2300634. [Google Scholar] [CrossRef] [PubMed]
- Feng, G.-B.; Wang, F.; Hu, T.-C.; Cao, M. Characteristics of charge and discharge of PMMA samples due to electron irradiation. Chin. Phys. B 2015, 24, 117901. Available online: https://cpb.iphy.ac.cn/EN/abstract/abstract118078.shtml (accessed on 13 February 2025). [CrossRef]
- Tin Oxide Pellet Evaporation Material (SnO2). Available online: https://www.aemdeposition.com/oxide-evaporation-material/tin-oxide-evaporation-material.html (accessed on 13 February 2025).
- Li, Z.; Graziosi, P.; Neophytou, N. Electron and Hole Mobility of SnO2 from Full-Band Electron-Phonon and Ionized Impurity Scattering Computations. Crystals 2022, 12, 1591. [Google Scholar] [CrossRef]
















| Layer Name | Thickness (nm) | Optical Material | Layer Type | 
|---|---|---|---|
| ITO | 50 | Oxides | Contact | 
| PMMA | 35 | Polymers | HTL | 
| D18:L8-BO | 50 | BHJ | Active | 
| SnO2 | 45 | Oxides | ETL | 
| Ag | 100 | Metal | Contact | 
| Layer Name | Thickness (nm) | Optical Material | Layer Type | 
|---|---|---|---|
| ITO | 50 | Oxides | Contact | 
| PMMA | 35 | Polymers | HTL | 
| D18:L8-BO | 50 | BHJ | Active | 
| ZnO | 45 | Oxides | ETL | 
| Ag | 100 | Metal | Contact | 
| Parameters | Values | 
|---|---|
| Free electron’s Effective density (Nc at 300 K) | 1 × 1026 m−3 | 
| Free hole’s Effective density (Nv at 300 K) | 1 × 1026 m−3 | 
| Electron mobility (μe) | 1.4 × 10−7 m−2V−1s−1 | 
| Hole mobility (μh) | 1.8 × 10−7 m−2V−1s−1 | 
| Trapped electron (ntrap) to free hole (P) | 1 × 10−20 m−2 | 
| Trapped hole (Ptrap) to free electron (n) | 1 × 10−20 m−2 | 
| n to P recombination rate constant | 7.86 × 10−17 m−3s−1 | 
| Free electron (n) to trapped electron (strap) | 1 × 10−15 m−2 | 
| Free hole (P) to trapped hole (Ptrap) | 1 × 10−15 m−2 | 
| Energy bandgap (Eg) | 1.32 eV | 
| Relative permittivity (Ɛr) | 3.0 a.u | 
| Number of traps (Nt) | 5 Traps | 
| Devices | Thickness (nm) | Voc (v) | Jsc (mA cm−2) | FF (%) | PCE (%) | 
|---|---|---|---|---|---|
| S1: ITO/PMMA/D18:L8-BO/SnO2/Ag | 50 | 0.88 | 28.2 | 80 | 19.85 | 
| 80 | 0.87 (0.869 ± 0.001) | 25.34 (25.30 ± 0.04) | 78 (78.8 ± 0.2) | 17.07 (17.05 ± 0.02) | |
| 100 | 0.86 (0.858 ± 0.002) | 23.52 (23.02 ± 0.05) | 75 (74.9 ± 0.1) | 15.26 (15.25 ± 0.01) | |
| 120 | 0.855 (0.858 ± 0.002) | 23.28 (23.25 ± 0.03) | 73 (72.9 ± 0.1) | 14.47 (14.45 ± 0.02) | |
| 150 | 0.85 (0.849 ± 0.001) | 24.61 (24.60 ± 0.01) | 68 (67.7 ± 0.3) | 14.20 (14.19 ± 0.01) | |
| 180 | 0.847(0.84 ± 0.007) | 25.71 (25.70 ± 0.01) | 62.5 (61.4 ± 0.1) | 13.62 (13.60 ± 0.02) | |
| 200 | 0.845 (0.84 ± 0.005) | 26.45 (26.40 ± 0.05) | 59 (58.7 ± 0.3) | 13.09 (13.05 ± 0.04) | |
| S2: ITO/PMMA/D18:L8-BO/ZnO/Ag | 50 | 0.88 | 27.7 | 80 | 19.60 | 
| 80 | 0.867 (0.868 ± 0.001) | 25 (25.10 ± 0.1) | 77.5 (77 ± 0.5) | 16.84 (16.80 ± 0.04) | |
| 100 | 0.86 (0.855 ± 0.001) | 23.34 (23.30 ± 0.04) | 75.3 (75.2 ± 0.1) | 15.13 (15.11 ± 0.02) | |
| 120 | 0.855 (0.854 ± 0.001) | 23.22 (23.20 ± 0.02) | 72.6 (72.5 ± 0.1) | 14.42 (14.40 ± 0.02) | |
| 150 | 0.85 (0.848 ± 0.002) | 24.60 (24.00 ± 0.6) | 67.7 (67.5 ± 0.2) | 14.18 (14.14 ± 0.04) | |
| 180 | 0.847 (0.845 ± 0.002) | 25.70 (25.5 ± 0.2) | 62.5 (62.4 ± 0.1) | 13.60 (13.55 ± 0.5) | |
| 200 | 0.845 (0.843 ± 0.002) | 26.40 (26.30 ± 0.1) | 58.6 (58.5 ± 0.1) | 13.07 (13.05 ± 0.02) | 
| Reference | Structure | Voc (v) | Jsc (mA cm−2) | FF (%) | PCE (%) | 
|---|---|---|---|---|---|
| Zhu et al. [42] | ITO/PEDOT:PSS/PM6:D18:L8-BO/PNDIT-F3N/Ag | 0.87 | 24.49 | 80.38 | 17.21% | 
| Rafiq et al. [54] | ITO/MoO3/PDTS-DTTFBT:PC71BM/C60/PC60BM/ZnO/Ag | 0.999 | 20.01 | 88.52 | 17.69% | 
| Ram et al. [55] | ITO/WS2/PBDB-T-2F:Y6:PC71BM/PFN-Br/Al | 0.85 | 25.1 | 80 | 17.10% | 
| Boudia et al. [18] (our previous work) | ITO/PEDOT:PSS/PM6:L8-BO/SnO2/Ag | 0.859 | 26.5 | 80.4 | 18.34% | 
| Our work | ITO/PMMA/D18:L8-BO/SnO2/Ag | 0.88 | 28.2 | 80 | 19.85 | 
| T(K) | Voc (v) | Jsc(mA cm−2) | FF(%) | PCE(%) | |
|---|---|---|---|---|---|
| S1 | 300 | 0.88 | 28.12 | 80.2 | 19.85 | 
| 310 | 0.865 (0.864 ± 0.001) | 28.10 (27.90 ± 0.2) | 79.8 (79.7 ± 0.1) | 19.34 (19.30 ± 0.04) | |
| 320 | 0.847 (0.845 ± 0.002) | 28.07 (28.05 ± 0.2) | 79.3 (79.1 ± 0.2) | 18.84 (18.79 ± 0.05) | |
| 330 | 0.83 (0.828 ± 0.002) | 28.04 (28.03 ± 0.1) | 78.9 (78.6 ± 0.3) | 18.33 (18.33 ± 0.04) | |
| 340 | 0.81 (0.805 ± 0.006) | 28 (27.90 ± 0.1) | 78.4 (78.1 ± 0.3) | 17.82 (17.77 ± 0.05) | |
| 350 | 0.795 (0.793 ± 0.002) | 27.97 (27.96 ± 0.1) | 77.9 (77.8 ± 0.1) | 17.32 (17.30 ± 0.02) | |
| 360 | 0.777 (0.775 ± 0.002) | 27.94 (27.92 ± 0.2) | 77.4 (77.2 ± 0.2) | 16.81 (16.80 ± 0.01) | |
| 370 | 0.76 (0.755 ± 0.005) | 27.91 (27.90 ± 0.1) | 76.9 (76.8 ± 0.1) | 16.31 (16.30 ± 0.01) | |
| 380 | 0.74 (0.735 ± 0.005) | 27.88 (27.85 ± 0.3) | 76.4 (76.3 ± 0.1) | 15.80 (15.79 ± 0.01) | |
| 390 | 0.72 (0.715 ± 0.005) | 27.86 (27.85 ± 0.1) | 75.8 (75.7 ± 0.1) | 15.30 (15.31 ± 0.01) | |
| 400 | 0.706 (0.70 ± 0.006) | 27.84 (27.81 ± 0.3) | 75.3 (75.2 ± 0.1) | 14.80 (14.79 ± 0.01) | 
| Disclaimer/Publisher’s Note: The statements, opinions and data contained in all publications are solely those of the individual author(s) and contributor(s) and not of MDPI and/or the editor(s). MDPI and/or the editor(s) disclaim responsibility for any injury to people or property resulting from any ideas, methods, instructions or products referred to in the content. | 
© 2025 by the authors. Licensee MDPI, Basel, Switzerland. This article is an open access article distributed under the terms and conditions of the Creative Commons Attribution (CC BY) license (https://creativecommons.org/licenses/by/4.0/).
Share and Cite
Boudia, M.E.A.; Zhao, C. Integration of Conductive SnO2 in Binary Organic Solar Cells with Fine-Tuned Nanostructured D18:L8-BO with Low Energy Loss for Efficient and Stable Structure by Optoelectronic Simulation. Nanomaterials 2025, 15, 368. https://doi.org/10.3390/nano15050368
Boudia MEA, Zhao C. Integration of Conductive SnO2 in Binary Organic Solar Cells with Fine-Tuned Nanostructured D18:L8-BO with Low Energy Loss for Efficient and Stable Structure by Optoelectronic Simulation. Nanomaterials. 2025; 15(5):368. https://doi.org/10.3390/nano15050368
Chicago/Turabian StyleBoudia, Mohamed El Amine, and Cunlu Zhao. 2025. "Integration of Conductive SnO2 in Binary Organic Solar Cells with Fine-Tuned Nanostructured D18:L8-BO with Low Energy Loss for Efficient and Stable Structure by Optoelectronic Simulation" Nanomaterials 15, no. 5: 368. https://doi.org/10.3390/nano15050368
APA StyleBoudia, M. E. A., & Zhao, C. (2025). Integration of Conductive SnO2 in Binary Organic Solar Cells with Fine-Tuned Nanostructured D18:L8-BO with Low Energy Loss for Efficient and Stable Structure by Optoelectronic Simulation. Nanomaterials, 15(5), 368. https://doi.org/10.3390/nano15050368
 
        



 
       