Tailoring Epoxy Composites with Acacia caesia Bark Fibers: Evaluating the Effects of Fiber Amount and Length on Material Characteristics
Abstract
1. Introduction
- Mechanical Properties: Longer fibers tend to enhance the material’s strength, stiffness, and toughness. They provide a continuous load-bearing pathway, which improves the material’s ability to withstand applied forces. Higher fiber ratios, i.e., a higher volume fraction of fibers in the composite, also contribute to increased mechanical properties.
- Tensile Strength: Longer fibers generally result in higher tensile strength. As the fiber length increases, the load transfer between the fibers becomes more efficient, leading to improved strength characteristics. Shorter fibers may have weaker bonding with the matrix, limiting the overall tensile strength.
- Flexural Strength: Longer fibers can enhance the flexural strength of the composite. They provide resistance against bending forces and help distribute the load more effectively. A higher fiber ratio also improves flexural strength.
- Impact Resistance: Longer fibers contribute to better impact resistance in composites. They help absorb and distribute the impact energy, preventing crack propagation and increasing the material’s ability to withstand sudden loads. Higher fiber ratios further enhance impact resistance.
- Interfacial Bonding: The length and ratio of fibers influence the bonding between the fibers and the matrix material. Longer fibers provide a larger surface area for bonding, resulting in improved interfacial adhesion. A strong interfacial bond is crucial for transferring stresses between the fibers and the matrix, thus enhancing the material’s overall strength.
- Durability: The fiber length and ratio can impact the durability and fatigue resistance of the composite material. Longer fibers with better interfacial bonding can withstand cyclic loading and repetitive stresses more effectively, thereby improving the material’s durability.
2. Materials and Methods
2.1. Fibers’ Extraction
2.2. Composites Production
2.2.1. Preparation of Matrix
2.2.2. Mold Preparation
2.2.3. Fabrication of Composites
2.3. Characterization Methods
2.3.1. Mechanical Testing
2.3.2. Shore D Hardness Testing
2.3.3. Thermal Characterization
3. Results and Discussion
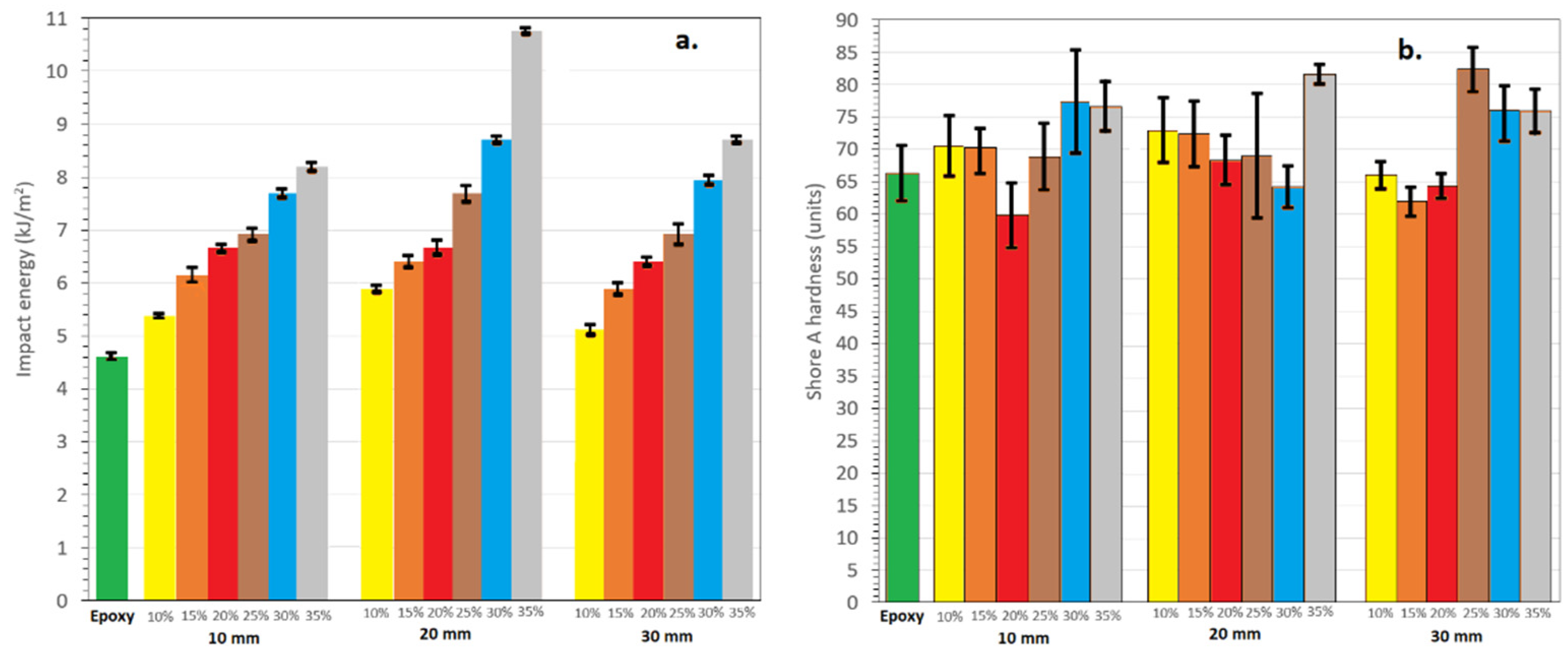
| Fiber | Impact Strength (kJ/m2) | Ref. |
|---|---|---|
| Banana (undeclared length) | 8.40 | [52] |
| Coccinia indica (30 mm long) | 7.38 | [53] |
| Lagenaria siceraria (9 mm long) | 11.31 | [54] |
| Acacia caesia Bark (20 mm) | 10.76 | Present work |
4. Conclusions
Author Contributions
Funding
Data Availability Statement
Conflicts of Interest
References
- Bouras, M.; Chadni, M.; Barba, F.J.; Grimi, N.; Bals, O.; Vorobiev, E. Optimization of microwave-assisted extraction of pol-yphenols from Quercus bark. Ind. Crops Prod. 2015, 77, 590–601. [Google Scholar] [CrossRef]
- Nahrstedt, A.; Schmidt, M.; Jäggi, R.; Metz, J.; Khayyal, M.T. Willow bark extract: The contribution of polyphenols to the overall effect. Wien. Med. Wochenschr. 2007, 157, 348–351. [Google Scholar] [CrossRef]
- Ghitescu, R.-E.; Volf, I.; Carausu, C.; Bühlmann, A.-M.; Gilca, I.A.; Popa, V.I. Optimization of ultrasound-assisted extraction of polyphenols from spruce wood bark. Ultrason. Sonochem. 2015, 22, 535–541. [Google Scholar] [CrossRef]
- Banso, A. Phytochemical and antibacterial investigation of bark extracts of Acacia nilotica. J. Med. Plant Res. 2009, 3, 082–085. [Google Scholar]
- Maimoona, A.; Naeem, I.; Saddiqe, Z.; Jameel, K. A review on biological, nutraceutical and clinical aspects of French maritime pine bark extract. J. Ethnopharmacol. 2011, 133, 261–277. [Google Scholar] [CrossRef] [PubMed]
- Lee, Y.S.; Ryu, M.J. Antioxidant Effects of Cinnamomum cassia Bark Extract and its Effectiveness as a Cosmetics Ingredient. Asian J. Beauty Cosmetol. 2019, 17, 69–80. [Google Scholar] [CrossRef]
- Haghbin, M.R.; Shahrak, M.N. Process conditions optimization for the fabrication of highly porous activated carbon from date palm bark wastes for removing pollutants from water. Powder Technol. 2021, 377, 890–899. [Google Scholar] [CrossRef]
- Yadav, N.; Ritu; Promila; Hashmi, S. A. Hierarchical porous carbon derived from eucalyptus-bark as a sustainable electrode for high-performance solid-state supercapacitors. Sustain. Energy Fuels 2020, 4, 1730–1746. [Google Scholar] [CrossRef]
- Sienkiewicz, N.; Dominic, M.; Parameswaranpillai, J. Natural Fillers as Potential Modifying Agents for Epoxy Composition: A Review. Polymers 2022, 14, 265. [Google Scholar] [CrossRef] [PubMed]
- Vinod, A.; Gowda, T.Y.; Vijay, R.; Sanjay, M.; Gupta, M.K.; Jamil, M.; Kushvaha, V.; Siengchin, S. Novel Muntingia calabura bark fiber reinforced green-epoxy composite: A sustainable and green material for cleaner production. J. Clean. Prod. 2021, 294, 126337. [Google Scholar] [CrossRef]
- Balasubramanian, B.; Raja, K.; Kumar, V.V.; Ganeshan, P. Characterization study of Holoptelea integrifolia tree bark fibres reinforced epoxy composites. Nat. Prod. Res. 2022, 1–10, published online 1 November 2022. [Google Scholar] [CrossRef]
- Reddy, P.V.; Mohana Krishnudu, D.; Rajendra Prasad, P. A study on alkali treatment influence on Prosopis juliflora fiber-reinforced epoxy composites. J. Nat. Fib. 2021, 18, 1094–1106. [Google Scholar] [CrossRef]
- Rajan, B.S.; Saibalaji, M.A.; Mohideen, S.R. Tribological performance evaluation of epoxy modified phenolic FC reinforced with chemically modified Prosopis juliflora bark fiber. Mater. Res. Express 2019, 6, 075313. [Google Scholar] [CrossRef]
- Gurupranes, S.V.; Rajendran, I.; Shanmuga Sundaram, N. Suitability assessment of raw-alkalized Ziziphus nummularia bark fibers and its polymeric composites for lightweight applications. Polym. Compos. 2022, 43, 5059–5075. [Google Scholar] [CrossRef]
- Bogoeva-Gaceva, G.; Avella, M.; Malinconico, M.; Buzarovska, A.; Grozdanov, A.; Gentile, G.; Errico, M.E. Natural fiber eco-composites. Polym. Compos. 2007, 28, 98–107. [Google Scholar] [CrossRef]
- De Paola, S.; Fragassa, C.; Minak, G.; Pavlovic, A. Green composites: A review of state of art. In Proceedings of the 30th Danubia-Adria Symposium on Advances in Experimental Mechanics, (DAS 2013), 77–78, Code 125164, Primošten, Croatia, 25–28 September 2013. [Google Scholar]
- Santulli, C.; Fragassa, C.; Pavlovic, A.; Nikolic, D. Use of Sea Waste in Composite Materials: A Review. J. Mar. Sci. Eng. 2023, 11, 855. [Google Scholar] [CrossRef]
- Bertomeu, D.; García-Sanoguera, D.; Fenollar, O.; Boronat, T.; Balart, R. Use of eco-friendly epoxy resins from renewable resources as potential substitutes of petrochemical epoxy resins for ambient cured composites with flax reinforcements. Polym. Compos. 2012, 33, 683–692. [Google Scholar] [CrossRef]
- Fragassa, C.; de Camargo, F.V.; Pavlovic, A.; Minak, G. Experimental evaluation of static and dynamic properties of low styrene emission vinylester laminates reinforced by natural fibres. Polym. Test. 2018, 69, 437–449. [Google Scholar] [CrossRef]
- Alves Fidelis, M.E.; Pereira, T.V.C.; Gomes, O.d.F.M.; de Andrade Silva, F.; Toledo Filho, R.D. The effect of fiber morphology on the tensile strength of natural fibers. J. Mater. Res. Technol. 2013, 2, 149–157. [Google Scholar] [CrossRef]
- George, J.; Sreekala, M.S.; Thomas, S. A review on interface modification and characterization of natural fiber reinforced plastic composites. Polym. Eng. Sci. 2001, 41, 1471–1485. [Google Scholar] [CrossRef]
- Sundaram, R.S.; Rajamoni, R.; Suyambulingam, I.; Isaac, R. Comprehensive Characterization of Industrially Discarded Cymbopogon flexuosus Stem Fiber Reinforced Unsaturated Polyester Composites: Effect of Fiber Length and Weight Fraction. J. Nat. Fibers 2022, 19, 7241–7256. [Google Scholar] [CrossRef]
- Venkata Smitha, P.; Ch, M.M.; Kandra, P.; Sravani, R.; Akondi, R.B. Screening of antimicrobial and antioxidant po-tentials of Acacia caesia, Dillenia pentagyna and Buchanania lanzan from Maredumilli forest of India. J. Pharm. Res. 2012, 5, 1734–1738. [Google Scholar]
- Ashwini, J.; Aswathy, T.R.; Rahul, A.B.; Thara, G.M.; Nair, A.S. Synthesis and Characterization of Zinc Oxide Nanoparticles Using Acacia caesia Bark Extract and Its Photocatalytic and Antimicrobial Activities. Catalysts 2021, 11, 1507. [Google Scholar] [CrossRef]
- Thomas, S.K.; Begum, P.M.S.; Dominic, C.D.M.; Salim, N.V.; Hameed, N.; Rangappa, S.M.; Siengchin, S.; Parameswaranpillai, J. Isolation and characterization of cellulose nanowhiskers from Acacia caesia plant. J. Appl. Polym. Sci. 2020, 138, 50213. [Google Scholar] [CrossRef]
- Sivasubramanian, P.; Kalimuthu, M.; Palaniappan, M.; Alavudeen, A.; Rajini, N.; Santulli, C. Effect of Alkali Treatment on the Properties of Acacia caesia Bark Fibres. Fibers 2021, 9, 49. [Google Scholar] [CrossRef]
- Palanisamy, S.; Mayandi, K.; Dharmalingam, S.; Rajini, N.; Santulli, C.; Mohammad, F.; Al-Lohedan, H.A. Tensile Properties and Fracture Morphology of Acacia caesia Bark Fibers Treated with Different Alkali Concentrations. J. Nat. Fibers 2022, 19, 11258–11269. [Google Scholar] [CrossRef]
- John, M.J.; Varughese, K.T.; Thomas, S. Green Composites from Natural Fibers and Natural Rubber: Effect of Fiber Ratio on Mechanical and Swelling Characteristics. J. Nat. Fibers 2008, 5, 47–60. [Google Scholar] [CrossRef]
- Venkateshwaran, N.; ElayaPerumal, A.; Jagatheeshwaran, M.S. Effect of fiber length and fiber content on mechanical prop-erties of banana fiber/epoxy composite. J. Reinf. Plast. Compos. 2011, 30, 1621–1627. [Google Scholar] [CrossRef]
- Ghali, L.; Msahli, S.; Zidi, M.; Sakli, F. Effects of Fiber Weight Ratio, Structure and Fiber Modification onto Flexural Properties of Luffa-Polyester Composites. Adv. Mater. Phys. Chem. 2011, 1, 78–85. [Google Scholar] [CrossRef]
- Migneault, S.; Koubaa, A.; Erchiqui, F.; Chaala, A.; Englund, K.; Krause, C.; Wolcott, M. Effect of fiber length on processing and properties of extruded wood-fiber/HDPE composites. J. Appl. Polym. Sci. 2008, 110, 1085–1092. [Google Scholar] [CrossRef]
- Nurazzi, N.M.; Khalina, A.; Sapuan, S.M.; Ilyas, R.A. Mechanical properties of sugar palm yarn/woven glass fiber reinforced unsaturated polyester composites: Effect of fiber loadings and alkaline treatment. Polymers 2019, 64, 665–675. [Google Scholar] [CrossRef]
- Kumar, S.S.; Raja, V.M. Processing and determination of mechanical properties of Prosopis juliflora bark, banana and coconut fiber reinforced hybrid bio composites for an engineering field. Compos. Sci. Technol. 2021, 208, 108695. [Google Scholar] [CrossRef]
- Hughes, M. Defects in natural fibres: Their origin, characteristics and implications for natural fibre-reinforced composites. J. Mater. Sci. 2011, 47, 599–609. [Google Scholar] [CrossRef]
- Liu, Y.; Ma, Y.; Yu, J.; Zhuang, J.; Wu, S.; Tong, J. Development and characterization of alkali treated abaca fiber reinforced friction composites. Compos. Interfaces 2018, 26, 67–82. [Google Scholar] [CrossRef]
- Venkateshwaran, N.; ElayaPerumal, A.; Alavudeen, A.; Thiruchitrambalam, M. Mechanical and water absorption behaviour of banana/sisal reinforced hybrid composites. Mater. Des. 2011, 32, 4017–4021. [Google Scholar] [CrossRef]
- Yusoff, M.Z.M.; Salit, M.S.; Ismail, N.; Wirawan, R. Mechanical properties of short random oil palm fibre reinforced epoxy composites. Sains Malays. 2010, 39, 87–92. [Google Scholar]
- Fiore, V.; Di Bella, G.; Valenza, A. The effect of alkaline treatment on mechanical properties of kenaf fibers and their epoxy composites. Compos. Part B: Eng. 2015, 68, 14–21. [Google Scholar] [CrossRef]
- Bhupender, A.K. Study on mechanical behaviour of lantana-camara fiber reinforced epoxy-based composites. Int. Res. J. Eng. Technol. 2017, 4, 3167–3171. [Google Scholar]
- Pradhan, S.; Acharya, S.K.; Prakash, V. Mechanical, morphological, and tribological behavior of Eulaliopsis binata fiber epoxy composites. J. Appl. Polym. Sci. 2021, 138, 50077. [Google Scholar] [CrossRef]
- Shariff, M.D.; Madhu, S.; Palani, K.. Suitability Evaluation of Mercerized Albizia Julibrissin Fiber as a Potential Reinforcement for Bio-composites. J. Nat. Fibers 2021, 19, 8383–8398. [Google Scholar] [CrossRef]
- Motaleb, K.Z.M.A.; Ahad, A.; Laureckiene, G.; Milasius, R. Innovative Banana Fiber Nonwoven Reinforced Polymer Composites: Pre- and Post-Treatment Effects on Physical and Mechanical Properties. Polymers 2021, 13, 3744. [Google Scholar] [CrossRef] [PubMed]
- Webo, W.; Maringa, M.; Masu, L. The tensile and flexural properties of treated and untreated sisal fibre-epoxy resin composites. Int. J. Mech Mechatron Eng. 2019, 19, 27–40. [Google Scholar]
- Yousif, B.F.; Shalwan, A.; Chin, C.W.; Ming, K.C. Flexural properties of treated and untreated kenaf/epoxy composites. Mater Des. 2012, 40, 378–385. [Google Scholar] [CrossRef]
- Suarsana, I.; Suryawan, I.; Suardana, N.; Winaya, S.; Soenoko, R.; Suyasa, B.; Sunu, W.; Rasta, M. Flexural strength of hybrid composite resin epoxy reinforced stinging nettle fiber with silane chemical treatment. AIMS Mater. Sci. 2021, 8, 185–199. [Google Scholar] [CrossRef]
- Amroune, S.; Belaadi, A.; Dalmis, R.; Seki, Y.; Makhlouf, A.; Satha, H. Quantitatively Investigating the effects of fiber parameters on tensile and flexural response of flax/epoxy biocomposites. J. Nat. Fibers 2022, 19, 2366–2381. [Google Scholar] [CrossRef]
- Vinod, A.; Sanjay, M.R.; Siengchin, S. Fatigue and thermo-mechanical properties of chemically treated Morinda citrifolia fiber-reinforced bio-epoxy composite: A sustainable green material for cleaner production. J. Clean. Prod. 2021, 326, 129411. [Google Scholar] [CrossRef]
- Karnani, R.; Krishnan, M.; Narayan, R. Biofiber-reinforced polypropylene composites. Polym. Eng. Sci. 1997, 37, 476–483. [Google Scholar] [CrossRef]
- Le Guen, M.J.; Newman, R.H. Pulped Phormium tenax leaf fibres as reinforcement for epoxy composites. Compos. Part A Appl. Sci. Manuf. 2007, 38, 2109–2115. [Google Scholar] [CrossRef]
- Baley, C. Influence of kink bands on the tensile strength of flax fibers. J. Mater. Sci. 2004, 39, 331–334. [Google Scholar] [CrossRef]
- Sawpan, M.A.; Pickering, K.L.; Fernyhough, A. Flexural properties of hemp fibre reinforced polylactide and unsaturated polyester composites. Compos. Part A Appl. Sci. Manuf. 2011, 43, 519–526. [Google Scholar] [CrossRef]
- Jayaseelan, C.; Padmanabhan, P.; Athijayamani, A.; Ramanathan, K. Comparative Investigation of Mechanical Properties of Epoxy Composites Reinforced with Short Fibers, Macro Particles, and Micro Particles. Bioresources 2017, 12, 2864–2871. [Google Scholar] [CrossRef]
- Bhuvaneshwaran, M.; Sampath, P.; Sagadevan, S. Influence of fiber length, fiber content and alkali treatment on mechanical properties of natural fiber-reinforced epoxy composites. Polimery 2019, 64, 93–99. [Google Scholar] [CrossRef]
- Nagappan, S.; Subramani, S.P.; Palaniappan, S.K.; Mylsamy, B. Impact of alkali treatment and fiber length on mechanical properties of new agro waste Lagenaria Siceraria fiber reinforced epoxy composites. J. Nat. Fibers 2021, 19, 6853–6864. [Google Scholar] [CrossRef]
- Palanisamy, S.; Kalimuthu, M.; Nagarajan, R.; Marlet, J.M.F.; Santulli, C. Physical, Chemical, and Mechanical Characterization of Natural Bark Fibers (NBFs) Reinforced Polymer Composites: A Bibliographic Review. Fibers 2023, 11, 13. [Google Scholar] [CrossRef]
- Narayanasamy, P.; Balasundar, P.; Senthil, S.; Sanjay, M.R.; Siengchin, S.; Khan, A.; Asiri, A.M. Characterization of a novel natural cellulosic fiber from Calotropis gigantea fruit bunch for ecofriendly polymer composites. Int. J. Biol. Macromol. 2020, 150, 793–801. [Google Scholar] [CrossRef] [PubMed]
- Vivek, S.; Kanthavel, K. Effect of bagasse ash filled epoxy composites reinforced with hybrid plant fibres for mechanical and thermal properties. Compos. Part B: Eng. 2018, 160, 170–176. [Google Scholar] [CrossRef]
- Herrera-Franco, P.; Valadez-Gonzalez, A. A study of the mechanical properties of short natural-fiber reinforced composites. Compos. Part B Eng. 2005, 36, 597–608. [Google Scholar] [CrossRef]
- Kathirselvam, M.; Kumaravel, A.; Arthanarieswaran, V.; Saravanakumar, S. Assessment of cellulose in bark fibers of Thespesia populnea: Influence of stem maturity on fiber characterization. Carbohydr. Polym. 2019, 212, 439–449. [Google Scholar] [CrossRef]
- De Rosa, I.M.; Kenny, J.M.; Puglia, D.; Santulli, C.; Sarasini, F. Morphological, thermal and mechanical characterization of okra (Abelmoschus esculentus) fibres as potential reinforcement in polymer composites. Compos. Sci. Technol. 2010, 70, 116–122. [Google Scholar] [CrossRef]
- Baley, C.; Gomina, M.; Breard, J.; Bourmaud, A.; Davies, P. Variability of mechanical properties of flax fibres for composite reinforcement. A review. Ind. Crops Prod. 2019, 145, 111984. [Google Scholar] [CrossRef]
- Georgiopoulos, P.; Christopoulos, A.; Koutsoumpis, S.; Kontou, E. The effect of surface treatment on the performance of flax/biodegradable composites. Compos. Part B Eng. 2016, 106, 88–98. [Google Scholar] [CrossRef]
- Fiore, V.; Scalici, T.; Nicoletti, F.; Vitale, G.; Prestipino, M.; Valenza, A. A new eco-friendly chemical treatment of natural fibres: Effect of sodium bicarbonate on properties of sisal fibre and its epoxy composites. Compos. Part B Eng. 2015, 85, 150–160. [Google Scholar] [CrossRef]
- Liu, Z.Q.; Yi, X.-S.; Feng, Y. Effects of glycerin and glycerol monostearate on performance of thermoplastic starch. J. Mater. Sci. 2001, 36, 1809–1815. [Google Scholar] [CrossRef]
- Almeshaal, M.; Palanisamy, S.; Murugesan, T.M.; Palaniappan, M.; Santulli, C. Physico-chemical characterization of Grewia Monticola Sond (GMS) fibers for prospective application in biocomposites. J. Nat. Fibers 2022, 19, 15276–15290. [Google Scholar] [CrossRef]
- Kathirselvam, M.; Kumaravel, A.; Arthanarieswaran, V.P.; Saravanakumar, S.S. Isolation and characterization of cellulose fibers from Thespesia populnea barks: A study on physicochemical and structural properties. Int. J. Biol. Macromol. 2019, 129, 396–406. [Google Scholar] [CrossRef] [PubMed]













| Sample No. | Fiber Amount (%) | Fiber Length (mm) |
|---|---|---|
| C0 | - | - |
| C1 | 10 | 10 |
| C2 | 15 | |
| C3 | 20 | |
| C4 | 25 | |
| C5 | 30 | |
| C6 | 35 | |
| C7 | 10 | 20 |
| C8 | 15 | |
| C9 | 20 | |
| C10 | 25 | |
| C11 | 30 | |
| C12 | 35 | |
| C13 | 10 | 30 |
| C14 | 15 | |
| C15 | 20 | |
| C16 | 25 | |
| C17 | 30 | |
| C18 | 35 |
| Testing Mode | ASTM Standard | Specimens’ Dimensions (mm) |
|---|---|---|
| Tensile | D3039 | 250 × 25 × 3 |
| Flexural | D790 | 125 × 13 × 3 |
| Izod impact | D256 | 65 × 13 × 3 |
| Fiber | Weight (%) | Length (mm) | Tensile Strength (MPa) | Tensile Modulus (GPa) | Ref. |
|---|---|---|---|---|---|
| Banana | 16% | 15 | 16.12 | 0.64 | [36] |
| Oil palm | 5% | 20 | 29.9 | 1.43 | [37] |
| Kenaf | N. d. | 40 | 31.3 | 3.75 | [38] |
| Lantana camara | 30% | 100 | 19 | 1.17 | [39] |
| Eulaliopsis binata | 30% | 11 | 21 | - | [40] |
| Acacia caesia | 35% | 20 | 34.41 | 2.54 | This study |
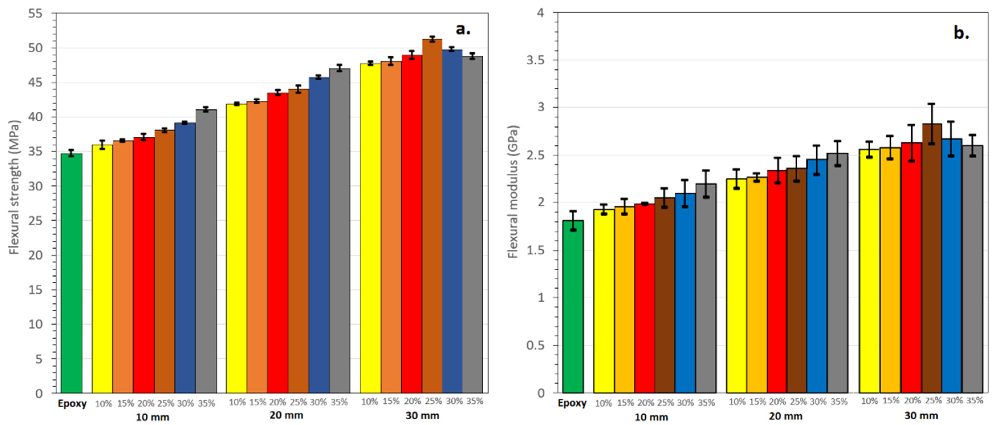
| Fiber | Amount (wt. or vol. %) | Length (mm) | Flexural Strength (MPa) | Ref. |
|---|---|---|---|---|
| Outer banana bark | 30 (wt.) | 30 | 29.47 | [42] |
| Middle banana bark | 30 (wt.) | 30 | 25.55 | [42] |
| Inner banana bark | 30 (wt.) | 30 | 18.56 | [42] |
| Midrib banana | 30 (wt.) | 30 | 22.57 | [42] |
| Sisal | 15 (wt.) | 48 | 116.30 | [43] |
| Pineapple leaf | 15 (wt.) | 1 | 48.63 | [44] |
| Kenaf | 38–41 (vol.) | 80 | 235.13 | [45] |
| Flax | 40 (vol.) | 15 | 66.07 | [46] |
| Acacia caesia Bark | 25 (wt.) | 30 | 51.21 | Present work |
| Sample | Max. Moisture/Loose Materials Release (°C) | Onset Degradation (°C) | End Degradation (°C) | Residue at 675 °C (%) |
|---|---|---|---|---|
| Neat epoxy | - | 367 | 456 | 9.3 |
| 10 mm 10 wt.% | 104 | 362 | 408 | 13.7 |
| 10 mm 25 wt.% | 110 | 360 | 411 | 13.5 |
| 10 mm 35 wt.% | 123 | 340 | 417 | 16.8 |
| 20 mm 10 wt.% | 108 | 340 | 418 | 12.2 |
| 20 mm 25 wt.% | 121 | 352 | 415 | 16.2 |
| 20 mm 35 wt.% | 125 | 333 | 409 | 17.8 |
| 30 mm 10 wt.% | 113 | 346 | 416 | 14.5 |
| 30 mm 25 wt.% | 116 | 359 | 414 | 14.8 |
| 30 mm 35 wt.% | 121 | 345 | 412 | 14.7 |
Disclaimer/Publisher’s Note: The statements, opinions and data contained in all publications are solely those of the individual author(s) and contributor(s) and not of MDPI and/or the editor(s). MDPI and/or the editor(s) disclaim responsibility for any injury to people or property resulting from any ideas, methods, instructions or products referred to in the content. |
© 2023 by the authors. Licensee MDPI, Basel, Switzerland. This article is an open access article distributed under the terms and conditions of the Creative Commons Attribution (CC BY) license (https://creativecommons.org/licenses/by/4.0/).
Share and Cite
Palanisamy, S.; Kalimuthu, M.; Santulli, C.; Palaniappan, M.; Nagarajan, R.; Fragassa, C. Tailoring Epoxy Composites with Acacia caesia Bark Fibers: Evaluating the Effects of Fiber Amount and Length on Material Characteristics. Fibers 2023, 11, 63. https://doi.org/10.3390/fib11070063
Palanisamy S, Kalimuthu M, Santulli C, Palaniappan M, Nagarajan R, Fragassa C. Tailoring Epoxy Composites with Acacia caesia Bark Fibers: Evaluating the Effects of Fiber Amount and Length on Material Characteristics. Fibers. 2023; 11(7):63. https://doi.org/10.3390/fib11070063
Chicago/Turabian StylePalanisamy, Sivasubramanian, Mayandi Kalimuthu, Carlo Santulli, Murugesan Palaniappan, Rajini Nagarajan, and Cristiano Fragassa. 2023. "Tailoring Epoxy Composites with Acacia caesia Bark Fibers: Evaluating the Effects of Fiber Amount and Length on Material Characteristics" Fibers 11, no. 7: 63. https://doi.org/10.3390/fib11070063
APA StylePalanisamy, S., Kalimuthu, M., Santulli, C., Palaniappan, M., Nagarajan, R., & Fragassa, C. (2023). Tailoring Epoxy Composites with Acacia caesia Bark Fibers: Evaluating the Effects of Fiber Amount and Length on Material Characteristics. Fibers, 11(7), 63. https://doi.org/10.3390/fib11070063

