Next Article in Journal
Multi-Domain Feature Incorporation of Lightweight Convolutional Neural Networks and Handcrafted Features for Lung and Colon Cancer Diagnosis
Next Article in Special Issue
Advances in the Automated Identification of Individual Tree Species: A Systematic Review of Drone- and AI-Based Methods in Forest Environments
Previous Article in Journal
A Novel Three-Dimensional Sliding Pursuit Guidance and Control of Surface-to-Air Missiles
Previous Article in Special Issue
Using Serious Games and Digital Games to Improve Students’ Computational Thinking and Programming Skills in K-12 Education: A Systematic Literature Review
 
 
Font Type:
Arial Georgia Verdana
Font Size:
Aa Aa Aa
Line Spacing:
Column Width:
Background:
Review

Advanced Precision Cutting Titanium Alloy Methods: A Critical Review Considering Cost, Efficiency, and Quality

1
Aviation Industry Company Changhe Aircraft Industries Corporation, Jingdezhen 333002, China
2
Shenzhen International Graduate School, Tsinghua University, Shenzhen 518055, China
3
State Key Laboratory of Tribology in Advanced Equipment, Department of Mechanical Engineering, Tsinghua University, Beijing 100084, China
4
Department of Mechanical Engineering, Tsinghua University, Beijing 100084, China
*
Author to whom correspondence should be addressed.
These authors contributed equally to this work.
Technologies 2025, 13(5), 172; https://doi.org/10.3390/technologies13050172
Submission received: 23 January 2025 / Revised: 13 April 2025 / Accepted: 22 April 2025 / Published: 25 April 2025
(This article belongs to the Collection Review Papers Collection for Advanced Technologies)

Abstract

This literature review focuses on titanium alloys, which are crucial in modern manufacturing due to their excellent properties. The review covers their classification, machining challenges, and advanced cutting methods. Different alloy types (α-Ti, β-Ti, and α+β-Ti) have distinct characteristics and applications; their machining challenges include low thermal conductivity and pronounced chemical reactivity. Nowadays, advanced cutting methods of titanium alloys involve innovated tool design, efficient coolant techniques, and ultrasonic vibration cutting. The impact of these methods on cost, quality, and efficiency is analyzed, considering both positive and negative aspects. Lastly, strategies for cost reduction, efficiency improvement, and quality enhancement are explored, highlighting the complex relationship between these factors in titanium alloy processing.

Graphical Abstract

1. Introduction

Titanium alloys have emerged as materials of significant importance in modern manufacturing industries, due to their distinctive combination of properties. They possess a low density, exceptional specific load-bearing capacity, and excellent corrosion resistance [1,2]. For instance, in the aerospace sector, their utilization in aircraft engines and structural components, such as the application in manufacturing fan and compressor blades in engines as noted in the study by Wang et al. [3], serves as a critical determinant in enhancing the thrust-to-weight ratio and overall performance. Notably, TiAl alloys have become the preferred material for the low-pressure turbine blades of advanced aircraft engines [4], and have been successfully applied in the engines of the Boeing 747-8 and 787 [5]. Owing to their lightweight nature, high specific strength, excellent oxidation resistance and creep resistance, TiAl alloys are considered ideal structural materials above 600 °C and are being widely used to replace conventional titanium alloys [6,7,8]. Du et al. investigated the directional solidification of Ti-47Al alloy using electromagnetic confinement and highlighted the relationship between lamellar orientation and fracture behavior [9].
In the biomedical field, titanium alloys such as Ti-6Al-4V and Ti-6Al-7Nb, which have been established for several decades, are widely utilized due to their superior biocompatibility compared to stainless steel or Co-Cr alloys [10,11,12]. Recent advancements have introduced next-generation titanium alloys, including Ti-Nb-Zr-Ta [13], Ti-Mo-Nb [14], and Ti-Nb-Ta-Zr-Mo [15] systems, which offer enhanced biocompatibility and reduced elastic modulus for improved osseointegration and minimized stress shielding. These emerging alloys are increasingly considered for orthopedic and dental implants to address the limitations of conventional titanium alloys. However, the machining of titanium alloys presents numerous challenges. Their low thermal conductivity leads to heat accumulation during processing, exacerbating tool wear and surface damage. Their high chemical reactivity makes them prone to reacting with cutting tools and forming built-up edges [16,17]. For example, in milling operations, as reported by Polini and Turchetta [18], the cutting forces and tool wear are significantly affected by the cutting parameters and the material’s properties.
Consequently, extensive research efforts have been dedicated to improving the machining performance of titanium alloys. The optimization of machining parameters, development of advanced cutting tools, and innovation in cooling and lubrication techniques have become key research directions. The study by Salah Gariani et al. [19] focused on devising an efficient cutting fluid supply system to mitigate the issues associated with machining titanium alloys. In the context of additive manufacturing, investigations into the machinability of additively manufactured titanium alloys in comparison with conventionally processed ones, as explored by F. Hojati et al. [20], offer valuable insights for the fabrication of complex components. Additionally, surface treatment methods have been investigated to enhance the surface properties of titanium alloys, thereby augmenting their performance in diverse applications [2].
Precision machining of titanium alloys is crucial for enhancing their in-service functional performance. While conventional subtractive methods (e.g., turning and milling) remain foundational, additive manufacturing (AM) has emerged as a complementary technique for fabricating intricate geometries that are challenging to achieve through traditional machining [21]. However, its standalone application often faces challenges in achieving optimal surface integrity. This limitation could potentially be addressed by hybrid approaches, such as laser and electrochemical machining (LECM), which can integrate AM’s design flexibility with subtractive processes to improve dimensional accuracy and reduce residual stresses [22]. Building upon this technological synergy, ultra-precision machining techniques, as demonstrated by Ganesan et al. [23], further refine surface finishes to nanometer scales. Complementary advancements include micro-structured surfaces, which reduce cutting forces and tool wear through optimized tribological properties [24]. Meanwhile, intermittent diamond cutting techniques [25] enhance machinability by minimizing thermal deformation, while pulsed magnetic field treatment [26] concurrently improves tool life through tribo–electrochemical interactions. However, the cost of precision machining for titanium alloys is relatively high. Some market data indicate that industrial-grade titanium alloys exhibit a price range of $6.25–27 per kilogram, which is higher than many widely used metallic materials. For instance, stainless steel, a representative of common engineering metals, has a cost range of $3.90–9.28 per kilogram [27]. With a thermal conductivity of 6.4–7 W/(m·K) [28], titanium alloys dissipate heat much less effectively than stainless steel (14–15 W/(m·K)) [29], leading to excessive temperature rise during machining. Heat generated by cutting forces accumulates rapidly in the workpiece and tool interface, which could cause elevated temperatures, accelerating tool wear and reducing machining efficiency [30]. In addition to the high cutting temperatures caused by their low thermal conductivity, titanium alloys’ high strength and high chemical reactivity also exacerbate mechanical wear and interfacial reactions, making them more prone to tool wear [31]. Some precision machining technologies require special equipment, which may also lead to an increase in costs. For example, ultrasonic machining requires high-frequency vibration devices and precision control systems, leading to substantially higher initial equipment costs compared to conventional machining strategies. Some research indicates that ultrasonic–electrical discharge hybrid machining systems integrate high-frequency power supplies and ultrasonic generators, potentially increasing the cost per unit by 20–40% [32]. In terms of energy consumption, the additional power consumption of ultrasonic vibration systems may increase the unit processing energy consumption by 10–15%. Furthermore, ultrasonic machining equipment demands more frequent maintenance of vibration components, resulting in maintenance costs approximately 15–25% higher than traditional machining [33]. Therefore, although advanced machining techniques such as ultrasonic machining deliver superior processing quality, the associated cost increase remains a non-negligible issue.
On the other hand, some precision machining technologies for titanium alloys may have issues with poor processing quality, including low precision and poor surface integrity. As mentioned above, unique physical properties of titanium alloys lead to poor friction conditions at the tool–workpiece interface [34]. During the machining process, high cutting heat is concentrated at the tool–workpiece interface, causing chemical reactions and serrated chips. This accelerates tool wear, deteriorates the integrity of the machined surface, compromises the sustainability of the machining process and limits the production of high-quality titanium alloy components [35]. For example, in traditional electrical discharge machining (EDM) of TC4 titanium alloy holes, there are problems such as inefficient material removal, poor machining accuracy, and surface integrity [36].
At present, within the research of precision cutting of titanium alloys, there is a lack of comprehensive consideration of cost, efficiency, and quality as an integrated system. For the improvement and application of advanced machining technologies, it is critical to analyze existing methods from these three dimensions simultaneously. As shown in Figure 1, this paper systematically addresses this gap through the next three sections.
Section 2 provides a holistic summary of the classification, mechanical properties, and industrial applications of titanium alloys, and then analyzes the effects of some critical thermo-mechanical processing conditions on the microstructure and mechanical properties of titanium alloys.
Section 3 delves into advanced cutting techniques for titanium alloys, focusing on innovative tool designs (tool matrix material, tool shape, too texture, and advanced coatings), high-efficiency cooling techniques (high-pressure cooling (HPC), minimum quantity lubrication (MQL), cryogenic cooling, and hybrid cooling), and ultrasonic vibration cutting. These approaches effectively address challenges such as rapid tool wear, poor heat dissipation, and surface integrity.
Section 4 explores low-cost strategies, efficiency-enhancing methods, and quality improvements in titanium alloy processing, conducting an in-depth analysis of the interplay between cost, efficiency, and quality across various precision processing methods.

2. Titanium Alloys

Titanium alloys are classified into three types by allotropic phases: α-Ti, β-Ti, and α+β-Ti, as shown in Figure 2. The hexagonal close-packed (HCP) α-phase stabilizes at low temperatures, while the body-centered cubic (BCC) β-phase forms at high temperatures [37]. α+β-Ti alloys exhibit four microstructures: equiaxed, bimodal, Widmanstätten, and basket-weave, dictated by phase size, morphology, and distribution [38]. These structures dictate mechanical properties and applications. Alloying elements play critical roles: Al/Sn/Zr stabilize the α-phase, which in turn boosts the alloy’s strength and hardness. Meanwhile, Mo/W/Cr/Fe/Si/Cu stabilize the β-phase, thereby improving the alloy’s ductility and high-temperature performance. In addition, V/Nb serve as dual stabilizers [39].
α-Ti alloys include commercially pure titanium (CP Ti, >95% α-phase) and lightly alloyed variants with Al/Sn for strength improvement [40]. Interstitial elements like O enhance strength via solid solution strengthening [41]. These alloys offer corrosion resistance, low density, and formability, finding applications in chemical processing equipment, medical implants, and aerospace fuel pump impellers as shown in Figure 3 [42,43].
β-Ti alloys contain high β-stabilizers (Mo/V/Nb/Ta), forming metastable BCC structures. Heat treatment/processing optimize grain morphology for high strength/hardenability [43]. While slightly less corrosion-resistant than α-Ti [44], they excel in both aerospace, as shown in Figure 4, and high-performance components requiring strength-to-weight ratios [45].
α+β-Ti alloys contain both α and β phases, with microstructural variability dictated by composition and heat treatment [41]. Ti-6Al-4V, the most widely used α+β alloy, performs exceptionally well in aerospace and biomedical implants due to its biocompatibility and load-bearing capability.
Different thermo-mechanical processing conditions substantially affect the microstructures and mechanical properties of titanium alloys. The main thermodynamic parameters of thermo-mechanical processing include heating temperature, cooling rate, holding time, heating rate, and so on [47,48]. These parameters significantly alter material strength, ductility, and fracture toughness by regulating α/β phase ratios, grain size, and precipitate morphology [49]. For instance, annealing temperature serves as a crucial determinant. At elevated temperatures, enhanced β-phase stability promotes grain coarsening and may trigger α-phase precipitation or martensitic transformation, leading to microstructure refinement or hardening. Additionally, increasing temperature generally reduces strength and hardness while improving ductility [50].
In addition, normalizing temperature significantly affects the microstructure and mechanical properties of laser melting-deposited TC4 titanium alloy by regulating α/β phase morphology and distribution. Figure 5 reveals the microstructural evolution of laser melting-deposited TC4 alloy in as-deposited and normalized (810 °C, 870 °C, 930 °C, and 990 °C) conditions. The as-deposited state exhibits basketweave structure with elongated lath-like α-Ti and a small amount of β-Ti phases; 810 °C normalizing slightly coarsens α phases while maintaining uniformity; 870 °C treatment significantly increases the α aspect ratio; at 930 °C in the α+β dual-phase region, β precipitation truncates α into short rods; and 990 °C normalizing fully transforms α into equiaxed grains with network-like β phases. This study demonstrates that normalizing temperature optimizes α/β morphology, with 990 °C near β transus forming the optimal equiaxed α + network β structure. The optimal mechanical properties at 990 °C/2 h/air cooling (σb = 960 MPa, δ = 17%) exceed forging standards (σb ≥ 895 MPa, δ ≥ 10%) due to equiaxed α grains providing high plasticity, the network-like β phase hindering dislocation movement for strength enhancement, and combined strengthening from fine α grains and the residual β phase increasing hardness to 368 HV. Temperature achieves the synergistic optimization of strength and plasticity by controlling phase transformation kinetics and grain morphology.
The mechanical deformation factors, such as strain amount and strain rate, also significantly influence the microstructure and mechanical properties of titanium alloys [52,53,54]. Strain rate significantly affects the microstructure of HIPed Ti-6Al-4V alloy by influencing dynamic recrystallization. A low strain rate (0.01 s−1) promotes full dynamic recrystallization, forming uniform equiaxed β grains and refined β transformed structures for improved mechanical properties, while a high strain rate (≥0.1 s−1) dominates dynamic recovery, leading to elongated β grains with deformation bands and heterogeneous microstructure, reducing property uniformity [55]. Another study investigated the effects of a high strain rate, which revealed that high strain rates (>103/s) will transform the lamellar microstructure of HIP-processed Ti-6Al-4V into a basket-weave structure, increasing yield and ultimate strength but reducing ductility due to adiabatic shear band formation causing localized softening and fracture [56]. In addition, increasing strain rates significantly enhance the flow stress of Ti-6Al-4V, but responses vary with microstructure. The globular structure exhibits higher strength and ductility due to α/α interfaces facilitating plastic deformation, while the lamellar structure fails earlier because α/β interfaces hinder dislocation movement [57].
Furthermore, factors such as the holding time [58,59], processing route design [60], and initial material state [61,62] also significantly influence the properties of titanium alloys. Thus, the thermo-mechanical processing of titanium alloys constitutes a complex process involving multi-factor coupling effects. A fundamental understanding of these material characteristics is essential for going deeply into advanced processing technologies for titanium alloys.

3. Advanced Cutting Methods

Titanium alloys are extensively utilized in the aerospace and medical fields, yet they are recognized as challenging materials to machine. This section primarily introduces advanced cutting methods for titanium alloys, encompassing innovated tool design, high-efficient coolant, and ultrasonic vibration cutting.

3.1. Innovated Tool Design

The characteristics of titanium alloys, such as their low deformation coefficient and poor thermal conductivity, lead to rapid tool wear during machining and can adversely affect surface integrity. To achieve better machining effects, we can focus on tool shape, tool texture, and tool coatings to develop advanced cutting tools that offer improved cutting performance.

3.1.1. Tool Matrix Material

Common tool materials for machining titanium alloys include high-speed steel (HSS), cemented carbide, ceramics, cubic boron nitride (CBN), and diamond. Among these, HSS exhibits the highest toughness, while diamond possesses the highest hardness [63]. Over the years, matrix materials for titanium alloy cutting tools have evolved from traditional high-speed steel to a diverse application landscape dominated by cemented carbide, with other materials playing supplementary roles [64].
Cemented carbide is a multiphase solid material composed of refractory metal carbides (WC, TiC, etc.) as the hard phase, bonded with transition metals (Co, Ni, etc.) as the binder, and fabricated through the powder metallurgy method [65,66]. In tungsten carbide-based composites, when the grain size of WC in cemented carbides falls below 0.2 µm, they are classified as nano-cemented carbides [67]. As the WC grain size is smaller, the mean free path of the Co binder phase decreases, leading to increased contact with WC carbides [68,69]. Thus, cemented carbides achieve higher hardness. Zhao et al. [70] found that smaller grain sizes enhance hardness and wear resistance but may increase residual stress during grinding, accelerating crack propagation. Although nanostructured tungsten carbide tools have not yet been widely implemented in titanium alloy machining, the application of nanostructured coatings offers significant insights for advancing tool material design. Kumar et al. [71] pointed out that nanostructured Ti1−xNbxN (TNN) coatings enhance the hardness and wear resistance of WC tools, leading to reduced cutting forces, surface roughness, and tool wear during EN24 alloy steel machining under optimized parameters. Liu et al. [72] found that the raw powder particle size distribution and the presence of hard agglomerates significantly affect the microstructure and mechanical properties of cemented carbides. Tools fabricated from uniformly distributed powders exhibit optimal performance and longer cutting life for TC4 titanium alloy machining.
Cemented carbide was initially developed as a simple WC-Co binary system. Nowadays, multiple alloying elements, such as VC [73,74], Mo2C [75,76], and NbC [77,78], have been incorporated to enhance its performance so that it could meet the increasingly stringent requirements for integrated properties under diverse operating conditions [79].
Advancements in HSS tools are primarily focused on coating treatments. For example, depositing carbon nanotubes (CNTs) on the surface of HSS tools can significantly reduce cutting temperature and cutting force by taking advantage of the excellent mechanical and thermal properties of CNTs [80]. Moreover, applying TiN and TiAlN coatings on HSS tools can improve the hardness and performance of the tools [81].
CBN materials have achieved significant breakthroughs in binder optimization, grain size control, and multi-layer structural design. Sun et al. [82] analyzed the sound velocities, elasticity, and thermal properties of cBN-AlN composites under high pressure using ultrasonic techniques, revealing that their elastic moduli are comparable to pure cBN, with minimal impact on thermal conductivity and coefficient of thermal expansion. Xiao et al. [83] found that PcBN composites with 1 µm cBN particles and Al-Co-TiN binder exhibit optimal mechanical properties (relative density 99.1%, flexural strength 607 MPa, and hardness 47.06 GPa), surpassing other particle sizes. Rumiantseva et al. [84] developed the wo-layer whisker-reinforced PcBN materials (BTZ+SiCw/BTZ+Al2O3w), achieving the longest tool life of 13 min during Inconel 718 turning, outperforming single-layer composites. Finally, Nayeri et al. [85] first demonstrated the feasibility of dry hard turning using nano-CBN tools, leveraging nanotechnology to achieve superior wear resistance and thermal stability, overcoming traditional CBN tool reliance on lubrication.
In diamond crystals, each carbon atom forms tetrahedral covalent bonds with four adjacent carbon atoms, creating the densest atomic packing configuration observed in natural materials [86]. This unique lattice structure endows diamond with unparalleled mechanical hardness, making it the hardest naturally occurring substance [87]. Owing to these exceptional properties, diamond serves as a critical material in ultra-precision machining technologies. Diamond tools can typically be categorized into three types: natural diamond tools, synthetic diamond tools, and polycrystalline diamond (PCD) tools. A study compared wear behaviors of PCD and diamond-coated tools during low-frequency vibration-assisted drilling of CFRP/Ti stacks. PCD tools fail due to edge fracture, while diamond-coated tools experience coating peeling with less Ti adhesion. Diamond-coated tools exhibit better performance in cutting forces, hole quality, and tool life [88]. Some researchers compared the performance of PCD tools and coated carbide tools in square shoulder milling of titanium alloy Ti-54M. Fine-grained PCD (<1 µm) significantly extends tool life by suppressing mechanical fracture, with wear mechanisms dominated by workpiece adhesion and grain pull-out. Coarser-grained PCD is prone to edge fracture [89]. One research study investigated the wear behavior of PCD tools during the milling of WC-Co. Larger PCD grain sizes enhance wear resistance, while excessive cobalt content or coarse WC grains in the workpiece increase tool wear and degrade surface quality. Dominant wear mechanisms include adhesive, abrasive, phase transformation, and oxidative wear, with the spalling of the adhesive layer being critical for tool failure [90].

3.1.2. Tool Shape

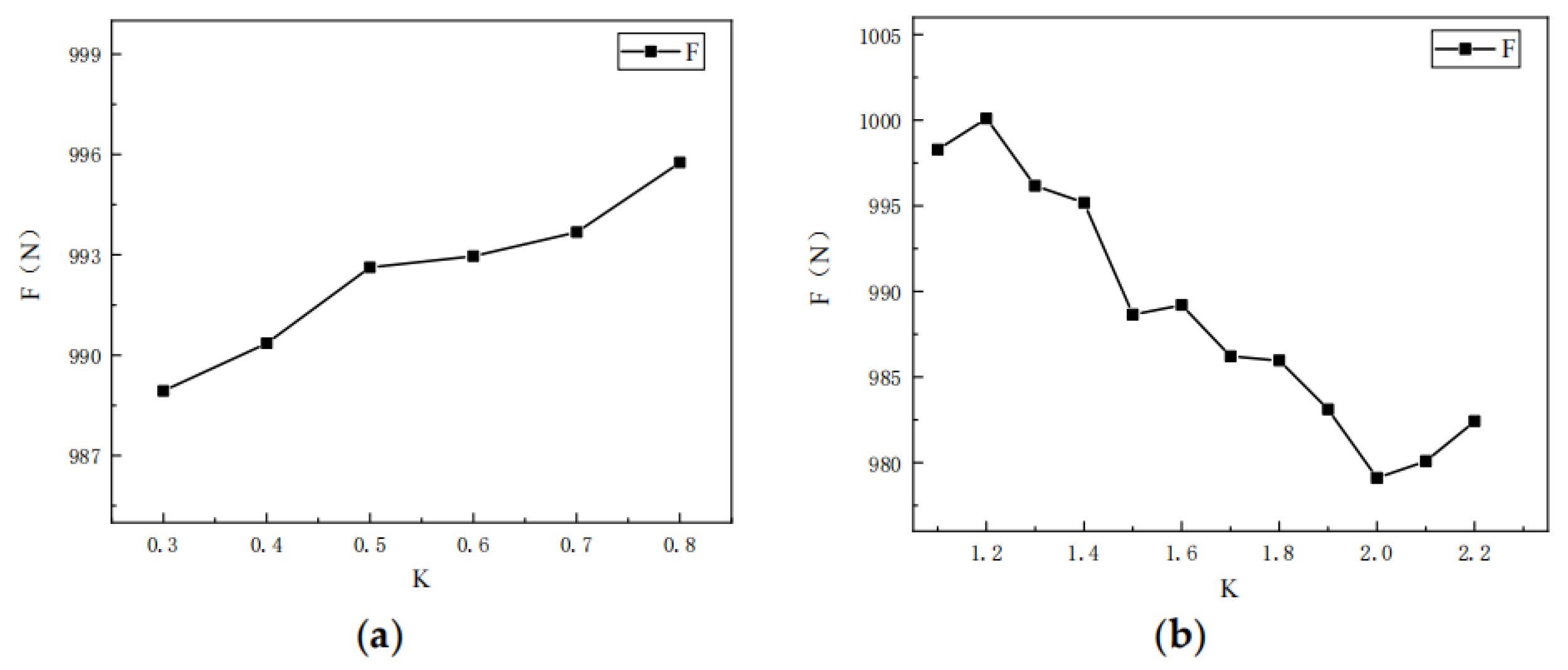
Denkena [91] introduced the K-factor method to characterize cutting edge geometry using five parameters, as shown in Figure 6. Sγ and Sα represent the distances from the hypothetical cutting tip to the separation points on the rake and flank surfaces, respectively. The shape factor K = Sγ/Sα defines edge profiles: symmetrical (K = 1), waterfall-type (K < 1, inclined toward flank), or trumpet-type (K > 1, inclined toward rake). Figure 7 shows cutting force F increases with K < 1, and decreases then increases for 1 < K < 2.3, reaching a minimum at K = 2.
Shokrani and Newman [93] explored how variations in tool rake and primary clearance angles influence surface quality and tool longevity. The study highlights the importance of considering geometrical configurations of cutting tools within low-temperature machining environments to enhance machining performance. Tran et al. [94] designed a two-dimensional wave booster ultrasonic cutting tool for small-sized surface finishing operations. The tool incorporates specific geometries, such as a booster with different profiles and diagonal slits, to enhance cutting performance. The design aims to address the challenges of machining in narrow cavities and improve surface quality. Cheng Y. N. et al. [95] discussed the design, optimization, and testing of a ball end milling tool for side milling titanium alloy blisks. It establishes mathematical models for the tool, optimizes geometric angles and cutting parameters, and verifies improvements through experiments.

3.1.3. Tool Texture

Mechanical machining is a subtractive manufacturing procedure that produces a large amount of heat energy while shaping, sizing, and refining workpieces. An effective heat dissipation strategy is to adjust the tool’s geometric configuration, especially through micro-texturing, a concept derived from biomimetic tribology. This refers to applying patterns such as micro-dimples and micro-grooves to the tool surface [96]. Common texturing patterns include circular, square, triangular, and hexagonal shapes, as shown in Figure 8.
Among these, circular dimples are favored for their simplicity and cost-effectiveness [98]. The texture can enhance tool performance by minimizing friction at the chip–tool interface, aiding in the management of metal residues, and improving heat dissipation [99]. Parida A. K. et al. [100] analyzed the performance of micro-dimple-textured tools in turning Ti-6Al-4V alloy, comparing them with flat tools. Using finite element method (FEM) simulations and experimental validation, the research finds that textured tools significantly reduce cutting forces, surface roughness, and tool wear, while improving chip flow and reducing contact length. The results show a 16–30% decrease in cutting forces, a 32% enhancement in surface finish, and a 21% reduction in temperature distribution compared to flat tools.
Figure 9a shows the energy-dispersive spectroscopy (EDS) mapping of TiN-coated tools on textured and flat tools. Its purpose is to verify the coating condition of the textured tool and compare the chemical composition differences between the two types of tools. The TiN coating is employed in the textured tool by physical vapor deposition (PVD) technology, and it is detected by EDS mapping. The results show that no changes in chemical composition are observed on the flat tool and the textured tool, which means that the texturing treatment and the coating process do not change the chemical composition of the tool substrate, ensuring that the differences in tool performance in subsequent studies are mainly caused by the different surface texture structures rather than differences in chemical composition.
Figure 9b presents the simulated cutting forces and damage values of the flat tool and the textured tool at a cutting speed of 100 m/min. The horizontal axis represents time, and the vertical axis represents the cutting force (unit: N). Compared with the flat tool, the cutting force (Fz) of the textured tool shows a 16% reduction, and the reductions in the feed force (Fx) and the radial force (Fy) are also significant. At the same time, the damage value of the flat tool is 1730, and that of the textured tool is 1110. The reduction in the damage value of the textured tool means that it is subjected to less stress throughout the cutting operation.
Figure 10 shows the evaluation of surface quality of components machined with flat and textured tools, including the comparison of surface roughness values and the optical images of the machined surfaces. Figure 10a presents the evaluation of the surface roughness (Ra) at different cutting speeds. The results demonstrate that the surface roughness of the textured tool is reduced by 30%, 4%, 10%, and 18%, respectively, at various cutting speeds, indicating that the texture can significantly improve the surface quality. Figure 10b–d are the optical images of the machined surfaces by the two tools. The surface machined with the untextured tool exhibits prominent feed marks, evident from visual inspection, while the surface machined by the textured tool is smoother with almost no feed marks, further verifying the advantage of the textured tool.
Fouathiya A. et al. [101] employed a femtosecond laser to fabricate micro-scale patterns with different geometries and sizes on the rake face of cutting tools to investigate their impacts on tool performance and lifespan. The cross-textured tool (CTT) could significantly reduce cutting forces and friction coefficients, and improve lubricity and tool life. Zheng kairui et al. [102] used YG8 tools to conduct cutting experiments on Ti-6Al-4V under various cutting speeds and depths. It evaluated the effects of linear, rhombic, and sinusoidal rake face textures on cutting performance during machining. The results showed that textured tools could reduce cutting forces and tool wear, and the sinusoidal textured tool exhibited an optimal cutting performance. Li Qiang et al. [103] carried out milling experiments on titanium alloy by machining micro-pit textures on the rake face of carbide ball-end milling cutters. It comparatively assessed the cutting performance of micro-textured and common milling cutters with regard to cutting force, temperature, surface quality, etc., and used the fuzzy analytic hierarchy process for comprehensive evaluation. It was shown that the micro-textured milling cutter had better performance, with a comprehensive evaluation value of 0.62, whereas the conventional milling cutter exhibited a value of 0.38.
The mechanisms by which the textured tool reduces roughness are as follows: On the one hand, the micro-dimple structure reduces the contact area between the tool and the chip, decreasing friction. This allows the chip to form and be ejected more smoothly, reducing scratches and damage on the machined surface, which in turn lowers surface roughness. On the other hand, the textured tool generates relatively thinner chips. When leaving the machined surface, they cause less pulling and interference, which helps enhance surface quality and reduce surface roughness.
As for the mechanism for reducing cutting force, the micro-dimples on the tool surface create air gaps, reducing the actual contact area at the tool–workpiece interface and thus decreasing the friction force, which in turn reduces the cutting force. In addition, the micro-dimples change the flow direction of the chip, making the chip tend to flow towards the un-machined area. This flow pattern reduces the friction and extrusion between the chip and the tool’s rake face, making the cutting process smoother and effectively reducing the cutting force.

3.1.4. Advanced Coatings

Advanced coatings are of great significance in titanium alloy cutting, offering significant improvements in various aspects. The wear resistance of cutting tools could often be enhanced throughout the deposition of coatings. Furthermore, by isolating the tool substrate from the workpiece, these coatings exhibit distinct friction behaviors compared to uncoated tools. PVD and chemical vapor deposition (CVD) are the two most common coating techniques, widely used to improve tool performance [104]. Advanced coated electrodes, such as those with AlCrN, TiN, and carbon coatings on WC electrodes, demonstrated substantial improvements in key quality indicators, including the depth of cut (Z), tool wear rate (TWR), overcut (OVC), and post-machining surface quality [105]. In general, tools with hard coatings are characterized by remarkable wear resistance, whereas those with soft coatings are distinguished by a low friction coefficient. Tools featuring hard/soft composite coatings are likely to combine these two favorable characteristics.
The TiCN coatings have a high hardness, typically ranging from 2300 to 3800 HV [106]. Thus, they exhibit excellent wear resistance. The wear of TiCN-coated drills remains lower than that of TiN-coated drills, even when the number of holes drilled is twice as many [107]. Raja Abdullah et al. [108] compared the tool wear of PVD (TiAlN/AlCrN)- and CVD (TiCN/Al2O3)-coated tools during the milling of Ti-6Al-4V titanium alloy. PVD-coated tools exhibit significantly lower wear than CVD-coated tools. The depth of cut is the primary factor affecting tool life, followed by cutting speed and feed rate. PVD coatings offer a longer tool life under dry conditions, due to reduced friction and improved thermal resistance. Chen et al. [109] investigated the mechanical properties of (Ti, Al)N monolayer and TiN/(Ti, Al)N multilayer coatings. Multilayer coatings deposited by magnetron sputtering exhibit finer columnar grains, higher hardness (33.7 GPa), and improved ductility compared to monolayer coatings. The superior performance of multilayer coatings is attributed to interface strengthening and grain refinement. A study [110] compared the performance of four cutting inserts (cemented carbide, TiN, TiAlN, and PCD-coated) in the dry machining of Al 2024 alloy. TiN-coated inserts achieved the lowest surface roughness (17% better than uncoated, 37% better than TiAlN, and 42% better than PCD). Despite PCD’s high hardness, its poor adhesion led to severe tool wear and surface defects. Another study [111] investigated the performance of cBN-coated WC/Co micro-end mills in the micro-milling Ti-6Al-4V titanium alloy. Experiments and finite element simulations revealed that cBN coatings reduce tool wear by up to 58% compared to uncoated tools. The improved performance is attributed to cBN’s high thermal conductivity (100 W/m·K), which lowers tool–chip interface temperatures by about 100 °C, reducing wear.
Advanced coatings can lead to the enhancement of tool life and surface quality. A study [112] compared uncoated, TiAlN single-coated, and TiAlN+AlCrN multi-coated tools for the dry turning of Ti6Al4V, showing that multi-coated tools extend tool life by 15% and reduce surface roughness by 30–45% through suppressed titanium adhesion and improved heat dissipation, leading to stable chip morphology. Fan et al. [113] investigated the wear mechanisms of TiAlN-coated tools during the milling of Ti-6Al-4V alloy, revealing that synergistic diffusion and adhesion wear dominate tool failure. The coating extends tool life by inhibiting element diffusion and oxidation, while improving surface quality and chip morphology. Another research study [114] compared three AlCrN-coated tools for the high-speed end milling of Ti-6Al-4V, finding that moderate-stress coating extends tool life by 1.5 times through improved resistance to plastic deformation and stable edge geometry, resulting in reduced cutting force fluctuations and dominant chipping wear. A study by Alexey Vereschaka [115] analyzed tool life in titanium alloy milling using end mills with multilayer composite nanostructured coatings (Ti-TiN-(Ti,Cr,Al)N and Zr-ZrN-(Zr,Al,Si)N), alongside uncoated carbide inserts and commercial TiN/ZrN-coated tools. The results showed that the use of end mills with multilayer composite nanostructured coatings can significantly increase tool life, particularly the Zr-ZrN-(Zr,Al,Si)N coating, which increased tool life by 4–4.5 times compared to uncoated tools. These coatings not only enhance the hardness and thermal stability of the tools but also reduce brittle fracture and chipping, promoting a uniform and predictable wear pattern. Furthermore, TiAlN/WS self-lubricating coatings developed via layer-by-layer deposition of low-COF WS and high-wear-resistant TiAlN showed superior properties: 135.4 N adhesive strength, 0.261 COF, and 14 GPa stable hardness [116].
As shown in Figure 11a, diffraction peaks at 37.5°, 43.5°, and 63.5° are observed in all the coatings, corresponding to the (111), (200), and (220) crystal planes of the fcc NaCl TiAlN phase, respectively. No notable discrepancies appear at the intensity and position of the diffraction peaks. At the same time, an amorphous peak at 40° originates from the amorphous WS, indicating that the WS layer and the bilayer thickness have no significant effect on the phase formation.
As shown in Figure 11b, all four coatings exhibit comparable hardness values, measuring around 14.25 GPa. The adhesion of the TiAlN/WS coating is significantly improved compared with that of the TiAlN coating, with the highest increase of 78.23%. The coefficient of friction is significantly decreased. The coefficient of friction of the 120 nm coating decreases from 1.507 of the TiAlN coating to 0.261, a decrease of 82.7%. The changes in these properties indicate that the TiAlN/WS composite coating prepared by multilayer growth achieves a good combination of high adhesion and a low friction coefficient without reducing hardness.
Figure 11c shows that the friction force increases linearly as the load increases. A significant change occurs in the linear relationship at the critical load (135.4 N for the 120 nm coating, 124.3 N for the 165 nm coating, and 120.1 N for the 240 nm coating), and the coating peels off the cemented carbide substrate at the critical load. Under identical loading conditions, the friction force decreases as the bilayer thickness reduces. By comparing the friction curves of coatings with different bilayer thicknesses, it is evident that under the same load, a smaller bilayer thickness is not only beneficial for suppressing crack propagation but also capable of reducing the friction force. This further demonstrates the positive impact of a smaller bilayer thickness on the friction performance of the coating, and also establishes a foundation for the application of the coating under different working conditions. It indicates that in practical applications, an appropriate bilayer thickness of the coating can be chosen based on the specific load conditions to optimize the friction performance and service life of the coating.

3.2. High-Efficiency Coolant

In modern manufacturing, in order to enhance production efficiency, it is necessary to increase cutting speeds, feed rates, and cutting depths. However, these operating parameters can lead to substantial heat generation in the cutting zone, which has an adverse effect on tool life, product accuracy, and surface integrity. To address these challenges, cutting fluids have become a key component of the machining process. The current cooling technologies are shown in Figure 12.
This section will introduce high-efficiency coolant technologies for titanium alloys, which include high-pressure coolant (HPC), minimum quantity lubrication (MQL), cryogenic cooling, and hybrid cooling.

3.2.1. High-Pressure Coolant

HPC enhances the cutting fluid’s penetrating force with high-pressure jets. Unlike traditional flood cooling, where high cutting temperatures can vaporize the fluid and create a vapor barrier that hinders effective cooling, HPC breaks this barrier, allowing the coolant to reach closer to the cutting zone. This improves heat transfer between the cutting fluid, tool, chip, and workpiece, providing excellent lubrication and cooling at the chip–tool and workpiece–tool interfaces [117,118].
Emmanuel O. Ezugwu [119] investigated the influence of conventional and high-pressure coolant supplies on the surface integrity of Ti-6Al-4V alloy machined with PCD tools. High-pressure coolant supply was found to effectively extend tool life, as demonstrated by the experimental results. Additionally, surface roughness values under all the tested cutting conditions were significantly lower than the tool rejection criterion (1.6 μm). The main damages to the machined surfaces are micro-pits and re-deposited workpiece materials. A micro-hardness analysis revealed that the top layer of the machined surface is hardened during conventional cooling, while softening occurs in the subsurface layer during high-pressure cooling, which is likely due to the lower heat generated during high-pressure cooling, resulting in a tempering effect on the tool. Under both conventional and high-pressure coolant supplies, there is minimal or no plastic deformation in the microstructure beneath the machined surface. The research indicated that high-pressure coolant supply can ensure surface quality and improve the micro-hardness characteristics of the machined surface when machining Ti-6Al-4V alloy.
HPC can help mitigate the rapid temperature rise during titanium alloy machining. For example, in the study by Masek, Maly, and Zeman [120], PCD cutting tool material in combination with HPC was used in turning titanium alloy. The study revealed that HPC on the rake face is necessary, with flank-face HPC further reducing tool wear. Research on HPC in high-speed ultrasonic vibration cutting (HUVC) of titanium alloy [121] showed that at 400 m/min, HUVC with 200-bar HPC achieved 7.3× tool life compared to conventional cutting (CC). HPC also significantly improved surface quality during successive HUVC.
HPC also help reduce cutting forces by up to 45% at speeds of 200–400 m/min, due to improved lubrication at the tool–chip interface. However, at speeds exceeding 500 m/min, transient impact forces dominate tool failure despite HPC, leading to micro-chipping [121]. Mao et al. [122] emphasized the critical role of nozzle design, showing that coolant directed at the flank face via CFD-optimized channels effectively penetrated the cutting zone, reducing thermal cracks and adhesion. Ezugwu et al. [123] highlighted that ester-based coolants performed poorly due to oxidation-induced sludge formation, while dicyclohexylamine-based coolants maintained stability even at 20.3 MPa. These studies collectively demonstrate that HPC is indispensable for the high-speed machining of Ti-6Al-4V, balancing thermal management and tribological performance.
Figure 13a shows that the tool vibrates along the feed direction, and the HPC is applied through a high-pressure nozzle. A Cartesian coordinate system is defined on the workpiece to characterize the instantaneous spatial coordinates of point “P” along the tool’s cutting edge during the machining process. Figure 13b shows the influence of HPC jet on the contact states between the tool, workpiece, and chip during the cutting and non-cutting periods of the tool, as well as the situation of the coolant entering the cutting area in different periods.
Based on the analysis of Figure 14, in high-speed machining, HUVC combined with HPC shows obvious advantages compared with CC and is more suitable for high-speed machining. In Figure 14a, the tool wear rate of HUVC is lower than that of CC, and the tool life of HUVC is 1.5 times that of CC. After applying HPC, the tool life of CC is only doubled, while that of HUVC is significantly increased. From Figure 14b, as the cutting speed increases, under the conventional cooling condition, the tool life of HUVC is extended to a certain extent compared with CC in the range of 200–300 m/min, but the advantage is not obvious at 400 m/min. After applying HPC, the benefit of HUVC in prolonging tool life is significantly enhanced in the range of 200–400 m/min. However, at 500 m/min, even with 200 bar of HPC applied, the advantage of the tool life of HUVC compared with CC almost disappears. Overall, in the 200–400 m/min high-speed regime, HUVC has an obvious advantage in tool life under HPC cooling.
From the articles, the mechanism of HPC mainly includes the following aspects. By increasing the speed of the cooling medium, the Reynolds number is increased and the convective heat transfer coefficient is enhanced, consequently decreasing the cutting temperature, especially in HUVC. In addition, it reduces tool wear by forming a hydraulic wedge between the tool, chip, and workpiece, suppressing adhesive and oxidative wear. In addition, it also improves the surface quality of the processed parts by reducing the cutting temperature and tool wear, it controls the increase of surface roughness, and the effect is more obvious in HUVC. Lastly, it affects the chip morphology and chip removal, making the chips more likely to break and be discharged in a timely manner, thus enhancing the processing stability and efficiency.

3.2.2. Minimum Quantity Lubrication

MQL has emerged as a crucial topic in the pursuit of improving machining interfaces. This technique offers an eco-friendly substitute for conventional flood cooling methods by precisely delivering a minimal amount of lubricant directly to the cutting zone. MQL uses minimal coolant and lubricant, and is thus known as minimum quantity lubrication (MQL). Emphasizing the cooling function, this technique is termed minimum quantity cooling lubrication (MQCL) or small quantity cooling lubrication (SQCL) [124].
Several other studies have also explored the efficacy of MQL in different machining scenarios. For instance, Sharma et al. [125] conducted a comprehensive review on MQL for machining processes. They highlighted that MQL enhances the lubrication effect at the tool–workpiece interface with a minimal amount of lubricant, reducing friction and wear. This, in turn, leads to better surface finish and extended tool life. Sun J. et al. [126] investigated the influence of different coolant supply methods and cutting conditions on the tool life in the end milling of titanium alloys. Three cooling methods, namely dry cutting, flood cooling, and MQL, were studied and compared. The experimental results showed that MQL machining can significantly extend the tool life and reduce the cutting force. Under all cutting speeds, feed rates, and radial depths of cut, MQL can achieve the longest tool life and the largest material removal. The increase in cutting speed, feed rate, and radial depth of cut accelerates tool wear. Flood cooling has a poor cooling effect at high cutting speeds, high feed rates, and large depths of cut, while MQL shows good potential under these high machining conditions. In addition, MQL has the best lubrication effect. Particularly when the feed rate exceeds 0.08 mm/tooth, it significantly reduces both tangential and radial cutting forces.
Yuan S.M. [127] explored the impact of different cooling strategies and cooling air temperatures on the milling performance of Ti-6Al-4V alloy. Through experiments comparing dry cutting, wet cutting, MQL, and MQL with cooling air at different temperatures, it is found that the combination of MQL and −15 °C cooling air can reduce cutting force, tool wear, and surface roughness, and also affect chip morphology, providing a reference for the selection of cooling strategies in titanium alloy processing. Figure 15a shows the schematic view of the experimental setup. Figure 15b is a photographic view of the experimental setup. The core part in the figure is a vertical machining center, which is the main device for milling the titanium alloy. A workpiece is placed on the workbench of the machining center to fix and support the Ti-6Al-4V alloy block to be processed. A three-component dynamometer is installed beside it to measure the cutting forces generated during the cutting process in real time. A charge amplifier is connected to the dynamometer to amplify the signals output by the dynamometer for subsequent accurate acquisition and analysis. An 8-channel data recorder is used to record various data during the experiment. In addition, the nozzles of the MQL system can be seen, which spray atomized oil and cooling air onto the cutting zone to achieve lubrication and cooling effects.
Figure 16a shows the change in tool flank wear with cutting time under different cutting environments. The tool undergoes rapid wear and thus has a notably short life in dry cutting. MQL and wet cutting have poor effects on reducing wear. The combination of MQL and cooling air (except for 0 °C) can reduce wear, and the combination of MQL and −15 °C cooling air results in the longest tool life, indicating that a low temperature helps to extend tool life. Figure 16b compares the surface roughness of Ti-6Al-4V alloy during machining under different cutting environments. The surface is roughest in dry cutting, and the surface quality is also poor in wet cutting, conventional MQL, and MQL combined with 0 °C cooling air. Combining MQL with −15 °C and −30 °C cooling air can reduce surface roughness and improve surface quality.
Figure 17a shows the SEM images of the tool after 8 min milling. Flaking occurs on the tool flank in dry cutting, wet cutting, MQL (17 °C), and MQL with 0 °C cooling air. MQL with −15 °C, −30 °C, and −45 °C cooling air reduces wear; −30 °C and −45 °C have micro-chipping, while −15 °C shows smooth wear. Figure 17b presents the chip morphology after 8 min milling MQL combined with cooling air produces short chips as the cooling air increases chip brittleness. In dry cutting, high cutting temperature makes chip formation easier. Thus, the cooling method combining MQL with cooling air can reduce cutting force, tool wear, and surface roughness compared with dry cutting, wet cutting, and conventional MQL.

3.2.3. Cryogenic Cooling

Cryogenic cooling has emerged as a significant technique for enhancing the machining interface. Figure 18 presents a timeline of the evolution of cryogenic machining for hard-to-machine alloys, including titanium alloys.
Sartori et al. [129] investigated the effectiveness of cryogenic cooling with liquid nitrogen (LN2) in semi-finishing turning of Ti6Al4V alloys produced by different AM techniques compared to dry cutting. The findings revealed that cratering occurred in dry turning, with the deepest crater forming during machining of the DMLS alloy. Cryogenic cooling significantly reduced the cutting temperature, inhibiting diffusive wear responsible for crater formation. The crater wear was reduced by 58% in the DMLS sample, and the abrasive and flank wears were also decreased, especially in the as-built and heat-treated DMLS samples.
Hong et al. [130] found that applying liquid nitrogen (LN2) to both the tool flank and rake faces during Ti-6Al-4V machining significantly reduced cutting temperature. Cryogenic cooling’s advantage over conventional emulsion cooling enhances with increasing depth of cut and feed rate [131,132]. Busch et al. [133] evaluated the performance of various cryogenic coolants during Ti6Al4V alloy machining and found that CO2 resulted in lower tool wear and cutting forces. These studies further emphasize the potential of cryogenic cooling in improving machining interfaces across various materials and machining processes.
The application of cryogenic cooling offers substantial advantages for interface improvement [129]. It effectively reduces cutting temperature, tool wear, and surface roughness while enhancing chip formation and energy efficiency. By precisely controlling the temperature at the tool–workpiece interface, cryogenic cooling provides a promising solution for optimizing machining processes, particularly for difficult-to-machine materials.

3.2.4. Hybrid Cooling

Hybrid cooling technology is a technique that comprehensively applies multiple cooling methods or cooling media to achieve efficient cooling. Different cooling methods and cooling media have their respective advantages in terms of heat dissipation capacity, heat dissipation speed, adaptability, and fault tolerance under different working conditions. Hybrid cooling technology can give full play to the strengths of various cooling methods, improve the cooling rate, enhance the reliability of the system, and increase energy efficiency. Generally, hybrid cooling can significantly reduce tool wear [134], improve machining quality [135], and enhance productivity and sustainability [136].
Numerous hybrid cooling technologies exist for machining titanium alloys, depending on the difference of specific machining techniques. In the study by Khan et al. [137], they applied cryogenic-LN2, MQL, and hybrid cryogenic LN2-MQL in the turning of titanium Ti-3Al-2.5V/grade 9 alloy. Compared with dry machining, hybrid LN2-MQL substantially reduced tool flank and rake wear. Bagherzadeh et al. [136] investigated slot milling of Ti6Al4V alloy using MQL, CO2 spray cooling, and their combined application. Results showed that the hybrid cryogenic-MQL system enhanced titanium alloy machinability versus cryogenic-only spraying, attributed to synergistic lubrication and cooling effects. Grguraš et al. [138] studied the through-tool delivery of LCO2 + MQL in robotic drilling of Ti6Al4V. Findings showed that LCO2 strongly correlated with thrust force via material hardening, while MQL strongly correlated with torque.

3.3. Ultrasonic Vibration Cutting

Ultrasonic vibration cutting proves highly effective for titanium alloys due to multiple factors. As mentioned above, titanium alloys, known for their poor thermal conductivity, often cause heat accumulation during machining, leading to rapid tool wear and degraded workpiece quality. Ultrasonic vibrations introduce intermittent cutting, where the tool periodically separates from the workpiece. This reduces the tool–chip contact time, mitigating heat generation. For example, in the study of titanium alloy machining, ultrasonic vibrations were found to decrease the average cutting temperature, as heat dissipation occurs during the separation intervals. The vibrations also alter the chip formation mechanism. They induce micro-cracks and fractures in the chips, facilitating chip breaking. In titanium alloy cutting, continuous chips can cause tool clogging and increased cutting forces. The broken chips in ultrasonic vibration cutting are easily removed, reducing the risk of tool damage and improving cutting stability. Furthermore, ultrasonic vibrations enhance the cutting fluid’s effectiveness. The vibration-induced agitation promotes better fluid penetration to the cutting zone, improving lubrication and cooling. This is crucial for titanium alloys as it helps in reducing friction and tool wear. The combination of these effects results in improved surface finish, lowered tool wear, and improved machining efficiency when using ultrasonic vibration cutting for titanium alloys. Next, the principle of ultrasonic vibration cutting is explained from different cutting types.

3.3.1. Turning

Turning is a machining process where a rigid tool bit, as part of the tool, follows a helical path as the workpiece rotates. This process is specifically used for machining cylindrical components [139]. Ultrasonic vibration plays a crucial role in turning processes, and the ultrasonic-assisted turning (UAT) technique provides better machining performance compared to the conventional turning (CT) process [140,141]. Factors such as depth of cut, feed rate, and cutting speed are key determinants of the cutting forces in the UAT process [140,142,143], and UAT often leads to lower cutting forces, improved surface roughness, and enhanced machining efficiency [141,144].
UAT combined with cryogenic cooling has shown significant improvements in reducing cutting forces (39–67%) and tool wear [145]. UAT achieves this by intermittent tool-workpiece separation, verified by empirical models linking cutting speed and vibration amplitude to force reduction [146]. Cryogenic integration further lowers tool temperatures by 13.86% and suppresses adhesive/diffusion wear through enhanced heat dissipation [147]. Multi-criteria decision analysis confirms UAT’s superiority in surface quality (Ra reduction up to 43%) and chatter stability compared to conventional and hot ultrasonic methods, though cryogenic hardening may slightly increase cutting forces [148]. CFD-FEM simulations reveal that cryogenic penetration into ultrasonic-generated gaps optimizes thermal management, while experimental validation demonstrates reduced chip serration and residual stress in UAT [149]. These findings highlight the potential of hybrid ultrasonic–cryogenic systems for sustainable, high-quality machining of titanium alloys, balancing efficiency and tool life through synergistic cooling and vibrational effects.
Lotfi, M. et al. [150] investigated the effects of 3D elliptical ultrasonic-assisted turning (3D-EUAT) on the surface integrity and microstructural changes of Ti-6Al-4V titanium alloy. Through experimental and FEM simulations, the study examines the impact of 3D elliptical vibrations on surface roughness, microstructural changes (grain size), microhardness, cutting forces, and tool–chip friction. The results show that the grain size generated by the 3D vibration method is smaller than that of CT, and the surface isotropy is better, achieved through the generation of semi-spherical micro-textures. Both experimental and simulation results indicate that 3D-EUAT has significant advantages in enhancing surface integrity and reducing cutting forces. Bachir, E. et al. [151] investigated the machining performance of UAT on Ti-6Al-4V titanium alloy through experimental and FEM simulations. The study examines the effects of UAT on cutting forces, tool wear, and surface roughness under different cutting parameters. The experimental results show that UAT significantly reduces cutting forces and surface roughness at low cutting speeds and small depths of cut, with maximum reductions of 42.5% and 61.4%, respectively. FEM simulations further verify the separation phenomenon between the tool and the workpiece during UAT, explaining the mechanisms by which UAT reduces cutting forces and tool wear.
Figure 19 illustrates different ultrasonic vibration modes. These vibration modes affect the cutting process through different geometries and directions, thereby improving the machining performance.
Figure 20 illustrates the variation in cutting forces between CT and 3D-EUAT. The figure compares the experimentally measured cutting forces, showing that 3D-EUAT is more effective in reducing cutting forces compared to CT. Specifically, 3D-EUAT reduces the tangential force (Ft), feed force (Ff), and radial force (Fr) by approximately 20–30%, 50–70%, and 55–65%, respectively. Compared to CT, lower cutting forces in 3D-EUAT lead to reduced tool–chip friction, with sticking friction decreasing by 3–6% and sliding friction by 12–30%.
Figure 21 shows the microstructure changes in the cross-section of Ti-6Al-4V titanium alloy after turning under different experimental conditions. The figure illustrates that the microstructure near the machined surface of the workpiece changes in both CT and 3D-EUAT. The depth of the deformed layer is approximately 10 μm, and this value is comparable in both CT and 3D-EUAT processes. However, the grain size is different. The 3D-EUAT process generates smaller grain sizes compared to CT, indicating that the 3D vibration approach refines the titanium surface.
Generally, ultrasonic vibrations enable intermittent tool–chip separation during the cutting process, reducing contact time and cutting forces. Additionally, it enhances the plastic deformation capability of the material, making it easier to cut and thereby reducing the cutting forces.

3.3.2. Milling

There are many challenges in milling titanium alloys. Due to their poor thermal conductivity, it is difficult to dissipate the cutting heat, which can cause a sharp increase in cutting temperature, accelerate tool wear, and even lead to thermal damage of the tool. In addition, the high chemical reactivity makes titanium alloys prone to chemical reactions with tool materials at high temperatures, resulting in adhesive wear. Moreover, the low elastic modulus of titanium alloys makes the workpiece susceptible to deformation during the machining process, affecting the machining accuracy. Ultrasonic-assisted milling can solve these problems to a certain extent.
Geng D. et al. [152] proposed an ultrasonic transversal vibration-assisted helical milling (UTVHM) method for machining Ti-6Al-4V alloy holes. The material removal and strengthening mechanisms are revealed through kinematic analysis. Experiments show that this method can reduce cutting forces, enhance surface quality, refine grains, and significantly enhance machining performance. Liu J. et al. [153] investigated the effects of rotary ultrasonic elliptical machining (RUEM) for side milling on the surface integrity of Ti-6Al-4V alloy and compares it with conventional machining (CM). The results show that RUEM can introduce residual compressive stress, promote plastic deformation and work hardening, but it will slightly increase the surface roughness. Qin et al. [154] analyzed tool–workpiece separation and surface generation in ultrasonic-assisted milling (UAM), establishing a 3D topography model and showing that elliptical ultrasonic vibration reduces surface roughness and produces uniform micro-textures on Ti-6Al-4V, with optimized parameters improving chip morphology and machining efficiency. Zhang M. et al. [155] firstly introduced HPC into high-speed rotary ultrasonic elliptical milling (HRUEM) for machining Ti-6Al-4V alloy, and the HRUEM process is shown in Figure 22. The separation cooling mechanism is analyzed. Experiments show that this combination can extend tool life, increase the material removal rate, lower the cutting temperature, and inhibit adhesive tool wear. Figure 22a shows the HRUEM process using a four-flute end mill, including the rotational motion of the tool, the feed motion of the worktable, and the applied ultrasonic elliptical vibration. It provides an intuitive view of the movement of the tool and the workpiece during machining and the formation process of the machined surface, offering a visual reference for understanding the machining principle of HRUEM. Figure 22b reveals the trajectories of the tool tips in HRUEM obtained using MATLAB software. The partially enlarged view shows that the trajectory is wavy, different from the standing arc in CM. Additionally, the intersection of adjacent tool tip trajectories creates conditions for separated cutting. This reflects the difference in tool motion trajectories between HRUEM and conventional milling, which is one of the key factors for achieving efficient machining.
Abootorabi Zarchi et al. [156] calculated the critical cutting speed in UAM and determined the tool–workpiece separation zones. Their experimental results showed that the cutting force in UAM is smaller than that in CM. With cutting speed in UAM increasing, tool–workpiece engagement enhances, causing cutting forces in UAM and CM to converge. However, increasing the vibration amplitude makes the UAM process more effective in reducing the cutting force. For example, at a vibration amplitude of 20 mm, the reduction rate of average cutting force in UAM compared to CM is 42% and 5% for 500 r/min and 1250 r/min, respectively. Lü et al. [157] investigated the effects of UAM on Ti-6Al-4V, finding that optimized parameters reduced milling force by up to 17.66% and surface roughness by 36.36% compared to CM, attributed to intermittent cutting and micro-impact mechanisms. Niu et al. [158] developed a 3D finite element model to analyze the longitudinal–torsional ultrasonic-assisted milling (LTUM) of Ti-6Al-4V, revealing that LTUM significantly reduces cutting force and temperature while increasing surface compressive stress, validated through experimental comparisons with conventional milling. Namlu et al. [159] combined UAM with MQL reduces cutting forces by 18–45% and surface roughness by 30.7% in Ti-6Al-4V milling, enhancing chip evacuation and reducing tool wear through synergistic cooling and vibrational effects.
Ko et al. [160] investigated the effect of one-directional ultrasonic vibration assistance in high-speed meso-scale milling. They found that ultrasonic vibration enhances the surface quality of machined components, especially at higher feed rates. Su and Li [161] also reported that in the milling of Ti6Al4V titanium alloy using a PCD tool, UAM can reduce surface roughness compared to CM under the cutting conditions of their study. In addition, they also studied the tool wear and surface adhesion in UAM of Ti6Al4V. They found that although chip adhesion still exists on the PCD tool surface under UAM, the tool shows good anti-wear performance with only slight wear of fragments on the flank face.

3.3.3. Drilling

The vibration amplitude in ultrasonic-assisted drilling (UAD) is a crucial factor influencing various drilling benefits, such as thrust force and torque reduction, burrs height reduction, and hole accuracy enhancement [162,163]. Moghaddas and Graff [164] found that different materials and drilling conditions require specific optimal amplitudes. In scenarios with different power supply amplitudes and feed rates, the amplitude reduction of the drill tip ranged from 7% to 19% compared to the no-load condition.
Iqbal et al. [165] investigated the between-the-holes cryogenic cooling technique in drilling Ti-6Al-4V and carbon fiber-reinforced polymer (CFRP). For CFRP drilling, this technique effectively reduces tool wear compared to continuous cryogenic cooling. The reason is that CFRP has poor thermal conductivity, and continuous cooling hardens the material, increasing tool wear, while between-the-holes cooling only cools the drill, maintaining its cutting ability. In contrast, for Ti-6Al-4V drilling, continuous cooling is more effective in controlling tool wear due to the alloy’s better heat conduction, which disperses the cooling effect and mitigates work hardening. Regarding hole quality, between-the-holes cooling improves the surface roughness of drilled holes in both materials by preventing complex work expansion–contraction patterns. Liu et al. [166] combined UAD with pecking drilling (UPD) to address delamination and tool wear in CFRP/Ti stacks. UPD reduced thrust force by 35.1% (CFRP) and 14.8% (Ti) at low feeds, minimized exit delamination by 6.37%, and improved surface roughness (Ra reduced by 40%). The intermittent chip removal and thermal management in UPD effectively enhanced hole quality and tool life, providing a novel strategy for laminated material machining. Additionally, Zhong et al. [167] optimized the kinematic and stiffness performance of an industrial robot for ultrasonic-assisted robotic drilling (UARD) of CFRP/Ti6Al4V stacks. UARD reduced CFRP entrance delamination by 15% and burr height by 45% compared to conventional robotic drilling (CRD), attributed to periodic tool separation and vibration suppression. Optimal parameters (1400 rpm spindle speed, 30 mm/min feed rate) minimized vibration displacement by 12.28%, demonstrating improved hole quality and process stability.
Li Z. et al. [168] introduced an 8-facet drill and combines the rotary ultrasonic-assisted drilling (RUAD) technology to study the drilling of Ti6Al4V under no cooling condition, as shown in Figure 23 and Figure 24. Experiments showed that RUAD can effectively lower cutting forces, temperature, and surface roughness, enhance machining quality and tool life, and the generated chips are easier to discharge.
Figure 25a demonstrates the effect of ultrasonic amplitude on micro-hole exit burr height. As the amplitude increases, the burr height reduces, though the decline remains marginal. Additionally, ultrasonic vibration improves the geometric accuracy of micro-hole exits. Figure 25b illustrates the spindle speed’s influence on burr height: rising speed significantly diminishes burr height, with ultrasonic assistance amplifying this reduction and enhancing exit roundness. Figure 25c highlights feed rate impacts: burr height increases with higher feed rates, yet ultrasonic-assisted high-speed drilling (UAHD) yields lower burr heights than conventional high-speed drilling (CHD), maintaining superior burr distribution and roundness even at elevated feed rates.
The article mainly established a theoretical model for the exit burr height in UAHD of titanium alloy micro-holes, analyzed the relationship between processing parameters and burr height, and studied the exit morphology of micro-holes. The results show that in micro-hole drilling, amplitude and spindle speed exhibit a negative correlation with burr height, whereas feed rate demonstrates a positive correlation. Compared with CHD, micro-holes processed by UAHD have higher shape accuracy.
Namlu R. H. et al. [170] investigated the influence of the combination of UAD and MQL on the drilling performance of NiTi shape memory alloys. Experiments compared the machining conditions of conventional drilling (CD) and UAD under different cooling conditions. It is found that UAD can reduce feed forces, decrease tool wear, and promote chip breakage, and the UAD–wet combination shows the best results. Aiming at the problems such as high thrust force in micro-hole drilling of titanium alloys, a thrust force model for ultrasonic-assisted axial vibration drilling is established [171]. Through finite element simulation and experimental comparison, the effects of different processing parameters on the thrust force and chip morphology are analyzed. It is found that ultrasonic assistance can reduce the thrust force and make the chips easier to break and discharge. In addition, finite element models are established using drills with different point angles to simulate the CD and UAD processes of Ti6Al4V [172]. The effects of feed rate, spindle speed, and vibration frequency on thrust force, temperature, effective stress, and chip morphology are analyzed. The accuracy of the model is verified, and it is concluded that UAD has advantages in many aspects.

3.3.4. Grinding

Chaudhari et al. [173] experimentally investigated the grinding effects in traditional dry grinding (TDG), traditional wet grinding (TWG), and ultrasonic vibration-assisted dry grinding (UVADG). The results showed that compared with TDG and TWG, the tangential and normal grinding forces in UVADG at an ultrasonic vibration amplitude of 10 µm were significantly reduced. Wu et al. [174] also found that applying ultrasonic vibration in the hybrid ultrasonic vibration/plasma oxidation assisted grinding (UPOAG) of Ti-6Al-4V alloy reduced the grinding forces. The reduction was more significant when combined with plasma oxidation, which resulted from the ultrasonic cavitation effect enhancing the plasma intensity and further reducing the hardness of the surface oxidized layer.
Zhang et al. [175] studied the ultrasonic vibration-assisted grinding (UAG) along the axial direction. They identified the critical speed in internal UAG: when workpiece feed speed was less than abrasive grit vibration speed, only the grit’s rake face and one side contacted the workpiece, facilitating heat dissipation. Zhao et al. [176] used the response surface methodology (RSM) to optimize the process parameters for surface roughness in the ultrasonic vibration cutting of 45 steel. They established a second-order response model and found that the spindle speed, cutting speed, and ultrasonic amplitude had significant effects on surface roughness.
Thus, ultrasonic vibration has significant advantages in grinding processes, including reducing grinding forces, improving surface roughness, increasing the material removal ratio, and reducing chip adhesion. The mechanism involves effects on plasma oxidation [174,177,178], abrasive grit kinematics [179], and grinding temperature [180]. Parameter optimization methods, such as determining the critical speed and using RSM, can further improve the grinding performance. These research findings provide valuable theoretical and practical guidance for the application of ultrasonic vibration in grinding.

4. Comprehensive Analysis of the Relationship Between Cost, Efficiency, and Quality

4.1. Low Cost

This part focuses on the exploration of low-cost approaches in titanium alloy processing. It comprehensively reviews and analyzes relevant research from multiple aspects, including alloy design, machining methods, tool wear reduction, and welding techniques. The aim is to identify strategies that can effectively reduce costs while maintaining or even enhancing the performance of titanium alloys.
The high cost of titanium alloys has long been a bottleneck restricting their wider application. To address this issue, researchers have proposed using cheaper alloying elements instead of expensive ones like vanadium or niobium. For instance, in the study of Akhonin et al. [181], the low-cost titanium alloy Ti–2.8Al–5.1Mo–4.9Fe was developed by incorporating elements such as iron and molybdenum. This alloy demonstrated promising mechanical properties and weldability. Notably, through TIG welding experiments, it was found that the tensile strength of the welded joints could reach up to 972 MPa, which is 90% of the base metal’s tensile strength, indicating the feasibility of this alloy design approach. Powder metallurgy offers a potential avenue for cost reduction. Yang et al. [182] successfully produced Ti-5Al-5V-5Mo-3Cr (Ti-5553) and Ti-5Fe alloys from HDH titanium powder and master alloy powders. The extruded and double-aged Ti-5553 alloy achieved a yield strength of 1435 MPa and an elongation of 8.5%, outperforming traditional ingot metallurgy alloys. This approach not only reduces material costs but also enables near-net-shape forming, minimizing waste and further contributing to cost savings.
During titanium alloy machining, traditional cutting fluids are costly and pose environmental challenges. MQL has emerged as a viable alternative. Lisowicz et al. [183] investigated different MQL supply strategies in turning Ti-6Al-4V alloy. Their findings revealed that MQL via tool holder was particularly effective, extending the tool life by 68% compared to dry cutting. This is attributed to the precise lubricant supply directly into the cutting zone, reducing friction and tool wear. Additionally, MQL helps lower cutting temperatures, improving surface quality and reducing the need for excessive coolant usage, thereby cutting down overall machining costs.
Selecting appropriate cutting tools is crucial for cost-effective machining. Grzesik et al. [184] studied the wear performance of AlTiN-coated cutting tools in machining Ti6Al4V alloy. By monitoring cutting forces and tool wear, they identified distinct wear periods and the influence of factors such as thermal softening and the formation of ceramic protective layers. Understanding these mechanisms enables better tool life prediction and optimization of tool replacement schedules. Choosing the right tool coating and geometry can significantly reduce tool wear rates and the frequency of tool changes, ultimately reducing machining costs.
Optimizing cutting parameters can also enhance machining efficiency and reduce costs. Dredge et al. [185] proposed a low-cost machinability assessment method using small-scale experiments. By analyzing chip formation, tool wear, and cutting forces in the machining of Ti-6Al-4V and TIMETAL 407 alloys, they determined optimal cutting conditions. For instance, for Ti-407 alloy, specific cutting speeds and feed rates were identified to minimize tool wear and cutting forces. This approach allows for the rapid screening of alloy compositions and heat treatment conditions, reducing the need for extensive and costly large-scale machining trials.
Akhonin et al. [181] explored TIG welding techniques for the low-cost titanium alloy Ti–2.8Al–5.1Mo–4.9Fe. This caused a slight reduction in the β-phase of the weld metal, increasing the tensile strength of welded joints to 972 MPa and achieving impact toughness exceeding the base metal. Although it did not achieve a perfectly homogeneous structure, it represents a cost-effective welding method with potential for further improvement through techniques.
In conclusion, the pursuit of low-cost strategies in titanium alloy processing involves a multi-faceted approach. From alloy design through element substitution and powder metallurgy, to machining methods such as MQL implementation, tool optimization, and parameter tuning, and extending to welding techniques with flux layer utilization, each aspect contributes to cost reduction while maintaining or enhancing performance.

4.2. High Efficiency

The following content comprehensively reviews and analyzes research on enhancing the machining efficiency of titanium alloys. It examines various approaches such as optimizing cutting parameters, adopting advanced cooling methods, developing novel tool materials and geometries, and applying hybrid machining techniques. The aim is to identify strategies that effectively improve machining efficiency while maintaining or improving the quality of the machined components.
Choosing suitable cutting speeds and feed rates is essential for maximizing material removal rates. Kaynak and Gharibi [186] investigated the machining performance of Ti-5553 alloy under different cutting parameters. They found that higher cutting speeds generally led to higher cutting temperatures, which in turn affected tool wear. For instance, at a depth of cut of 2 mm and cutting speeds above 120 m/min, the tool wear increased significantly. However, in some cases, a moderate increase in cutting speed within a certain range could enhance the material removal rate without excessive tool wear. Raising the feed rate also increased the main cutting force, but its impact on tool wear and cutting temperature was less significant compared to the cutting speed and depth of cut. The depth of cut plays a vital role in determining the machining efficiency and tool life. A deeper depth of cut can increase the material removal volume per pass but may also lead to higher cutting forces and tool wear. In the study of Ti-5553 alloy, as the depth of cut was raised from 0.8 mm to 2 mm, the main cutting force increased by approximately 147%. At higher depths of cut and cutting speeds, the tool wear was exacerbated, reducing the tool life. Therefore, an optimal depth of cut needs to be determined according to the specific material and tooling conditions to balance the material removal rate and tool durability.
Cryogenic cooling using liquid nitrogen or carbon dioxide has shown great potential in enhancing the machinability of titanium alloys. Shokrani and Newman [93] studied the cryogenic machining of Ti-6Al-4V alloy with micro-textured ball-end milling tools. They found that cryogenic cooling altered the material properties of both the workpiece and the tool, minimizing tool wear and enhancing surface quality. By optimizing the cutting tool geometry and using a 14° rake angle and a 10° primary clearance angle, combined with cryogenic cooling, the tool life could be significantly extended.
MQL is an effective cooling and lubrication technique that reduces the use of cutting fluids while maintaining good machining performance. As mentioned above, Iqbal et al. [165] investigated the between-the-holes cryogenic cooling technique in drilling Ti-6Al-4V and CFRP. In CFRP drilling, the between-the-holes cooling technique (which can be considered a form of MQL with cryogenic elements) effectively reduced tool wear compared to continuous cryogenic cooling. This is because CFRP has poor thermal conductivity, and continuous cooling hardens the material, increasing tool wear, while the between-the-holes cooling only cools the drill, maintaining its cutting ability. In Ti-6Al-4V drilling, continuous cooling is more effective in controlling tool wear because of the alloy’s better heat conduction, but MQL can still play a beneficial role in reducing friction and improving chip evacuation.
Hybrid machining techniques that combine different machining processes can leverage the advantages of each process to improve machining efficiency. For example, abrasive electro-discharge grinding (AEDG) combines the EDM and grinding processes. Sutowski and Święcik [187] investigated the AEDG process of Ti6Al4V titanium alloy using metal-bonded CBN grinding wheels. They found that the process could effectively remove material with higher productivity compared to conventional grinding. The interaction between the electrical discharges and mechanical cutting by the grinding wheel’s active grains improved the material removal efficiency. However, the surface quality obtained by AEDG may be slightly worse, requiring further optimization of process parameters to balance efficiency and quality.
Ultrasonic-assisted machining techniques, such as ultrasonic vibration milling and ultrasonic-assisted grinding, can reduce cutting forces, enhance surface quality, and extend tool life. Yang et al. [188] studied the temperature field of micro-textured ball-end milling tools in milling titanium alloy. They found that the application of ultrasonic vibration could help reduce friction and heat generation on the tool’s rake face by reducing the contact length between the tool and the workpiece. This led to a decrease in tool wear and an improvement in surface quality. Considering ultrasonic-assisted grinding of titanium alloys, the ultrasonic vibration could improve the chip removal ability, prevent chip clogging, and reduce the grinding force and grinding heat, thereby improving the grinding efficiency and workpiece quality.
Enhancing the machining efficiency of titanium alloys requires a comprehensive approach that considers optimizing cutting parameters, applying advanced cooling methods, developing novel tool materials and geometries, and employing hybrid machining techniques. By carefully selecting and integrating these strategies, manufacturers can achieve higher material removal rates, longer tool life, and better surface quality in machining titanium alloys, meeting the increasing demands of various industries, such as aerospace and medical.

4.3. High Quality

Ultrasonic-assisted machining enhances the surface integrity of titanium alloys by decreasing surface roughness, increasing surface hardness, and generating compressive residual stresses. Additionally, ultrasonic-assisted machining can also improve the machining accuracy of titanium alloys by reducing tool wear, improving chip removal, and reducing cutting forces.
As for the mechanisms of ultrasonic-assisted machining on titanium alloy processing quality, there are some reasonable explanations. Firstly, ultrasonic vibration can induce high-frequency micro-impacts on the cutting tool and workpiece, which can improve the cutting efficiency and surface quality. For example, Das [189] examined the two-dimensional ductile dimple geometry in Ti-6Al-4V alloy induced by varying ultrasonic vibration power during tensile testing, disclosing that changes in microstructural states gave rise to distinct dimple morphologies and corresponding mechanical responses. In addition, ultrasonic vibration can also generate heat at the cutting zone, which can soften the workpiece material and reduce the cutting forces. However, excessive heat can also cause thermal damage to the workpiece and tool. Therefore, the thermal effects of ultrasonic-assisted machining need to be carefully controlled. In addition, ultrasonic vibration can generate acoustic streaming in the cutting fluid, which can improve the cooling and lubrication effects and remove the chips more effectively. This can also improve the surface quality and tool life. Therefore, ultrasonic-assisted machining has shown great potential in improving the processing quality of titanium alloys.

4.4. Summary

These advanced cutting methods have significant impacts on the processing of titanium alloys, and these impacts can be both positive and negative.
Innovated tools have a significant impact on titanium alloy processing. The positive impacts include enhanced productivity and longer tool life due to optimized tool designs, reduced wear area and improved surface quality from tool textures, and improved machinability and longer tool life from tool coatings [93,165]. While innovated tools offer many advantages, they may also come with increased initial costs. For example, the development and implementation of novel tool designs, surface textures, and coatings often entail substantial investment in both research and development (R&D) and production setup costs. There may be a learning curve associated with using new tools. Operators may need time to familiarize themselves with the optimal usage and maintenance of innovated tools, which could temporarily affect production efficiency.
Coolant methods, including high-pressure coolant, MQL, cryogenic cooling, and hybrid cooling, can positively influence titanium alloy processing by enhancing machining efficiency, stability, and productivity. Regarding the aspect of increased machining efficiency, it is stated that high-pressure coolant can increase productivity through more efficient chip breaking and removing [190]. Also, MQL can enhance surface quality and tool life to some extent. Moreover, cryogenic cooling reduces cutting temperature, leading to improved surface quality and tool life. Additionally, hybrid cooling improves the machinability of titanium alloy due to its lubricating and cooling effects [136]. In terms of cost reduction and environmental benefits, it is mentioned that MQL is a more environmentally friendly approach compared to traditional flood cooling as it reduces the amount of cutting fluid used, thus lowering costs and environmental impact. Furthermore, hybrid cooling mitigates pollutants and reduces the incidence of respiratory and dermal diseases among production workers, thereby enhancing environmental protection and operator health and safety while minimizing material waste.
Of course, there are negative impacts; it is pointed out that there are costs associated with equipment and maintenance. Specifically, the use of high-pressure coolant may involve some costs associated with the equipment and maintenance. Also, cryogenic cooling may involve higher initial investment costs for the cryogenic equipment. Additionally, there is ineffectiveness at higher spindle speeds. That is, at higher spindle speeds, MQL may be inadequate, owing to its inadequate cooling capacity and diminished lubrication performance [191].
Ultrasonic vibration cutting has also shown significant impacts on the processing of titanium alloys. Here is a comprehensive summary of its positive and negative effects on cost, quality, and overall processing effect. Ultrasonic vibration cutting results in lower surface roughness, lower cutting fiction, and lower tool wear. In some cases, ultrasonic vibration cutting can also extend tool life.
However, implementing ultrasonic vibration cutting may require additional equipment and technology, which can increase the initial investment cost. The long-term benefits in terms of improved quality and reduced tool wear may offset this cost. In addition, the process of ultrasonic vibration cutting may be more complex than traditional cutting methods, requiring specialized knowledge and training for operators. This can increase labor costs and potentially lead to errors if not properly understood and implemented.
In summary, the relationship between cost, quality, and efficiency in titanium alloy processing is a complex and important topic. The machining of titanium alloy is associated with higher costs due to its difficult-to-machine nature. The cost of cutting tools, machining time, and energy consumption all contribute to the overall cost of titanium alloy processing. On the other hand, improving efficiency can help reduce costs. Maintaining high quality is crucial in titanium alloy processing. However, higher efficiency may sometimes compromise quality. For instance, increasing cutting speed may lead to increased surface roughness and reduced quality. On the other hand, using advanced machining techniques and optimizing cutting parameters can help achieve both high efficiency and good quality.
However, high quality often comes with higher costs. For example, using high-quality cutting tools and advanced machining processes can improve quality but also increase costs. In some cases, investing in quality can lead to long-term cost savings. For instance, using better cutting tools can increase tool life and reduce tool replacement costs. In conclusion, achieving a balance between cost, quality, and efficiency in titanium alloy processing is a complex task that requires the careful consideration of various factors. By optimizing cutting parameters, using advanced machining techniques, and selecting appropriate cutting tools, it is possible to improve efficiency, maintain high quality, and reduce costs.

5. Conclusions

This paper focuses on the advanced precision cutting methods of titanium alloys, comprehensively exploring their classification, machining challenges, advanced cutting methods, and the relationships among cost, efficiency, and quality.
Titanium alloys can be classified into α-Ti alloys, β-Ti alloys, and α+β-Ti alloys according to their crystal structures. Different types possess unique properties and application scenarios. During the machining process, due to their low thermal conductivity and high chemical reactivity, titanium alloys face problems such as severe tool wear and poor surface quality.
To address these challenges, researchers have developed various advanced cutting methods. Innovated tool design effectively enhances cutting performance by optimizing tool shape, texture, and coating. However, it has issues like high initial costs and the need for operators to adapt to new tools. High-efficiency coolant techniques, including high-pressure coolant, minimum quantity lubrication, cryogenic cooling, and hybrid cooling, can enhance machining efficiency, stability, and workpiece surface quality. Nevertheless, some of these techniques have high equipment costs or may be less effective at high spindle speeds. Ultrasonic vibration cutting shows significant effects in titanium alloy machining, reducing surface roughness, cutting forces, and tool wear. However, it requires additional equipment investment and has a relatively complex operation process.
In terms of cost, efficiency, and quality, cost reduction can be achieved through alloy design optimization, powder metallurgy processes, the use of MQL technology, appropriate tool selection, and cutting parameter optimization. Efficiency improvement can be realized by optimizing cutting parameters, adopting advanced cooling methods, developing novel tool materials, and applying hybrid machining techniques. Advanced technologies, such as ultrasonic-assisted machining, contribute to improving processing quality, but high quality often comes with high costs.
In summary, the relationships among cost, efficiency, and quality in titanium alloy processing are complex. In practical machining, multiple factors need to be comprehensively considered, and processing methods and parameters should be reasonably selected and optimized to achieve a balance among cost, efficiency, and quality, meeting the requirements of different industries for titanium alloy processing.

Author Contributions

Conceptualization, G.W., X.Z. and X.C.; methodology, G.W. and X.C.; investigation, X.C., G.W. and Z.X.; resources, G.W.; writing—original draft preparation, X.C. and G.W.; writing—review and editing, Z.X., J.Z. and F.F.; supervision, X.Z. and P.F.; project administration, X.Z. and G.W.; and funding acquisition, X.Z., J.Z., Z.X., G.W. and X.C. contributed equally to this work. All authors have read and agreed to the published version of the manuscript.

Funding

This research received no external funding.

Data Availability Statement

No new data were generated in the course of this research. The analysis presented is based on existing literature, publicly available datasets, and theoretical frameworks. Any data referenced in this work are either publicly accessible or derived from previously published sources. The authors did not collect or generate any new data due to the nature of the study, which focuses on a comprehensive review and analysis of existing knowledge. Therefore, there are no restrictions related to privacy or ethical concerns regarding data availability.

Conflicts of Interest

Authors Guangping Wang and Zhipeng Xu were employed by the company Aviation Industry Company Changhe Aircraft Industries Corporation. The remaining authors declare that this research was conducted in the absence of any commercial or financial relationships that could be construed as a potential conflict of interest.

References

  1. Li, X.; Wang, X.N.; Liu, K.; Cao, G.H.; Li, M.B.; Zhu, Z.S.; Wu, S.J. Hierarchical structure and deformation behavior of a novel multicomponent β titanium alloy with ultrahigh strength. J. Mater. Sci. Technol. 2022, 107, 227–242. [Google Scholar] [CrossRef]
  2. Xie, B.; Gao, K. Research Progress of Surface Treatment Technologies on Titanium Alloys: A Mini Review. Coatings 2023, 13, 1486. [Google Scholar] [CrossRef]
  3. Wang, M.H.; Liu, Z.H.; Wang, W. Study on Precision Machining Titanium Alloy Thin-walled Parts. Adv. Mater. Res. 2011, 314–316, 1778–1782. [Google Scholar] [CrossRef]
  4. Clemens, H.; Mayer, S. Design, processing, microstructure, properties, and applications of advanced intermetallic Tial alloys. Adv. Eng. Mater. 2013, 15, 191–215. [Google Scholar] [CrossRef]
  5. Qu, S.; Tang, S.; Feng, A.; Feng, C.; Shen, J.; Chen, D. Microstructural evolution and high-temperature oxidation mechanisms of a titanium aluminide based alloy. Acta Mater. 2018, 148, 300–310. [Google Scholar] [CrossRef]
  6. Appel, F.; Clemens, H.; Fischer, F. Modeling concepts for intermetallic titanium aluminides. Prog. Mater. Sci. 2016, 81, 55–124. [Google Scholar] [CrossRef]
  7. Gong, S.K.; Shang, Y.; Zhang, J.; Guo, X.P.; Lin, J.P.; Zhao, X.H. Application and research of typical intermetal-lics-based high temperature structural materials in China. Acta Metall. Sin. 2019, 55, 1067–1076. [Google Scholar] [CrossRef]
  8. Wu, X. Review of alloy and process development of TiAl alloys. Intermetallics 2006, 14, 1114–1122. [Google Scholar] [CrossRef]
  9. Du, Y.; Shen, J.; Xiong, Y.; Shang, Z.; Qin, L.; Fu, H. Microstructural development and room temperature tensile property of directionally solidified Ti–47Al alloys by electromagnetic confinement and directional solidification. J. Mater. Res. 2018, 33, 958–966. [Google Scholar] [CrossRef]
  10. Rack, H.; Qazi, J. Titanium alloys for biomedical applications. Mater. Sci. Eng. C 2006, 26, 1269–1277. [Google Scholar] [CrossRef]
  11. Sarraf, M.; Ghomi, E.R.; Alipour, S.; Ramakrishna, S.; Sukiman, N.L. A state-of-the-art review of the fabrication and characteristics of titanium and its alloys for biomedical applications. Bio-Des. Manuf. 2022, 5, 371–395. [Google Scholar] [CrossRef] [PubMed]
  12. Mahmoud, A.; Wakabayashi, N.; Takahashi, H.; Ohyama, T. Deflection fatigue of Ti-6Al-7Nb, Co-Cr, and gold alloy cast clasps. J. Prosthet. Dent. 2005, 93, 183–188. [Google Scholar] [CrossRef] [PubMed]
  13. Grubova, I.Y.; Surmenev, R.A.; Neyts, E.C.; Koptyug, A.V.; Volkova, A.P.; Surmeneva, M.A. Combined first-principles and experimental study on the microstructure and mechanical characteristics of the multicomponent additive-manufactured Ti–35Nb–7Zr–5Ta alloy. ACS Omega 2023, 8, 27519–27533. [Google Scholar] [CrossRef] [PubMed]
  14. Chen, F.; Zhang, W.; He, L.; Wang, J.; Zhao, D.; Wu, Z. Novel (Ti-15Mo)-xNb alloys with low elastic modulus and high strength for bio-medical applications. Chin. J. Nonferrous Met. 2023, 33, 3733–3743. [Google Scholar] [CrossRef]
  15. Hua, N.; Wang, W.; Wang, Q.; Ye, Y.; Lin, S.; Zhang, L.; Guo, Q.; Brechtl, J.; Liaw, P.K. Mechanical, corrosion, and wear properties of biomedical Ti–Zr–Nb–Ta–Mo high entropy alloys. J. Alloys Compd. 2021, 861, 157997. [Google Scholar] [CrossRef]
  16. Khan, A.; Maity, K. Statistical modelling and machinability assessment of commercially pure titanium (CP-Ti) grade II: An experimental investigation. Measurement 2019, 137, 664–672. [Google Scholar] [CrossRef]
  17. del Risco-Alfonso, R.; Siller, H.R.; Pérez-Rodríguez, R.; Molina, A. Study of a Novel Ceramic Tool Performance in the Machining of Ti-6Al-7Nb Alloys. MRS Adv. 2019, 4, 3007–3015. [Google Scholar] [CrossRef]
  18. Polini, W.; Turchetta, S. Cutting force, tool life and surface integrity in milling of titanium alloy Ti-6Al-4V with coated carbide tools. Proc. Inst. Mech. Eng. Part B J. Eng. Manuf. 2016, 230, 694–700. [Google Scholar] [CrossRef]
  19. Gariani, S.; Shyha, I.; Inam, F.; Huo, D. Evaluation of a Novel Controlled Cutting Fluid Impinging Supply System When Machining Titanium Alloys. Appl. Sci. 2017, 7, 560. [Google Scholar] [CrossRef]
  20. Hojati, F.; Daneshi, A.; Soltani, B.; Azarhoushang, B.; Biermann, D. Study on machinability of additively manufactured and conventional titanium alloys in micro-milling process. Precis. Eng. 2020, 62, 1–9. [Google Scholar] [CrossRef]
  21. Polishetty, A.; Shunmugavel, M.; Goldberg, M.; Littlefair, G.; Singh, R.K. Cutting force and surface finish analysis of machining additive manufactured titanium alloy Ti-6Al-4V. Procedia Manuf. 2017, 7, 284–289. [Google Scholar] [CrossRef]
  22. Yang, Y.; Wang, Y.F.; Sun, C.Y.; Wu, Q.Y.; Liu, J.; Yao, Y.F.; Zhang, J.H.; Wu, W. Processing of titanium alloys with improved efficiency and accuracy by laser and electrochemical machining. Int. J. Adv. Manuf. Technol. 2024, 130, 4013–4025. [Google Scholar] [CrossRef]
  23. Ganesan, G.; Malayath, G.; Mote, R.G. A review of cutting tools for ultra-precision machining. Mach. Sci. Technol. 2022, 26, 923–976. [Google Scholar] [CrossRef]
  24. Wang, S.; Yu, L.; Qin, C. Machinability improvement of titanium alloys in ultra-precision machining with mi-cro-structured surface. Proc. Inst. Mech. Eng. Part B J. Eng. Manuf. 2023, 238, 1362–1373. [Google Scholar] [CrossRef]
  25. Yip, W.S.; To, S. Sustainable Ultra-Precision Machining of Titanium Alloy Using Intermittent Cutting. Int. J. Precis. Eng. Manuf. Technol. 2020, 7, 361–373. [Google Scholar] [CrossRef]
  26. Li, Q.; Yang, Y.; Yang, Y.; Li, P.; Yang, G.; Liu, J.; Wu, M. Enhancing the wear performance of WC-6Co tool by pulsed magnetic field in Ti-6Al-4V machining. J. Manuf. Process. 2022, 80, 898–908. [Google Scholar] [CrossRef]
  27. Li, X.; Liu, L.; Dong, J.; Zhao, P. Discussion on the economics and low-cost methods of titanium and titanium alloy materials. China Mater. Prog. 2015, 34, 401–406. [Google Scholar] [CrossRef]
  28. Kalienko, M.S.; Zhelnina, A.V.; Volkov, A.V.; Leder, M.O.; Tolstykh, N.A.; Bocharov, A.I. A New approach to estimation of the thermal conductivity of titanium alloys. Crystallogr. Rep. 2020, 65, 844–848. [Google Scholar] [CrossRef]
  29. Sweet, J.N.; Roth, E.P.; Moss, M. Thermal conductivity of Inconel 718 and 304 stainless steel. Int. J. Thermophys. 1987, 8, 593–606. [Google Scholar] [CrossRef]
  30. Nguyen, V.C.; Nguyen, T.D.; Tien, D.H. Cutting Parameter Optimization in Finishing Milling of Ti-6Al-4V Titanium Alloy under MQL Condition using TOPSIS and ANOVA Analysis. Eng. Technol. Appl. Sci. Res. 2021, 11, 6775–6780. [Google Scholar] [CrossRef]
  31. Kimura, T.; Sawa, T.; Kamijyo, T. Study on high speed milling of steam turbine blade materials. Adv. Mater. Res. 2016, 1136, 251–256. [Google Scholar] [CrossRef]
  32. Zhang, Y.P.; Zhao, W.; Sun, G.B.; Zhang, A.Z. Study on surface quality of titanium alloy by ultrasonic-electrical discharge composite machining. Electromach. Mould. 2009, 299, 117334. [Google Scholar]
  33. Zha, X.; Yuan, Z.; Qin, H. Research status and development trends of ultrasonic impact strengthening for titanium alloys. China Mech. Eng. 2023, 34, 2269–2287. [Google Scholar] [CrossRef]
  34. Cai, D.; Zhao, X.; Yang, L.; Wang, R.; Qin, G.; Chen, D.-F.; Zhang, E. A novel biomedical titanium alloy with high antibacterial property and low elastic modulus. J. Mater. Sci. Technol. 2021, 81, 13–25. [Google Scholar] [CrossRef]
  35. Xiong, Y.; Huang, X.; Lu, B.; Wu, B.; Lu, L.; Liu, J.; Peng, K. Acceleration of floc-water separation and floc reduction with magnetic nano-particles during demulsification of complex waste cutting emulsions. J. Environ. Sci. 2020, 89, 83–92. [Google Scholar] [CrossRef]
  36. Qiu, M.; Wu, E.; Guo, C.; Yao, Z.; Li, J.; Zhang, Y.; Liu, Z. Research on efficient electrical discharge machining trepanning technology of TC4 titanium alloy hole. Int. J. Adv. Manuf. Technol. 2024, 132, 1497–1509. [Google Scholar] [CrossRef]
  37. Liu, C.-C.; Li, Y.-H.-Z.; Gu, J.; Song, M. Phase transformation in titanium alloys: A review. Trans. Nonferrous Met. Soc. China 2024, 34, 3093–3117. [Google Scholar] [CrossRef]
  38. Jia, C.L.; Wu, L.H.; Xue, P.; Zhang, H.; Ni, D.R.; Xiao, B.L.; Ma, Z.Y. Static spheroidization and its effect on superplasticity of fine lamellae in nugget of a friction stir welded Ti-6Al-4V joint. J. Mater. Sci. Technol. 2022, 119, 1–10. [Google Scholar] [CrossRef]
  39. Marin, E.; Lanzutti, A. Biomedical applications of titanium alloys: A comprehensive review. Materials 2024, 17, 114. [Google Scholar] [CrossRef]
  40. Williams, J.C.; Boyer, R.R. Opportunities and Issues in the Application of Titanium Alloys for Aerospace Components. Metals 2020, 10, 705. [Google Scholar] [CrossRef]
  41. Moiseyev, V.N. Titanium Alloys: Russian Aircraft and Aerospace Applications; CRC Press: Boca Raton, FL, USA, 2006. [Google Scholar]
  42. Leyens, C.; Peters, M. Titanium and Titanium Alloys: Fundamentals and Applications; Wiley-VCH Verlag GmbH & Co. KGaA: Weinheim, Germany, 2003. [Google Scholar]
  43. Peters, M.; Kumpfert, J.; Ward, C.; Leyens, C. Titanium alloys for aerospace applications. Adv. Eng. Mater. 2003, 5, 419–427. [Google Scholar] [CrossRef]
  44. Tabie, V.M.; Li, C.; Saifu, W.; Li, J.; Xu, X. Mechanical properties of near alpha titanium alloys for high-temperature applications—A review. Aircr. Eng. Aerosp. Technol. 2020, 92, 521–540. [Google Scholar] [CrossRef]
  45. Dong, R.; Li, J.; Kou, H.; Fan, J.; Tang, B. Dependence of mechanical properties on the microstructure characteristics of a near β titanium alloy Ti-7333. J. Mater. Sci. Technol. 2019, 35, 48–54. [Google Scholar] [CrossRef]
  46. Boyer, R.R.; Rosenberg, H.W. Beta Titanium Alloys in the 80’s; TMS-AIME Publications: Warrendale, PA, USA, 1984. [Google Scholar]
  47. Jamhari, F.I.; Foudzi, F.M.; Buhairi, M.A.; Sulong, A.B.; Radzuan, N.A.M.; Muhamad, N.; Mohamed, I.F.; Jamadon, N.H.; Tan, K.S. Influence of heat treatment parameters on microstructure and mechanical performance of titanium alloy in LPBF: A brief review. J. Mater. Res. Technol. 2023, 24, 4091–4110. [Google Scholar] [CrossRef]
  48. Fan, J.; Lai, M.; Tang, B.; Kou, H.; Li, J. Research progress of dynamic phase transformation behavior of titanium alloy under thermo-mechanical coupling process. J. Aeronaut. Mater. 2020, 40, 25–44. [Google Scholar] [CrossRef]
  49. Hourmand, M.; Sarhan, A.A.D.; Sayuti, M.; Hamdi, M. A comprehensive review on machining of titanium alloys. Arab. J. Sci. Eng. 2021, 46, 7087–7123. [Google Scholar] [CrossRef]
  50. Vajpai, S.K.; Sharma, B.; Ota, M.; Ameyama, K. Effect of cold rolling and heat-treatment on the microstructure and mechanical properties of β-titanium Ti-25Nb-25Zr alloy. Mater. Sci. Eng. A 2018, 736, 323–328. [Google Scholar] [CrossRef]
  51. Wang, W.; Xu, X.; Ma, R.; Xu, G.; Liu, W.; Xing, F. The Influence of Heat Treatment Temperature on Microstructures and Mechanical Properties of Titanium Alloy Fabricated by Laser Melting Deposition. Materials 2020, 13, 4087. [Google Scholar] [CrossRef]
  52. Velay, V.; Matsumoto, H.; Vidal, V.; Chiba, A. Behavior modeling and microstructural evolutions of Ti–6Al–4V alloy under hot forming conditions. Int. J. Mech. Sci. 2016, 108–109, 1–13. [Google Scholar] [CrossRef]
  53. Chen, G.; Ren, C.; Qin, X.; Li, J. Temperature dependent work hardening in Ti–6Al–4V alloy over large temperature and strain rate ranges: Experiments and constitutive modeling. Mater. Des. 2015, 83, 598–610. [Google Scholar] [CrossRef]
  54. He, D.; Zhu, J.; Lai, Z.; Liu, Y.; Yang, X. An experimental study of deformation mechanism and microstructure evolution during hot deformation of Ti–6Al–2Zr–1Mo–1V alloy. Mater. Des. 2013, 46, 38–48. [Google Scholar] [CrossRef]
  55. Zhang, J.; Liu, H.; Zheng, J.; Ji, J.; Shi, Y.; Jia, L.; Yan, Z.; Dong, B.; Xue, Y. Microstructure of Hot Isostatically Pressed Ti-6Al-4V Alloy after Hot Deformation. Rare Met. Mater. Eng. 2019, 48, 820–826. [Google Scholar]
  56. Tang, X.; Ren, M.; Bu, F.; Chen, G.; Li, G.; Li, T. Strain rate dependent behaviors of a hot isotropically processed Ti-6Al-4V: Mechanisms and material model. J. Mech. Sci. Technol. 2016, 30, 661–665. [Google Scholar] [CrossRef]
  57. Markovsky, P.E.; Janiszewski, J.; Bondarchuk, V.I.; Stasyuk, O.O.; Savvakin, D.G.; Skoryk, M.A.; Cieplak, K.; Dziewit, P.; Prikhodko, S.V. Effect of Strain Rate on Microstructure Evolution and Mechanical Behavior of Titanium-Based Materials. Metals 2020, 10, 1404. [Google Scholar] [CrossRef]
  58. Pragatheswaran, T.; Rajakumar, S.; Balasubramanian, V.; Petley, V.; Verma, S. Effect of holding time on microstructural characteristics and mechanical properties of Ti64 diffusion bonds. In Advances in Additive Manufacturing And Joining; Shunmugam, M., Kanthababu, M., Eds.; Springer: Berlin/Heidelberg, Germany, 2020; pp. 793–805. [Google Scholar]
  59. Min, W.; Darong, H.; Ya, F.; YongQuan, N.; Hongzhen, G.; Zekun, Y. Influence of heat treatment on the microstructure and mechanical properties of TC17 titanium alloy. MATEC Web Conf. 2018, 190, 07002. [Google Scholar] [CrossRef]
  60. Campanella, D.; Buffa, G.; El Hassanin, A.; Squillace, A.; Gagliardi, F.; Filice, L.; Fratini, L. Mechanical and microstructural characterization of titanium gr.5 parts produced by different manufacturing routes. Int. J. Adv. Manuf. Technol. 2022, 122, 741–759. [Google Scholar] [CrossRef]
  61. Topolski, K.; Garbacz, H.; Pachla, W.; Kurzydlowski, K.J. The Influence of the Initial State on Microstructure and Mechanical Properties of Hydrostatically Extruded Titanium. Solid State Phenom. 2008, 140, 191–196. [Google Scholar] [CrossRef]
  62. Muroga, T.; Nagasaka, T.; Zheng, P.F.; Chen, J. Microstructural Control for Improving Properties of V-4Cr-4Ti Alloys. In Advances in Science and Technology. In Materials Challenges for Future Nuclear Fission and Fusion Technologies; Trans Tech Publications Ltd.: Stafa-Zurich, Switzerland, 2010. [Google Scholar]
  63. Wang, B.; Liu, Z. Influences of tool structure, tool material and tool wear on machined surface integrity during turning and milling of titanium and nickel alloys: A review. Int. J. Adv. Manuf. Technol. 2018, 98, 1925–1975. [Google Scholar] [CrossRef]
  64. Li, M.; Yue, C.; Liu, X.; Chen, Z.; Jiang, Z.; Yue, D.; Steven, Y.L. Research on design and application of endmill for milling titanium alloy frame parts. J. Mech. Eng. 2023, 59, 283–309. [Google Scholar] [CrossRef]
  65. Li, C.; Qiao, J.; Zheng, Q.; Xiong, T.; Zeng, Z.; Guo, Z.; Yang, T. Research Progress on the Application of Rare Metal Elements in Cemented Carbides. Rare Met. Cem. Carbides 2024, 52, 69–74. [Google Scholar] [CrossRef]
  66. Bose, A.; Reidy, J.P.; Pötschke, J. Sinter-based additive manufacturing of hardmetals: Review. Int. J. Refract. Met. Hard Mater. 2024, 119, 106493. [Google Scholar] [CrossRef]
  67. Wu, Y.; Lu, Z.; Qin, Y.; Bao, Z.; Luo, L. Ultrafine/nano WC-Co cemented carbide: Overview of preparation and key technologies. J. Mater. Res. Technol. 2023, 27, 5822–5839. [Google Scholar] [CrossRef]
  68. Peng, Y.; Wang, H.; Zhao, C.; Hu, H.; Liu, X.; Song, X. Nanocrystalline WC-Co composite with ultrahigh hardness and toughness. Compos. Part B Eng. 2020, 197, 108161. [Google Scholar] [CrossRef]
  69. Walbrühl, M.; Linder, D.; Bonvalet, M.; Ågren, J.; Borgenstam, A. ICME guided property design: Room temperature hardness in cemented carbides. Mater. Des. 2019, 161, 35–43. [Google Scholar] [CrossRef]
  70. Zhao, X.; Ke, W.; Zhang, S.; Zheng, W. Potential failure cause analysis of tungsten carbide end mills for titanium alloy machining. Eng. Fail. Anal. 2016, 66, 321–327. [Google Scholar] [CrossRef]
  71. Kumar, T.S.; Prabu, S.B.; Vasu, K.; Krishna, M.G. Metallurgical characteristics and machining performance of nanostructured TNN-coated tungsten carbide tool. Int. J. Mater. Res. 2015, 106, 378–390. [Google Scholar] [CrossRef]
  72. Liu, H.; Tang, J.; Yan, Z.; Li, W.; Tang, D.; Hong, N.; Teng, F. Research on the correlation mechanism between powder characteristics, alloy proper-ties, and tool cutting life of cemented carbide. China Tungsten Ind. 2024, 39, 64–71. [Google Scholar] [CrossRef]
  73. Huang, S.; Xiong, J.; Guo, Z.; Wan, W.; Tang, L.; Zhong, H.; Zhou, W.; Wang, B. Oxidation of WC-TiC-TaC-Co hard materials at relatively low temperature. Int. J. Refract. Met. Hard Mater. 2015, 48, 134–140. [Google Scholar] [CrossRef]
  74. Wang, W.; Zhang, H.; Wang, Q.; Ma, Z.; Chen, L. Effects of carbide inhibitor on microstructures and mechanical properties of ultrafine grained carbide cement WC-2.5TiC-10Co. Chin. J. Mater. Res. 2015, 29, 881–888. [Google Scholar]
  75. Guo, S.; Yan, W.; Yi, J.; Wang, S.; Huang, X.; Yang, S.; Zhang, M.; Ye, Y. The optimization of mechanical property and corrosion resistance of WC-6Co cemented carbide by Mo2C content. Ceram. Int. 2020, 46, 17243–17251. [Google Scholar] [CrossRef]
  76. Guo, S.; Bao, R.; Li, S.; Ye, Y.; Zhu, E.; Wang, W.; Zhang, Y.; Chen, H.; Ye, Y. The role of Y2O3, Cu, Mo and Mo2C additives on optimizing the corrosion resistance of WC-6Co cemented carbide in HCl and NaOH solutions. J. Alloys Compd. 2020, 827, 154269. [Google Scholar] [CrossRef]
  77. Harouz, R.; Zelmatı, D.; Khelil, K. Machine learning application for wear rate prediction of WC/Co-based cermet with different content of Ni, Cr, TiC, TaC, and NbC. Int. J. Adv. Manuf. Technol. 2024, 135, 5945–5959. [Google Scholar] [CrossRef]
  78. Lin, T.; Li, Q.; Han, Y.; Song, K.; Wang, X.; Shao, H.; Dong, J.; Wang, H.; Deng, X. Effects of Nb and NbC additives on microstructure and properties of WC-Co-Ni cemented carbides. Int. J. Refract. Met. Hard Mater. 2022, 103, 595–602. [Google Scholar] [CrossRef]
  79. Zhang, L.; Zhu, J.; Yang, Y.; Xiong, X.; Xu, T.; Zhang, J.; Liu, X.; Yao, P. Effect of additives on high-temperature oxidation resistance of extra-coarse grained and ultra-coarse grained cemented carbides. Powder Metall. Mater. Sci. Eng. 2015, 20, 595–602. [Google Scholar]
  80. Chandru, M.; Selladurai, V.; Venkatesh, C. Experimental evaluation of machinability performance of CNT coated HSS tool during turning of titanium alloy. J. Mech. Sci. Technol. 2021, 35, 2141–2150. [Google Scholar] [CrossRef]
  81. Dang, M.N.; Singh, S.; King, H.J.; Navarro-Devia, J.H.; Le, H.; Pattison, T.G.; Hocking, R.K.; Wade, S.A.; Stephens, G.; Papageorgiou, A.; et al. Surface Enhancement of Titanium-Based Coatings on Commercial Hard Steel Cutting Tools. Crystals 2024, 14, 470. [Google Scholar] [CrossRef]
  82. Sun, J.; He, R.; Niu, G.; Xie, L.; Chen, X.; Fang, L. Sound velocities, elasticity and thermal properties of cBN com-posite with AlN binder at high pressure. Ceram. Int. 2024, 50, 27080–27085. [Google Scholar] [CrossRef]
  83. Xiao, C.; Zheng, H.; Tao, H.; Ma, J.; Zhang, Q.; Tang, L. Effect of particle size of cubic boron nitride powders on the properties of polycrystalline cubic boron nitride composites. Bull. Mater. Sci. 2024, 47, 1–9. [Google Scholar] [CrossRef]
  84. Rumiantseva, Y.; Laszkiewicz-Łukasik, J.; Podsiadło, M.; Chat-Wilk, K.; Momot, K.; Boroń, Ł.; Klimczyk, P. Development of two-layer whisker-reinforced PcBN materials for cutting tool applications. Ceram. Int. 2025, 51, 1271–1280. [Google Scholar] [CrossRef]
  85. Nayeri, M.R.; Abootorabi, M.M. New generation nano-cbn cutting tool for increasing sustainability of hard turning process. Surf. Rev. Lett. 2022, 29, 2250139. [Google Scholar] [CrossRef]
  86. Zhang, J.; Wang, J.; Zhang, G.; Huo, Z.; Huang, Z.; Wu, L. A review of diamond synthesis, modification technology, and cutting tool application in ultra-precision machining. Mater. Des. 2024, 237, 112577. [Google Scholar] [CrossRef]
  87. Khmelnitskiy, R.A. Prospects for the synthesis of large single-crystal diamonds. Physics-Uspekhi 2015, 58, 134–149. [Google Scholar] [CrossRef]
  88. Chen, D.; Lin, H.; Chen, Y.; Yan, C.; Xu, J. Wear behaviors of PCD and diamond-coated tools during low-frequency vibration-assisted drilling CFRP/Ti stacks. Int. J. Adv. Manuf. Technol. 2023, 128, 595–609. [Google Scholar] [CrossRef]
  89. Childerhouse, T.; M’saoubi, R.; Franca, L.F.; Crawforth, P.; Jackson, M. Machining performance and wear behaviour of polycrystalline diamond and coated carbide tools during milling of titanium alloy Ti-54M. Wear 2023, 523, 204791. [Google Scholar] [CrossRef]
  90. Kong, F.; Zhao, W.; Li, H.; He, N. Effect of grain size and cobalt content on machining performance during milling tungsten carbide with PCD tool. Int. J. Refract. Met. Hard Mater. 2024, 123, 106780. [Google Scholar] [CrossRef]
  91. Denkena, B.; Köhler, J.; Ventura, C. Customized cutting edge preparation by means of grinding. Precis. Eng. 2013, 37, 590–598. [Google Scholar] [CrossRef]
  92. You, Z.; Yuan, H.; Ye, X. Numerical Investigation on the Effect of Cutting-Edge Shape Factor on the Cutting Performance of Titanium Alloy. Coatings 2023, 13, 1048. [Google Scholar] [CrossRef]
  93. Shokrani, A.; Newman, S.T. A new cutting tool design for cryogenic machining of Ti–6Al–4V titanium alloy. Materials 2019, 12, 477. [Google Scholar] [CrossRef]
  94. Tran, H.N.; Tran, A.S.; Nguyen, T.H.; Nguyen, T.P. Design of 2D wave booster ultrasonic vibration-assisted cutting tool in small size surface machining. Key Eng. Mater. 2022, 923, 75–83. [Google Scholar] [CrossRef]
  95. Cheng, Y.; Yang, J.; Qin, C.; Zuo, D. Tool design and cutting parameter optimization for side milling blisk. Int. J. Adv. Manuf. Technol. 2018, 100, 2495–2508. [Google Scholar] [CrossRef]
  96. Zhao, G.; Zhao, B.; Ding, W.; Xin, L.; Nian, Z.; Peng, J.; He, N.; Xu, J. Nontraditional energy-assisted mechanical machining of difficult-to-cut materials and components in aerospace community: A comparative analysis. Int. J. Extreme Manuf. 2024, 6, 022007. [Google Scholar] [CrossRef]
  97. Khan, M.A.; Wang, B.; Khan, A.M.; Liu, Z.; Cai, Y.; Song, Q. Integrating textured tools and diverse lubricooling approaches in machining performance of Ti and Ni-base alloys—A comprehensive review. Mach. Sci. Technol. 2024, 28, 323–391. [Google Scholar] [CrossRef]
  98. Yan, J.; Zhang, Z.; Kuriyagawa, T.; Gonda, H. Fabricating micro-structured surface by using single-crystalline diamond endmill. Int. J. Adv. Manuf. Technol. 2010, 51, 957–964. [Google Scholar] [CrossRef]
  99. Dhage, S.; Jayal, A.D.; Sarkar, P. Effects of surface texture parameters of cutting tools on friction conditions at tool-chip interface during dry machining of AISI 1045 steel. Procedia Manuf. 2019, 33, 794–801. [Google Scholar] [CrossRef]
  100. Parida, A.K.; Rao, P.V.; Ghosh, S. Performance of textured tool in turning of Ti–6Al–4V alloy: Numerical analysis and experimental validation. J. Braz. Soc. Mech. Sci. Eng. 2020, 42, 255. [Google Scholar] [CrossRef]
  101. Fouathiya, A.; Meziani, S.; Sahli, M.; Barrière, T. Experimental investigation of microtextured cutting tool performance in titanium alloy via turning. J. Manuf. Process. 2021, 69, 33–46. [Google Scholar] [CrossRef]
  102. Zheng, K.; Yang, F.; Zhang, N.; Liu, Q.; Jiang, F. Study on the Cutting Performance of Micro Textured Tools on Cutting Ti-6Al-4V Titanium Alloy. Micromachines 2020, 11, 137. [Google Scholar] [CrossRef]
  103. Li, Q.; Yang, S.; Zhang, Y.; Zhou, Y.; Cui, J. Evaluation of the machinability of titanium alloy using a micro-textured ball end milling cutter. Int. J. Adv. Manuf. Technol. 2018, 98, 2083–2092. [Google Scholar] [CrossRef]
  104. Liang, X.; Liu, Z.; Wang, B.; Wang, C.; Cheung, C.F. Friction behaviors in the metal cutting process: State of the art and future perspectives. Int. J. Extreme Manuf. 2023, 5, 012002. [Google Scholar] [CrossRef]
  105. Pham, H.-V.; Nguyen, H.-P.; Shailesh, S.; Nguyen, D.-T.; Bui, N.-T. Improving micro-Edm machining efficiency for titanium alloy fabrication with advanced coated electrodes. Micromachines 2024, 15, 692. [Google Scholar] [CrossRef]
  106. Cheng, Y.; Browne, T.; Heckerman, B.; Meletis, E. Influence of the C content on the mechanical and tribological properties of the TiCN coatings deposited by LAFAD technique. Surf. Coat. Technol. 2011, 205, 4024–4029. [Google Scholar] [CrossRef]
  107. Zhou, Y.X.; Zhu, X.F.; Zhang, J.J.; Li, J.Y. Microstructure and cutting performance of TiCN and TiN tool coatings deposited by ion plating. Tool Eng. 2010, 44, 18–21. [Google Scholar] [CrossRef]
  108. Abdullah, R.I.R.; Redzuwan, B.I.; Aziz, M.S.A.; Kasim, M.S. Comparative study of tool wear in milling titanium alloy (Ti-6Al-4V) using PVD and CVD coated cutting tool. Ind. Lubr. Tribol. 2017, 69, 363–370. [Google Scholar] [CrossRef]
  109. Chen, L.; Du, Y.; Yin, F.; Li, J. Mechanical properties of (Ti, Al)N monolayer and TiN/(Ti, Al)N multilayer coatings. Int. J. Refract. Met. Hard Mater. 2007, 25, 72–76. [Google Scholar] [CrossRef]
  110. Uddin, G.M.; Joyia, F.M.; Ghufran, M.; Khan, S.A.; Raza, M.A.; Faisal, M.; Arafat, S.M.; Zubair, S.W.H.; Jawad, M.; Zafar, M.Q.; et al. Comparative performance analysis of cemented carbide, TiN, TiAlN, and PCD coated inserts in dry machining of Al 2024 alloy. Int. J. Adv. Manuf. Technol. 2021, 112, 1461–1481. [Google Scholar] [CrossRef]
  111. Thepsonthi, T.; Özel, T. Experimental and finite element simulation based investigations on micro-milling Ti-6Al-4V titanium alloy: Effects of cBN coating on tool wear. J. Mech. Work. Technol. 2013, 213, 532–542. [Google Scholar] [CrossRef]
  112. Ali, A.; Younas, M.; Khan, M.; Jaffery, S.H.I.; Khan, Z. Machinability performance of single coated and multicoated carbide tools during turning Ti6Al4V Alloy. Int. J. Precis. Eng. Manuf. 2025, 26, 43–58. [Google Scholar] [CrossRef]
  113. Fan, G.; Zhang, J.; Chen, H.; Xiao, G.; Chen, Z.; Yi, M.; Xu, C.; Fan, L.; Li, G. Analysis of tool wear of TiAlN coated tool, machined surface morphology and chip during titanium alloy milling. Tribol. Int. 2024, 197, 109751. [Google Scholar] [CrossRef]
  114. He, Q.; Saciotto, V.; DePaiva, J.M.; Guimaraes, M.C.; Kohlscheen, J.; Martins, M.M.; Veldhuis, S.C. Enhancing tool performance in high-speed end milling of Ti-6Al-4V alloy: The role of AlCrN PVD coatings and resistance to chipping wear. J. Manuf. Mater. Process. 2024, 8, 68. [Google Scholar] [CrossRef]
  115. Vereschaka, A.; Gurin, V.; Oganyan, M.; Oganyan, G.; Bublikov, J.; Shein, A. Increase in tool life for end milling titanium alloys using tools with multilayer composite nanostructured modified coatings. Procedia CIRP 2019, 81, 1412–1416. [Google Scholar] [CrossRef]
  116. Li, G.; Lü, W.; Liu, S.; Li, C.; Zhou, Y.; Wang, Q. Multilayer-growth of TiAlN/WS self-lubricating composite coatings with high adhesion and their cutting performance on titanium alloy. Compos. Part B Eng. 2021, 211, 108620. [Google Scholar] [CrossRef]
  117. Kaminski, J.; Alvelid, B. Temperature reduction in the cutting zone in water-jet assisted turning. J. Mater. Process. Technol. 2000, 106, 68–73. [Google Scholar] [CrossRef]
  118. Ezugwu, E.O.; Bonney, J. Effect of high-pressure coolant supply when machining nickel-base, Inconel 718, alloy with coated carbide tools J. Mater. Process. Technol. 2004, 153, 1045–1050. [Google Scholar] [CrossRef]
  119. Ezugwu, E.O.; Bonney, J.; Da Silva, R.B.; Çakir, O. Surface integrity of finished turned Ti–6Al–4V alloy with PCD tools using conventional and high pressure coolant supplies. Int. J. Mach. Tools Manuf. 2007, 47, 884–891. [Google Scholar] [CrossRef]
  120. Masek, P.; Maly, J.; Zeman, P.; Heinrich, P.; Alagan, N.T. Turning of titanium alloy with PCD tool and high-pressure cooling. J. Manuf. Process. 2022, 84, 871–885. [Google Scholar] [CrossRef]
  121. Lu, Z.; Zhang, D.; Zhang, X.; Peng, Z. Effects of high-pressure coolant on cutting performance of high-speed ultrasonic vibration cutting titanium alloy. J. Mech. Work. Technol. 2020, 279, 116584. [Google Scholar] [CrossRef]
  122. Mao, J.; Usuki, H.; Tanaka, R.; Morigo, C.; Yukinari, S. Research on effect of ultra-high pressure coolant supplied from flank face in end milling of Ti-6Al-4V supported by CFD simulations. J. Manuf. Process. 2024, 118, 15–31. [Google Scholar] [CrossRef]
  123. Ezugwu, E.; Da Silva, R.; Bonney, J.; Machado, Á. Evaluation of the performance of CBN tools when turning Ti–6Al–4V alloy with high pressure coolant supplies. Int. J. Mach. Tools Manuf. 2005, 45, 1009–1014. [Google Scholar] [CrossRef]
  124. Sarikaya, M.; Gupta, M.K.; Tomaz, I.; Danish, M.; Mia, M.; Rubaiee, S.; Jamil, M.; Pimenov, D.Y.; Khanna, N. Cooling techniques to improve the machinability and sustainability of light-weight alloys: A state-of-the-art review. J. Manuf. Process. 2021, 62, 179–201. [Google Scholar] [CrossRef]
  125. Sharma, V.S.; Singh, G.; Sørby, K. A Review on Minimum Quantity Lubrication for Machining Processes. Mater. Manuf. Process. 2015, 30, 935–953. [Google Scholar] [CrossRef]
  126. Sun, J.; Wong, Y.S.; Rahman, M.; Wang, Z.G.; Neo, K.S.; Tan, C.H.; Onozuka, H. Effects of coolant supply methods and cutting conditions on tool life in end milling titanium alloy. Mach. Sci. Technol. 2006, 10, 355–370. [Google Scholar] [CrossRef]
  127. Yuan, S.; Yan, L.; Liu, W.; Liu, Q. Effects of cooling air temperature on cryogenic machining of Ti–6Al–4V alloy. J. Mech. Work. Technol. 2011, 211, 356–362. [Google Scholar] [CrossRef]
  128. Sivarupan, T.; Bermingham, M.; Ng, C.-H.; Sun, S.; Dargusch, M. A review of the use of cryogenic coolant during machining titanium alloys. Sustain. Mater. Technol. 2024, 40, e00946. [Google Scholar] [CrossRef]
  129. Sartori, S.; Moro, L.; Ghiotti, A.; Bruschi, S. On the tool wear mechanisms in dry and cryogenic turning Additive Manufactured titanium alloys. Tribol. Int. 2017, 105, 264–273. [Google Scholar] [CrossRef]
  130. Hong, S.Y.; Markus, I.; Jeong, W.-C. New cooling approach and tool life improvement in cryogenic machining of titanium alloy Ti-6Al-4V. Int. J. Mach. Tools Manuf. 2001, 41, 2245–2260. [Google Scholar] [CrossRef]
  131. Bermingham, M.; Kirsch, J.; Sun, S.; Palanisamy, S.; Dargusch, M. New observations on tool life, cutting forces and chip morphology in cryogenic machining Ti-6Al-4V. Int. J. Mach. Tools Manuf. 2011, 51, 500–511. [Google Scholar] [CrossRef]
  132. Sun, S.; Brandt, M.; Palanisamy, S.; Dargusch, M.S. Effect of cryogenic compressed air on the evolution of cutting force and tool wear during machining of Ti–6Al–4V alloy. J. Mech. Work. Technol. 2015, 221, 243–254. [Google Scholar] [CrossRef]
  133. Busch, K.; Hochmuth, C.; Pause, B.; Stoll, A.; Wertheim, R. Investigation of cooling and lubrication strategies for machining high-temperature alloys. Procedia CIRP 2016, 41, 835–840. [Google Scholar] [CrossRef]
  134. Gupta, M.K.; Niesłony, P.; Sarikaya, M.; Korkmaz, M.E.; Kuntoğlu, M.; Królczyk, G.; Jamil, M. Tool wear patterns and their promoting mechanisms in hybrid cooling assisted machining of titanium Ti-3Al-2.5V/grade 9 alloy. Tribol. Int. 2022, 174, 107773. [Google Scholar] [CrossRef]
  135. Chen, G.; Caudill, J.; Chen, S.; Jawahir, I. Machining-induced surface integrity in titanium alloy Ti-6Al-4V: An investigation of cutting edge radius and cooling/lubricating strategies. J. Manuf. Process. 2022, 74, 353–364. [Google Scholar] [CrossRef]
  136. Bagherzadeh, A.; Kuram, E.; Budak, E. Experimental evaluation of eco-friendly hybrid cooling methods in slot milling of titanium alloy. J. Clean. Prod. 2021, 289, 125817. [Google Scholar] [CrossRef]
  137. Khan, A.M.; Zhao, W.; Li, L.; Alkahtani, M.; Hasnain, S.; Jamil, M.; He, N. Assessment of cumulative energy demand, production cost, and CO2 emission from hybrid CryoMQL assisted machining. J. Clean. Prod. 2021, 292, 125952. [Google Scholar] [CrossRef]
  138. Grguraš, D.; Sterle, L.; Pušavec, F. Cutting forces and chip morphology in LCO2 + MQL assisted robotic drilling of Ti6Al4V. Procedia CIRP 2021, 102, 299–302. [Google Scholar] [CrossRef]
  139. Kalsi, N.S.; Sehgal, R.; Sharma, V.S. Cryogenic Treatment of Tool Materials: A Review. Mater. Manuf. Process. 2010, 25, 1077–1100. [Google Scholar] [CrossRef]
  140. Peng, Z.; Zhang, D.; Zhang, X. Chatter stability and precision during high-speed ultrasonic vibration cutting of a thin-walled titanium cylinder. Chin. J. Aeronaut. 2020, 33, 3535–3549. [Google Scholar] [CrossRef]
  141. Kurniawan, R.; Ahmed, F.; Ali, S.; Park, G.C.; Ko, T.J. Analytical, FEA, and experimental research of 2D-vibration assisted cutting (2D-VAC) in titanium alloy Ti6Al4V. Int. J. Adv. Manuf. Technol. 2021, 117, 1739–1764. [Google Scholar] [CrossRef]
  142. Sun, Z.; Shuang, F.; Ma, W. Investigations of vibration cutting mechanisms of Ti6Al4V alloy. Int. J. Mech. Sci. 2018, 148, 510–530. [Google Scholar] [CrossRef]
  143. Xie, H.; Wang, Z. Study of cutting forces using FE, ANOVA, and BPNN in elliptical vibration cutting of titanium alloy Ti-6Al-4V. Int. J. Adv. Manuf. Technol. 2019, 105, 5105–5120. [Google Scholar] [CrossRef]
  144. Kurniawan, R.; Kumaran, S.T.; Ali, S.; Nurcahyaningsih, D.A.; Kiswanto, G.; Ko, T.J. Experimental and analytical study of ultrasonic elliptical vibration cutting on AISI 1045 for sustainable machining of round-shaped microgroove pattern. Int. J. Adv. Manuf. Technol. 2018, 98, 2031–2055. [Google Scholar] [CrossRef]
  145. Airao, J.; Nirala, C.K.; Bertolini, R.; Krolczyk, G.M.; Khanna, N. Sustainable cooling strategies to reduce tool wear, power consumption and surface roughness during ultrasonic assisted turning of Ti-6Al-4V. Tribol. Int. 2022, 169, 107494. [Google Scholar] [CrossRef]
  146. Llanos, I.; Campa, Á.; Iturbe, A.; Arrazola, P.J.; Zelaieta, O. Experimental Analysis of Cutting Force Reduction During Ultrasonic Assisted Turning of Ti6Al4V. Procedia CIRP 2018, 77, 86–89. [Google Scholar] [CrossRef]
  147. Bejjani, R.; Bachir, E.; Salame, C. Advanced Manufacturing of Titanium Alloy Ti-6Al-4V by Combining Cryogenic Machining and Ultrasonic-Assisted Turning. J. Mater. Eng. Perform. 2024, 33, 6507–6527. [Google Scholar] [CrossRef]
  148. Gürgen, S.; Çakır, F.H.; Sofuoğlu, M.A.; Orak, S.; Kuşhan, M.C.; Li, H. Multi-criteria decision-making analysis of different non-traditional machining operations of Ti6Al4V. Soft Comput. 2019, 23, 5259–5272. [Google Scholar] [CrossRef]
  149. Hu, K.; Lo, S.-L.; Wu, H.; To, S. Study on Influence of Ultrasonic Vibration on the Ultra-Precision Turning of Ti6Al4V Alloy Based on Simulation and Experiment. IEEE Access 2019, 7, 33640–33651. [Google Scholar] [CrossRef]
  150. Lotfi, M.; Amini, S.; Akbari, J. Surface integrity and microstructure changes in 3D elliptical ultrasonic assisted turning of Ti–6Al–4V: FEM and experimental examination. Tribol. Int. 2020, 151, 106492. [Google Scholar] [CrossRef]
  151. Bachir, E.; Bejjani, R. An experimental and FEM study on ultrasonic-assisted turning of titanium alloy. Mach. Sci. Technol. 2023, 27, 350–379. [Google Scholar] [CrossRef]
  152. Geng, D.; Sun, Z.; Liu, Y.; Liu, L.; Ying, E.; Cai, J.; Jiang, X.; Zhang, D. Unravelling the influence of vibration on material removal and microstructure evolution in ultrasonic transversal vibration-assisted helical milling of Ti-6Al-4V holes. J. Mech. Work. Technol. 2024, 326, 118320. [Google Scholar] [CrossRef]
  153. Liu, J.; Jiang, X.; Han, X.; Gao, Z.; Zhang, D. Effects of rotary ultrasonic elliptical machining for side milling on the surface integrity of Ti-6Al-4V. Int. J. Adv. Manuf. Technol. 2019, 101, 1451–1465. [Google Scholar] [CrossRef]
  154. Qin, S.; Zhu, L.; Qin, D.; Yang, Z.; Lu, H. Tool–workpiece separation characteristic and surface generation in ultrasonic assisted milling. Mech. Based Des. Struct. Mach. 2024, 52, 3182–3209. [Google Scholar] [CrossRef]
  155. Zhang, M.; Zhang, D.; Guo, H.; Gao, Z.; Geng, D.; Liu, J.; Jiang, X. High-Speed Rotary Ultrasonic Elliptical Milling of Ti-6Al-4V Using High-Pressure Coolant. Metals 2020, 10, 500. [Google Scholar] [CrossRef]
  156. Zarchi, M.M.A.; Razfar, M.R.; Abdullah, A. Investigation of the effect of cutting speed and vibration amplitude on cutting forces in ultrasonic-assisted milling. Proc. Inst. Mech. Eng. Part B J. Eng. Manuf. 2012, 226, 1185–1191. [Google Scholar] [CrossRef]
  157. Lü, Q.; Yang, S.; Yang, L.; Liu, E.; Li, G.; Xiang, D. Optimization milling force and surface roughness of ti-6al-4v based on ultrasonic-assisted milling (UAM): An Experimental Study. Micromachines 2023, 14, 1699. [Google Scholar] [CrossRef] [PubMed]
  158. Ying, N.; Feng, J.; Bo, Z. A novel 3D finite element simulation method for longitudinal-torsional ultrasonic-assisted milling. Int. J. Adv. Manuf. Technol. 2020, 106, 385–400. [Google Scholar] [CrossRef]
  159. Namlu, R.H.; Sadigh, B.L.; Kiliç, S.E. An experimental investigation on the effects of combined application of ultrasonic assisted milling (UAM) and minimum quantity lubrication (MQL) on cutting forces and surface roughness of Ti-6AL-4V. Mach. Sci. Technol. 2021, 25, 738–775. [Google Scholar] [CrossRef]
  160. Ko, J.H.; Shaw, K.C.; Chua, H.K.; Lin, R.M. The Effect of One Directional Ultrasonic Vibration Assistance in High Speed Meso-Scale Milling Process. Key Eng. Mater. 2010, 447–448, 41–45. [Google Scholar] [CrossRef]
  161. Su, Y.; Li, L. An investigation of cutting performance and action mechanism in ultrasonic vibration-assisted milling of ti6al4v using a PCD tool. Micromachines 2021, 12, 1319. [Google Scholar] [CrossRef]
  162. Yang, H.; Ding, W.; Chen, Y.; Laporte, S.; Xu, J.; Fu, Y. Drilling Force Model for Forced Low Frequency Vibration Assisted Drilling of Ti-6Al-4V Titanium Alloy. Int. J. Mach. Tools Manuf. 2019, 146, 103438. [Google Scholar] [CrossRef]
  163. Cong, W.; Pei, Z.; Treadwell, C. Preliminary Study on Rotary Ultrasonic Machining of CFRP/Ti Stacks. Ultrasonics 2014, 54, 1594–1602. [Google Scholar] [CrossRef]
  164. Moghaddas, M.A.; Graff, K.F. On the effect of load on vibration amplitude in ultrasonic-assisted drilling. Int. J. Adv. Manuf. Technol. 2020, 106, 3081–3094. [Google Scholar] [CrossRef]
  165. Iqbal, A.; Zhao, G.; Zaini, J.; Gupta, M.K.; Jamil, M.; He, N.; Nauman, M.M.; Mikolajczyk, T.; Pimenov, D.Y. Between-the-Holes Cryogenic Cooling of the Tool in Hole-Making of Ti-6Al-4V and CFRP. Materials 2021, 14, 795. [Google Scholar] [CrossRef]
  166. Liu, F.; Chen, T.; Duan, Z.; Suo, Y.; Zhang, C. Ultrasonic assisted pecking drilling process for CFRP/Ti laminated materials. J. Manuf. Process. 2023, 108, 834–851. [Google Scholar] [CrossRef]
  167. Zhong, H.; Zhang, Z.; Wang, X.; Jiao, F.; Li, Y. Research on the Entrance Damage of Carbon Fiber-Reinforced Polymer/Ti6Al4V Stacks in Six-Degrees-of-Freedom Robot Drilling. Machines 2024, 12, 881. [Google Scholar] [CrossRef]
  168. Li, Z.; Zhang, D.; Jiang, X.; Qin, W.; Geng, D. Study on rotary ultrasonic-assisted drilling of titanium alloys (Ti6Al4V) using 8-facet drill under no cooling condition. Int. J. Adv. Manuf. Technol. 2017, 90, 3249–3264. [Google Scholar] [CrossRef]
  169. Zai, P.; Tong, J.; Liu, Z.; Zhang, Z.; Song, C.; Zhao, B. Analytical model of exit burr height and experimental investigation on ultrasonic-assisted high-speed drilling micro-holes. J. Manuf. Process. 2021, 68, 807–817. [Google Scholar] [CrossRef]
  170. Namlu, R.H.; Lotfi, B.; Kılıç, S.E.; Yılmaz, O.D.; Akar, S. Combined use of ultrasonic-assisted drilling and minimum quantity lubrication for drilling of NiTi shape memory alloy. Mach. Sci. Technol. 2023, 27, 325–349. [Google Scholar] [CrossRef]
  171. Gao, G.; Yuan, Z.; Xia, Z.; Fu, Z.; Xiang, D.; Zhao, B. Study on thrust force of ultrasonic-assisted vibration micro-hole drilling of titanium alloy. Int. J. Adv. Manuf. Technol. 2021, 112, 3399–3413. [Google Scholar] [CrossRef]
  172. Wang, P.; Wang, D. Evaluation of different tool geometries in the finite element simulation of ultrasonic-assisted drilling of Ti6A14V. J. Braz. Soc. Mech. Sci. Eng. 2020, 42, 181. [Google Scholar] [CrossRef]
  173. Chaudhari, A.; Yusufzai, M.Z.K.; Vashista, M. Grindability study of hard to cut AISI D2 steel upon ultrasonic vibration-assisted dry grinding. Proc. Inst. Mech. Eng. Part E J. Process. Mech. Eng. 2022, 236, 915–925. [Google Scholar] [CrossRef]
  174. Wu, H.; Duan, W.; Sun, L.; Zeng, J.; Li, S.; Wang, Q.; Wu, Y.; Chen, Y. Effect of ultrasonic vibration on the machining performance and mechanism of hybrid ultrasonic vibration/plasma oxidation assisted grinding. J. Manuf. Process. 2023, 94, 466–478. [Google Scholar] [CrossRef]
  175. Zhu, X.; Wang, J.Q.; Chen, Q.; Lu, Z.M. Research on Dynamic Grinding Force in Ultrasonic Honing Chatter. Key Eng. Mater. 2011, 487, 433–437. [Google Scholar] [CrossRef]
  176. Zhao, P.; Wang, J.; Cao, Y. Parameter Optimization of Surface Roughness in Ultrasonic Vibration Cutting Process. In Proceeding of the 2019 2nd International Conference on Mechanical, Electrical and Material Application (MEMA) 2019, Xi’an, China, 25–27 October 2019. [Google Scholar]
  177. Li, S.; Wang, L.; Li, G.; Zhang, S.; Wu, S.; Qiao, J.; Zeng, J.; Xue, Y.; Wu, Y. Small hole drilling of Ti–6Al–4V using ultrasonic-assisted plasma electric oxidation grinding. Precis. Eng. 2021, 67, 189–198. [Google Scholar] [CrossRef]
  178. Lavrinenko, V.I.; Solod, V.Y. Oxidation or oxide materials in the machining zone in superabrasive grinding—A factor of influence on the grinding performance. J. Superhard Mater. 2016, 38, 417–422. [Google Scholar] [CrossRef]
  179. Duan, Z.; Chen, T.; Li, H.; Zhang, C.; Liu, F. Longitudinal ultrasonic vibration effects on grinding mechanism in side and end grinding of 2.5D Cf/SiC composites. Int. J. Adv. Manuf. Technol. 2023, 129, 4185–4199. [Google Scholar] [CrossRef]
  180. Kan, Z.; Wenhe, L.; Lianjun, S.; Heng, M. Investigation on grinding temperature in ultrasonic vibration-assisted grinding of zirconia ceramics. Mach. Sci. Technol. 2019, 23, 612–628. [Google Scholar] [CrossRef]
  181. Akhonin, S.V.; Belous, V.Y.; Selin, R.V.; Schwab, S.L. Effect of TIG-Welding on the Structure and Mechanical Prop-erties of Low-Cost Titanium Alloy Ti-2.8Al-5.1Mo-4.9Fe Welded Joints. Mater. Sci. Forum 2023, 1095, 105–110. [Google Scholar] [CrossRef]
  182. Yang, F.; Raynova, S.; Singh, A.; Zhao, Q.; Romero, C.; Bolzoni, L. Producing High-Quality Titanium Alloy by a Cost-Effective Route Combining Fast Heating and Hot Processing. JOM 2018, 70, 632–637. [Google Scholar] [CrossRef]
  183. Lisowicz, J.; Habrat, W.; Krupa, K.; Janocha, P. The effect of different MQL supply strategies into the cutting zone on the tool wear when turning of Ti-6Al-4V alloy. IOP Conf. Ser. Mater. Sci. Eng. 2020, 1037, 012004. [Google Scholar] [CrossRef]
  184. Grzesik, W.; Niesłony, P.; Habrat, W. Investigation of the tribological performance of AlTiN coated cutting tools in the machining of Ti6Al4V titanium alloy in terms of demanded tool life. Eksploat. i Niezawodn.—Maint. Reliab. 2018, 21, 153–158. [Google Scholar] [CrossRef]
  185. Dredge, C.; M’saoubi, R.; Thomas, B.; Hatt, O.; Thomas, M.; Jackson, M. A low-cost machinability approach to accelerate titanium alloy development. Proc. Inst. Mech. Eng. Part B J. Eng. Manuf. 2020, 235, 1618–1632. [Google Scholar] [CrossRef]
  186. Kaynak, Y.; Gharibi, A. The effects of cutting parameters on machining performance of titanium alloy Ti-5553. Adv. Mater. Process. Technol. 2019, 5, 317–328. [Google Scholar] [CrossRef]
  187. Sutowski, P.; Święcik, R. The estimation of machining results and efficiency of the abrasive electro-discharge grinding process of Ti6Al4V titanium alloy using the high-frequency acoustic emission and force signals. Int. J. Adv. Manuf. Technol. 2018, 94, 1263–1282. [Google Scholar] [CrossRef]
  188. Yang, S.; He, C.; Zheng, M.; Wan, Q.; Zhang, Y. Temperature Field of Tool Engaged Cutting Zone for Milling of Titanium Alloy with Ball-End Milling. Micromachines 2018, 9, 672. [Google Scholar] [CrossRef] [PubMed]
  189. Das, A. Correction to: Ultrasonic-Assisted Fracture Appearance of Titanium. J. Mater. Eng. Perform. 2024, 33, 1495. [Google Scholar] [CrossRef]
  190. Słodki, B.; Zębala, W.; Struzikiewicz, G. Turning titanium alloy, grade 5 ELI, with the implementation of high pressure coolant. Materials 2019, 12, 768. [Google Scholar] [CrossRef]
  191. Wu, G.; Mao, X.; Pan, W.; Li, G.; Ding, S. The machinability of titanium alloy thin-wall parts in cooling minimum quantity lubrication (CMQL) environments. Int. J. Adv. Manuf. Technol. 2023, 129, 2875–2895. [Google Scholar] [CrossRef]
Figure 1. Summary of the review route.
Figure 1. Summary of the review route.
Technologies 13 00172 g001
Figure 2. Influence of (a) alpha and (b) beta stabilizers on the microstructure of titanium alloys. The black dashed lines indicate the metastable region of α-β alloys, while the red dashed lines depict the anticipated microstructure at ambient temperature. Additionally, (c) illustrates a common microstructure of commercially pure alpha titanium, and (d) shows a typical microstructure of an annealed Ti-6Al-4V alpha–beta alloy [39].
Figure 2. Influence of (a) alpha and (b) beta stabilizers on the microstructure of titanium alloys. The black dashed lines indicate the metastable region of α-β alloys, while the red dashed lines depict the anticipated microstructure at ambient temperature. Additionally, (c) illustrates a common microstructure of commercially pure alpha titanium, and (d) shows a typical microstructure of an annealed Ti-6Al-4V alpha–beta alloy [39].
Technologies 13 00172 g002
Figure 3. An example of α-Ti applications in aerospace: A Ti-5Al-2.5Sn fuel pump impeller used in the space shuttle main engine [40].
Figure 3. An example of α-Ti applications in aerospace: A Ti-5Al-2.5Sn fuel pump impeller used in the space shuttle main engine [40].
Technologies 13 00172 g003
Figure 4. Applications of titanium alloys in aerospace: Boeing 777 Landing Gear Structure [46].
Figure 4. Applications of titanium alloys in aerospace: Boeing 777 Landing Gear Structure [46].
Technologies 13 00172 g004
Figure 5. Normalizing microstructure of TC4 alloy at different temperatures. (a) As-deposited, (b) 810 °C/2 h/AC, (c) 870 °C/2 h/AC, (d) 930 °C/2 h/AC, and (e) 990 °C/2 h/AC [51].
Figure 5. Normalizing microstructure of TC4 alloy at different temperatures. (a) As-deposited, (b) 810 °C/2 h/AC, (c) 870 °C/2 h/AC, (d) 930 °C/2 h/AC, and (e) 990 °C/2 h/AC [51].
Technologies 13 00172 g005
Figure 6. Schematic representation of the K-factor method, defining tool cutting edge geometry using five parameters [92].
Figure 6. Schematic representation of the K-factor method, defining tool cutting edge geometry using five parameters [92].
Technologies 13 00172 g006
Figure 7. Effect of shape factor k on cutting force: (a) K < 1, the cutting force F increases with rising K due to the waterfall-type edge geometry inclined toward the flank surface; (b) K > 1, F first decreases and then increases, reaching its minimum at K = 2 as the trumpet-type edge shifts toward the rake surface [92].
Figure 7. Effect of shape factor k on cutting force: (a) K < 1, the cutting force F increases with rising K due to the waterfall-type edge geometry inclined toward the flank surface; (b) K > 1, F first decreases and then increases, reaching its minimum at K = 2 as the trumpet-type edge shifts toward the rake surface [92].
Technologies 13 00172 g007
Figure 8. SEM characterization of distinct surface textures: (a) square, (b) semi-hemispherical, (c) grooves, (d) hexagonal, (e) rectangular, and (f) triangular [97].
Figure 8. SEM characterization of distinct surface textures: (a) square, (b) semi-hemispherical, (c) grooves, (d) hexagonal, (e) rectangular, and (f) triangular [97].
Technologies 13 00172 g008
Figure 9. (a) EDS mapping of TiN-coated tool featuring textured geometries versus flat surfaces; (b) quantified cutting force magnitudes and damage metrics obtained at 100 m/min, (1), (3) flat tool; (2), (5) textured tool, and (4) direction of forces [100].
Figure 9. (a) EDS mapping of TiN-coated tool featuring textured geometries versus flat surfaces; (b) quantified cutting force magnitudes and damage metrics obtained at 100 m/min, (1), (3) flat tool; (2), (5) textured tool, and (4) direction of forces [100].
Technologies 13 00172 g009
Figure 10. Machined surface quality by flat and textured tools at different cutting speeds: surface roughness (a), optical images of the machined surface produced by a flat tool (b,c), and textured tool (d,e) [100].
Figure 10. Machined surface quality by flat and textured tools at different cutting speeds: surface roughness (a), optical images of the machined surface produced by a flat tool (b,c), and textured tool (d,e) [100].
Technologies 13 00172 g010
Figure 11. (a) XRD comparative analysis of TiAlN/WS multilayered coatings with varying bilayer thicknesses (reference patterns of TiAlN shown as dotted lines); (b) coefficient of friction, critical load, and hardness of the TiAlN and TiAlN/WS coatings with different bilayer thicknesses; (c) acoustic signal diagram, friction curves, and scratch morphologies of the multilayer growth TiAlN/WS self-lubricating coatings with different bilayer thicknesses [116].
Figure 11. (a) XRD comparative analysis of TiAlN/WS multilayered coatings with varying bilayer thicknesses (reference patterns of TiAlN shown as dotted lines); (b) coefficient of friction, critical load, and hardness of the TiAlN and TiAlN/WS coatings with different bilayer thicknesses; (c) acoustic signal diagram, friction curves, and scratch morphologies of the multilayer growth TiAlN/WS self-lubricating coatings with different bilayer thicknesses [116].
Technologies 13 00172 g011
Figure 12. Approaches to mitigating heat generation during machining processes [97].
Figure 12. Approaches to mitigating heat generation during machining processes [97].
Technologies 13 00172 g012
Figure 13. (a) Schematic of turning operation in HUVC; (b) schema of cooling condition in HUVC with HPC [121].
Figure 13. (a) Schematic of turning operation in HUVC; (b) schema of cooling condition in HUVC with HPC [121].
Technologies 13 00172 g013
Figure 14. (a) Flank wear evolution in HUVC and CC under different cooling conditions as a function of cutting distance at Vc = 400 m/min and f = 0.005 mm/r; (b) tool life variation with cutting speed in HUVC and CC at f = 0.005 mm/r under various cooling conditions; (c) tool life as a function of feed rate in HUVC and CC at Vc = 300 m/min under different cooling conditions; and (d) surface roughness variation with cutting distance in HUVC and CC at Vc = 400 m/min and f = 0.005 mm/r [121]. From (c), with the increase in feed rate, the tool lives of both CC and HUVC decrease, and HUVC is more sensitive to the change of the feed rate. When it is 0.005 mm/r, the tool life of HUVC under HPC cooling has a huge advantage compared with CC. However, when it reaches 0.15 mm/r, the tool life advantage of HUVC disappears. This shows that within an appropriate feed rate range (such as 0.005–0.010 mm/r), HUVC combined with HPC has a greater advantage in tool life, which is beneficial to high-speed machining. As for (d), at the initial stage of cutting, there is no significant difference in the surface roughness of the machined surfaces of CC and HUVC under all cooling conditions. As cutting progresses under conventional cooling, the rate of surface roughness increase in HUVC is lower than that in CC, though the disparity remains marginal. With high-pressure coolant (HPC) applied, the growth rate of surface roughness in HUVC becomes significantly lower than that in CC, and within a certain range, the higher the cooling pressure, the greater the gap between the two. This indicates that in high-speed machining, HUVC combined with HPC can obtain a better surface quality.
Figure 14. (a) Flank wear evolution in HUVC and CC under different cooling conditions as a function of cutting distance at Vc = 400 m/min and f = 0.005 mm/r; (b) tool life variation with cutting speed in HUVC and CC at f = 0.005 mm/r under various cooling conditions; (c) tool life as a function of feed rate in HUVC and CC at Vc = 300 m/min under different cooling conditions; and (d) surface roughness variation with cutting distance in HUVC and CC at Vc = 400 m/min and f = 0.005 mm/r [121]. From (c), with the increase in feed rate, the tool lives of both CC and HUVC decrease, and HUVC is more sensitive to the change of the feed rate. When it is 0.005 mm/r, the tool life of HUVC under HPC cooling has a huge advantage compared with CC. However, when it reaches 0.15 mm/r, the tool life advantage of HUVC disappears. This shows that within an appropriate feed rate range (such as 0.005–0.010 mm/r), HUVC combined with HPC has a greater advantage in tool life, which is beneficial to high-speed machining. As for (d), at the initial stage of cutting, there is no significant difference in the surface roughness of the machined surfaces of CC and HUVC under all cooling conditions. As cutting progresses under conventional cooling, the rate of surface roughness increase in HUVC is lower than that in CC, though the disparity remains marginal. With high-pressure coolant (HPC) applied, the growth rate of surface roughness in HUVC becomes significantly lower than that in CC, and within a certain range, the higher the cooling pressure, the greater the gap between the two. This indicates that in high-speed machining, HUVC combined with HPC can obtain a better surface quality.
Technologies 13 00172 g014
Figure 15. (a) Schematic view of the experimental set up for the MQL-assisted milling of Ti-6Al-4V, including a vertical machining center, high-pressure dry air supply, two-stage refrigeration system, and nozzles delivering atomized oil and cooled air to the cutting zone; (b) photographic view of the experimental setup [127].
Figure 15. (a) Schematic view of the experimental set up for the MQL-assisted milling of Ti-6Al-4V, including a vertical machining center, high-pressure dry air supply, two-stage refrigeration system, and nozzles delivering atomized oil and cooled air to the cutting zone; (b) photographic view of the experimental setup [127].
Technologies 13 00172 g015
Figure 16. (a) Flank wear with cutting time under MQL with different temperatures of cooling air; (b) surface roughness under all cutting environments [127].
Figure 16. (a) Flank wear with cutting time under MQL with different temperatures of cooling air; (b) surface roughness under all cutting environments [127].
Technologies 13 00172 g016
Figure 17. (a) SEM views of the insert and (b) chip morphology difference after machining 8 min under (A) dry, (B) wet, (C) MQL, (D) MQL with cooling air (0 °C), (E) MQL with cooling air (−15 °C), (F) MQL with cooling air (−30 °C), and (G) MQL with cooling air (−45 °C) conditions [127].
Figure 17. (a) SEM views of the insert and (b) chip morphology difference after machining 8 min under (A) dry, (B) wet, (C) MQL, (D) MQL with cooling air (0 °C), (E) MQL with cooling air (−15 °C), (F) MQL with cooling air (−30 °C), and (G) MQL with cooling air (−45 °C) conditions [127].
Technologies 13 00172 g017
Figure 18. Timeline of cryogenic machining [128].
Figure 18. Timeline of cryogenic machining [128].
Technologies 13 00172 g018
Figure 19. Tool movement: Linear vibration in feed (L-F) or speed (L-S) directions, 2D elliptical vibration in speed-feed (2D-S-F) or speed-depth (2D-S-D) directions, and 3D elliptical vibration in speed-feed-depth (3D-S-F-D) directions [150].
Figure 19. Tool movement: Linear vibration in feed (L-F) or speed (L-S) directions, 2D elliptical vibration in speed-feed (2D-S-F) or speed-depth (2D-S-D) directions, and 3D elliptical vibration in speed-feed-depth (3D-S-F-D) directions [150].
Technologies 13 00172 g019
Figure 20. Comparison of tangential (Ft), feed (Ff), and radial (Fr) forces in CT and 3D-EUAT Processes [150].
Figure 20. Comparison of tangential (Ft), feed (Ff), and radial (Fr) forces in CT and 3D-EUAT Processes [150].
Technologies 13 00172 g020
Figure 21. SEM images of the machined surfaces in cross-section (SEM conditions: HV = 20 kV and Magnification = 2000×): (a) uncut surface, and (b) 3D-EUAT and CT surface [150].
Figure 21. SEM images of the machined surfaces in cross-section (SEM conditions: HV = 20 kV and Magnification = 2000×): (a) uncut surface, and (b) 3D-EUAT and CT surface [150].
Technologies 13 00172 g021
Figure 22. (a) HRUEM process with a four-flute end mill; (b) trajectories of the tool tips in HRUEM [155].
Figure 22. (a) HRUEM process with a four-flute end mill; (b) trajectories of the tool tips in HRUEM [155].
Technologies 13 00172 g022
Figure 23. (a) Schematic of RUAD process, (b) motion trajectory of each cutter tooth on the drill bit for RUAD, and (c) schematic of rotary ultrasonic vibration drilling spindle [168].
Figure 23. (a) Schematic of RUAD process, (b) motion trajectory of each cutter tooth on the drill bit for RUAD, and (c) schematic of rotary ultrasonic vibration drilling spindle [168].
Technologies 13 00172 g023
Figure 24. Acoustic knife handle of UAHD [169].
Figure 24. Acoustic knife handle of UAHD [169].
Technologies 13 00172 g024
Figure 25. (a) Measurement position of burr height; influence of (b) ultrasonic amplitude, (c) spindle speed, and (d) feed rate on the exit burr height [169].
Figure 25. (a) Measurement position of burr height; influence of (b) ultrasonic amplitude, (c) spindle speed, and (d) feed rate on the exit burr height [169].
Technologies 13 00172 g025
Disclaimer/Publisher’s Note: The statements, opinions and data contained in all publications are solely those of the individual author(s) and contributor(s) and not of MDPI and/or the editor(s). MDPI and/or the editor(s) disclaim responsibility for any injury to people or property resulting from any ideas, methods, instructions or products referred to in the content.

Share and Cite

MDPI and ACS Style

Wang, G.; Chen, X.; Xu, Z.; Feng, F.; Zhang, J.; Zhang, X.; Feng, P. Advanced Precision Cutting Titanium Alloy Methods: A Critical Review Considering Cost, Efficiency, and Quality. Technologies 2025, 13, 172. https://doi.org/10.3390/technologies13050172

AMA Style

Wang G, Chen X, Xu Z, Feng F, Zhang J, Zhang X, Feng P. Advanced Precision Cutting Titanium Alloy Methods: A Critical Review Considering Cost, Efficiency, and Quality. Technologies. 2025; 13(5):172. https://doi.org/10.3390/technologies13050172

Chicago/Turabian Style

Wang, Guangping, Xiaoxuan Chen, Zhipeng Xu, Feng Feng, Jianfu Zhang, Xiangyu Zhang, and Pingfa Feng. 2025. "Advanced Precision Cutting Titanium Alloy Methods: A Critical Review Considering Cost, Efficiency, and Quality" Technologies 13, no. 5: 172. https://doi.org/10.3390/technologies13050172

APA Style

Wang, G., Chen, X., Xu, Z., Feng, F., Zhang, J., Zhang, X., & Feng, P. (2025). Advanced Precision Cutting Titanium Alloy Methods: A Critical Review Considering Cost, Efficiency, and Quality. Technologies, 13(5), 172. https://doi.org/10.3390/technologies13050172

Note that from the first issue of 2016, this journal uses article numbers instead of page numbers. See further details here.

Article Metrics

Back to TopTop