Artificial Intelligence Adoption in the European Union: A Data-Driven Cluster Analysis (2021–2024)
Abstract
1. Introduction
2. Literature Review
- Investigate the adoption models of AI in EU countries by analyzing the current state of AI adoption and assessing the extent and ways in which enterprises implement AI solutions, highlighting regional disparities in adoption rates and use cases.
- Identify clusters of countries with similar patterns by conducting a cluster analysis based on PCA of a large number of characteristics used to evaluate the AI adoption process and by analyzing the differences between the identified clusters.
- Analyze the changes in the AI adoption process from 2021 to 2024 by tracking the changes in the scale of AI technologies use, changes in the purposes of using AI technologies and the impact of recent innovations in the field of AI on adoption rates.
- Identify the main barriers influencing the adoption process of AI and their dynamics by discovering the main obstacles that hinder or slow down the adoption process of AI technologies in enterprises in EU countries and analyzing the dynamics of the perceived importance of these barriers until 2024.
- Identify differentiated policies, based on the characteristics of the identified clusters, that allow the adaptation of the adoption process of AI by enterprises in EU countries to become more efficient and equitable.
3. Methodology
- Silhouette score (Rousseeuw, 1987):where
- o
- a—mean intra-cluster distance;
- o
- b—mean nearest-cluster distance.
- Statistic GAP (Tibshirani et al., 2001):where
- o
- —sum of intra-cluster variances for the observed data;
- o
- —sum of intra-cluster variances for the random (null) dataset;
- o
- B—number of times the null reference distribution is sampled.
- Davies–Bouldin Index (Davies & Bouldin, 1979):where
- o
- —the average distance between points in cluster i and its centroid;
- o
- —the distance between centroids of clusters i and j.
- Caliński–Harabasz Index (Caliński & Harabasz, 1974):where
- o
- k—number of clusters;
- o
- n—total number of data points.—Between-Cluster Variance:where
- ▪
- —the number of points in cluster i;
- ▪
- —the overall mean of the dataset.
—Within-Cluster Variance: - o
- where is a data point belonging to cluster .
- Initialization: Select k initial cluster centroids, typically chosen randomly.
- Assignment Step: Assign each data point to the nearest centroid , using a chosen distance metric.
- Update Step: Compute new centroids by taking the mean of all points assigned to each cluster.
- Repeat: Iterate the assignment and update steps until centroids no longer change significantly or a stopping criterion is met (e.g., a maximum number of iterations).
- o
- k—the number of clusters;
- o
- —the set of points in cluster I;
- o
- —the centroid of cluster i, computed as:
- o
- represents the squared Euclidean distance between data point and centroid .
- Computational efficiency: K-means is relatively fast and scales well with large datasets.
- Simple and intuitive: The algorithm is straightforward in terms of understanding and implementation.
- Scalability: Works well with large-scale datasets, making it a practical choice for clustering.
- Interpretability: Results are easy to interpret, especially with well-separated clusters.
- Sensitive to initialization—Poorly chosen initial centroids can lead to suboptimal clusters.
- Based on a fixed number of clusters—The optimum number of clusters k must be fixed before using K-means algorithm, which can be challenging.
- Sensitive to outliers: Outliers can significantly affect cluster centroids, leading to distorted clustering.
4. Results
4.1. The AI Adoption Analysis at EU Level
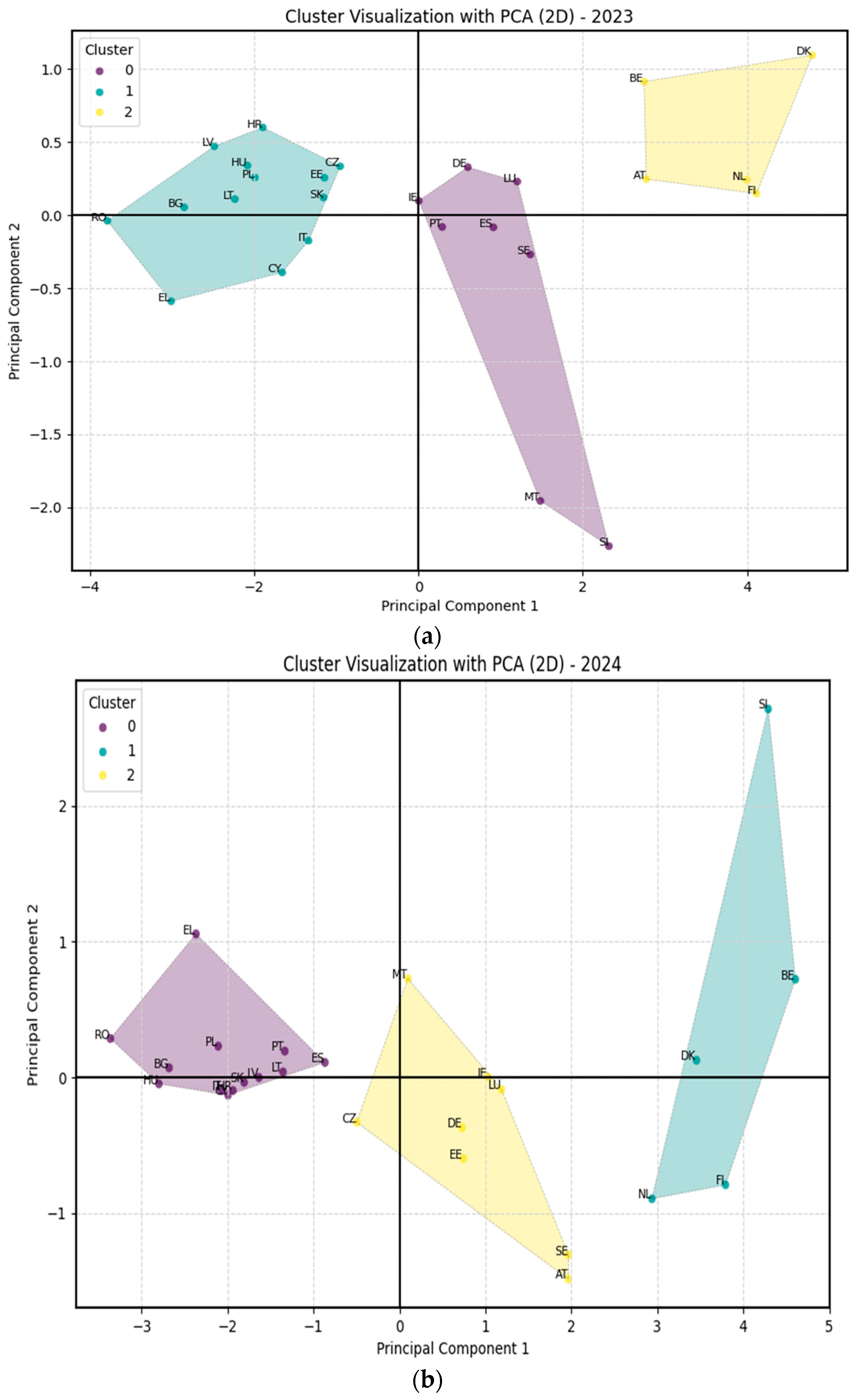
4.2. The AI Adoption Analysis at EU Countries Level
- Positive side: emphasis on bias checking for modified AI systems, whether modifications are done in-house or externally.
- Negative side: emphasis on bias checking for externally developed and ready-to-use AI systems, potentially less emphasis on bias checking for systems developed in-house.
5. Discussion
- Countries with a high level of AI adoption. This cluster includes countries with a broad and advanced integration of AI across all sectors, such as Denmark, Finland, Belgium, the Netherlands or Sweden. Recommended policies for this group aim to maintain the gained advantage and address advanced challenges to further stimulate innovation:
- –
- Continuous development of highly specialized AI skills and attracting talent globally. The shortage of highly specialized skills in leading AI fields occurs even in their case. Ensuring a permanent resource of expertise to support innovation is achieved by funding advanced AI degree programs at national level, which certify AI professionals and by facilitating partnerships between industry and academics for the continuous improvement of relevant high skills.
- –
- Investment in R&D and in the creation of environments for testing innovations. To translate this into reality, it is necessary to apply policies that balance innovation with AI regulation and control. Recommended measures include increasing funding for AI research and development and creating specialized regulatory testing environments for emerging AI solutions. Countries with high levels of AI adoption should continue to push the boundaries by supporting experimental AI projects in cutting-edge areas. Creating controlled environments with relaxed sandbox regulations allows companies to test their innovations under supervision, while also contributing to the development of better future regulations.
- –
- Improving AI governance and ethical frameworks. As AI is already widely adopted in these countries, the next logical step is to increase regulatory clarity on data privacy, AI ethics and risk management. It is recommended to update national AI strategies by including robust ethical guidelines and clear standards on transparency, safety and responsibility in AI. An example would be the implementation and popularization of mandatory guidance on algorithmic transparency and bias mitigation to help companies innovate with confidence, while ensuring public trust in AI systems.
- –
- Supporting SME adoption and sectoral diffusion. Even in leading countries, there will be SMEs or sectors that will experience gaps in the use of AI. It is necessary to create a system of specific financial incentives in the form of grants or tax credits to encourage the adoption of AI among SMEs and in areas lagging behind. Expanding the system of digital innovation centers to provide access to tools and expertise in the field of AI to SMEs.
- –
- Integrating artificial intelligence in the public sector and sharing data. Translating this recommendation into reality requires the continuous updating of digital government strategies with the aim to implementing AI and developing smart infrastructure in the field of healthcare or public administration. Another recommendation is to create national platforms for sharing high-quality, confidential datasets with AI innovators, thereby improving public services and generating the data resources needed by researchers and companies to develop new AI solutions.
- Countries with a low level of AI adoption. This cluster consists of EU countries with consistently low rates of AI adoption in most technologies and business functions, such as Romania, Bulgaria, Poland. To support faster and more effective adoption of AI, comprehensive measures are needed and to strengthen the foundations of their digital transformation strategies and policies:
- –
- Investments in digital infrastructure and connectivity. To support AI adoption, it is essential, first of all, to strengthen digital infrastructure, which can be achieved by improving connectivity and access to high-speed internet. Governments should prioritize investments in expanding networks in industrial areas, facilitating access of enterprises to cloud computing and high-performance computing services by implementing national programs or through European funds.
- –
- Implementation of a national AI strategy with funding. To accelerate the adoption of artificial intelligence, it is very important that each country, if it does not already have one, to develop a well-defined national AI strategy, based on adequate funding, and to implement it. The strategy should set clear objectives and budgets through concrete support programs, aimed at increasing the use of AI, especially among enterprises. The real involvement of enterprises should be stimulated using European funds and state aid to offer grants or tax incentives to companies that invest in AI solutions, while linking these financial benefits to the achievement of concrete measurable results.
- –
- Workforce training and digital skills programs. The lack of relevant expertise for AI is a major barrier in these countries, which is why large-scale upskilling is of utmost importance. Governments should implement measures to stimulate the organization of free or subsidized courses aimed to development of digital skills and specialized AI competencies, addressed to employees and job seekers, but also the integration of AI specialization modules in university programs and vocational education.
- –
- Promote awareness and success stories related to AI. Many companies in countries with low AI adoption are unaware of the benefits of using AI, while others are hesitant due to perceived complexity. To stimulate AI adoption, awareness of the benefits of using AI must be actively promoted and measures taken to reduce the fear of complexity. Implementing information campaigns and pilot projects in key sectors, such as industry or public services, practically popularizes the positive impact of AI. Officially promoting success stories with clear results, such as reducing downtime through predictive maintenance, inspires companies to try using AI solutions and encourages them to expand their adoption.
- –
- Regulatory clarity and testing environments. The lack of legislative clarity in the field of AI use does not encourage its adoption, especially in sensitive areas such as data protection or legal liability. Therefore, the implementation of clear guidelines on the application of existing regulations and aligning national legislation with EU legislation can help overcome this obstacle. The creation of sandbox environments for registering and testing AI systems under appropriate monitoring, without immediate compliance obligations, provides companies with a safe environment for innovation and reduces uncertainty and compliance costs, encourages investments in AI solutions and helps authorities to adapt existing regulations.
- –
- Public sector as an AI enabler. The state can have a more important role in promoting the adoption of AI by implementing government services based on AI solutions, such as automatic detection of tax fraud, chatbots supporting online administration or optimizing road traffic in cities. In this way, more efficient services are provided to the population, but also provide concrete examples for the private sector to follow. Another measure by which the state can stimulate the adoption of AI can be the launch of public procurement based on a bidding system or competition of solutions that explicitly request the development of AI solutions for real needs.
- –
- Regional and European collaboration. Countries in this cluster must integrate into a European AI ecosystem to reduce the gap and to more easily benefit from a fair digital transformation. Therefore, they should make the best use of European initiatives and partnerships to overcome the barriers encountered in the adoption process of AI. Active participation in European programs such as Digital Europe, Horizon Europe or European Digital Innovation Hubs gives them access to funding, relevant expertise and essential tools to accelerate the adoption of AI. Also, the adoption of AI can be accelerated by establishing regional collaborations based on partnerships with countries with a high level of AI adoption or by implementing joint infrastructure projects for the development of AI.
- Niche-focused countries. This cluster includes countries with moderate overall adoption of AI and strong specialization in certain AI technologies, such as Malta and Slovenia. These countries have achieved high adoption level in specific areas of AI and lagged behind in others, leaving them with specialized expertise only in the areas where they excel. Their AI policies and strategy should aim to expand the use of AI, while capitalizing on their expertise in areas of excellence:
- –
- Update the digital transformation and AI strategies by policymakers to diversify AI adoption in other fields. The updated strategies should ensure continued support for highly developed AI areas, set clear goals to ensure the expansion of AI use in other new sectors, allocate R&D funds to more AI areas and develop a system of incentives, not just financial, for developers of AI projects in new areas.
- –
- Capitalize on existing strengths by establishing centers of excellence or innovation clusters for the specialized field of AI excellence. Attracting other companies and highly qualified researchers strengthens the countries’ reputation for excellence and generates indirect benefits, such as foreign investment and highly skilled jobs. Implementing this recommendation involves creating a system of grants or tax breaks for companies operating in areas of AI excellence, with the aim of developing regional AI centers specialized in AI areas of excellence, thus turning specialization into a competitive advantage.
- –
- Encourage knowledge transfer and partnership building. Facilitate partnerships with leading AI countries to import know-how in areas other than those of excellence by participating in innovation networks developed by the EU. In this way, local companies and regulators come into direct contact with a wide range of AI use cases and accelerate the learning process.
- –
- Develop specific skills in new AI areas. Launching government-specific training initiatives to develop expertise beyond the niche domain by introducing specialized courses into the educational offer of universities, bootcamps or retraining programs in other disciplines, stimulating students through scholarships to study AI abroad in various fields and their employment in local companies.
- –
- Developing an adaptive regulatory framework. Implementing clear regulations, namely a system of sandbox testing environments for new domains, so that companies can safely innovate in new AI domains and at the same time not be discouraged by legal uncertainty.
6. Conclusions
Funding
Institutional Review Board Statement
Informed Consent Statement
Data Availability Statement
Conflicts of Interest
Abbreviations
| AI | Artificial intelligence |
| BAM | Business Administration or Management |
| EU | European Union |
| GE10 | Enterprises with at least 10 employees |
| ICT | Information and Communication Technology |
| IR | Image Recognition |
| MIS | Management Information Systems |
| ML | Machine Learning |
| MS | Marketing or Sales |
| NLG | Natural language generation |
| PA | Process automation |
| PCA | Principal component analysis |
| PM | Physical Movement |
| PP | Production Processes |
| RDI | R&D or innovation |
| SME | Small and medium-sized enterprises |
| SR | Speech recognition |
| TM | Text mining |
| WA | Workflow Automation |
References
- Agrawal, A., Gans, J., & Goldfarb, A. (2018). Prediction machines: The simple economics of artificial intelligence. Harvard Business Review Press. Available online: https://www.hachettebookgroup.com/titles/ajay-agrawal/prediction-machines/9781633695672/ (accessed on 3 February 2025).
- Ahmed, M., Seraj, R., & Islam, S. M. S. (2020). The k-means algorithm: A comprehensive survey and performance evaluation. Electronics, 9(8), 1295. [Google Scholar] [CrossRef]
- Albanesi, S., Silva, A. D. d., Jimeno, J. F., Lamo, A., & Wabitsch, A. (2023). New technologies and jobs in Europe. Social Science Research Network. [Google Scholar] [CrossRef]
- Atkinson, J., & Collins, P. (2023). Artificial intelligence and human rights at work. Available online: https://academic.oup.com/oxford-law-pro/book/57647/chapter-abstract/472191970?redirectedFrom=fulltext (accessed on 5 February 2025). [CrossRef]
- Brynjolfsson, E., Rock, D., & Syverson, C. (2018). Artificial intelligence and the modern productivity paradox: A clash of expectations and statistics. American Economic Association Papers and Proceedings, 108, 18–22. Available online: https://www.aeaweb.org/articles?id=10.1257/pandp.20181090 (accessed on 5 February 2025).
- Caliński, T., & Harabasz, J. (1974). A dendrite method for cluster analysis. Communications in Statistics, 3(1), 1–27. [Google Scholar] [CrossRef]
- Cazzaniga, M., Jaumotte, F., Li, L., Melina, G., Panton, A. J., Pizzinelli, C., Rockall, E., & Tavares, M. M. (2024). Gen-AI: Artificial intelligence and the future of work. IMF Staff Discussion Note SDN2024/001. International Monetary Fund. [Google Scholar] [CrossRef]
- Celebi, M. E., Kingravi, H. A., & Vela, P. A. (2013). A comparative study of efficient initialization methods for the k-means clustering algorithm. Expert Systems with Applications, 40(1), 200–210. [Google Scholar] [CrossRef]
- Davies, D. L., & Bouldin, D. W. (1979). A cluster separation measure. IEEE Transactions on Pattern Analysis and Machine Intelligence, PAMI-1, 224–227. [Google Scholar] [CrossRef]
- European Commission. (2018). European approach to artificial intelligence. Available online: https://ec.europa.eu/digital-single-market/en/artificial-intelligence (accessed on 3 February 2025).
- European Commission. (2024). EU-AI act. Available online: https://digital-strategy.ec.europa.eu/en/policies/regulatory-framework-ai (accessed on 3 February 2025).
- Eurostat. (2024). Digital economy and society, comprehensive database. Available online: https://ec.europa.eu/eurostat/web/digital-economy-and-society/database/comprehensive-database (accessed on 3 February 2025).
- Gualandri, F., & Kuzior, A. (2024). Drivers of AI adoption in enterprises: A European-wide analysis. Materials Research Proceedings, 45, 240–248. [Google Scholar] [CrossRef]
- Hartigan, J. A. (1975). Clustering algorithms. John Wiley & Sons, Inc. ISBN 0-471-35645-X. [Google Scholar]
- Hartigan, J. A., & Wong, M. A. (1979). Algorithm AS 136: A K-means clustering algorithm. Journal of the Royal Statistical Society, Series C (Applied Statistics), 28(1), 100–108. [Google Scholar] [CrossRef]
- Ikotun, A. M., Ezugwu, A. E., Abualigah, L., Abuhaija, B., & Heming, J. (2023). K-means clustering algorithms: A comprehensive review, variants analysis, and advances in the era of big data. Information Sciences, 622, 178–210. [Google Scholar] [CrossRef]
- Kumar, K. Y., & Das, V. T. (2024). Role of artificial intelligence in enhancing productivity and human-machine integration-industry 5.0-an empirical analysis. EPRA International Journal of Economics, Business and Management, 7, 1–9. [Google Scholar] [CrossRef]
- Kumar, S., & Mittal, S. (2024). Employee learning and skilling in AI embedded organizations—Predictors and outcomes. Development and Learning in Organizations, 38(4), 11–15. [Google Scholar] [CrossRef]
- Kurniawan, A., Khuzaini, K., & Shaddiq, S. (2024). Application of artificial intelligence in increasing the effectiveness of HR behavior in the era of industry 4.0. Systematic literature review method. Proceeding: Islamic University of Kalimantan. [Google Scholar] [CrossRef]
- Li, L. (2022). Reskilling and upskilling the future-ready workforce for Industry 4.0 and beyond. Information Systems Frontiers, 26(5), 1697–1712. [Google Scholar] [CrossRef] [PubMed]
- Liang, Y. (2024). The impact of artificial intelligence on employment and income distribution. Journal of Education, Humanities and Social Sciences, 27, 166–171. [Google Scholar] [CrossRef]
- Lloyd, S. (1982). Least squares quantization in PCM. IEEE Transactions on Information Theory, 28(2), 129–137. [Google Scholar] [CrossRef]
- Luise, G. (2024). The European path to artificial intelligence: The innovation of the 21st century. Perspective Politice. [Google Scholar] [CrossRef]
- MacQueen, J. B. (1967). Some methods for classification and analysis of multivariate observations. In Proceedings of the 5th Berkeley symposium on mathematical statistics and probability, volume 1: Statistics (pp. 281–297). University of California Press. Available online: http://projecteuclid.org/euclid.bsmsp/1200512992 (accessed on 5 February 2025).
- Manyika, J., Chui, M., Miremadi, M., Bughin, J., George, K., Willmott, P., & Dewhurst, M. (2017). A future that works: Automation, employment, and productivity. McKinsey Global Institute. Available online: https://www.mckinsey.com/~/media/mckinsey/featured%20insights/digital%20disruption/harnessing%20automation%20for%20a%20future%20that%20works/mgi-a-future-that-works-full-report-updated.pdf (accessed on 3 February 2025).
- Marino, A., Pariso, P., & Picariello, M. (2022). Transition towards the artificial intelligence via re-engineering of digital platforms: Comparing European Member States. Entrepreneurship and Sustainability Issues, 9(3), 350. [Google Scholar] [CrossRef]
- Mudholkar, P., & Mudholkar, M. (2024). Revolutionizing performance management: A Comprehensive review of AI and IoT impacts. Journal of Informatics Education and Research, 4(1), 602–611. [Google Scholar] [CrossRef]
- Popa, D. M. (2024). Frontrunner model for responsible AI governance in the public sector: The Dutch perspective. AI and Ethics. [Google Scholar] [CrossRef]
- Rousseeuw, P. J. (1987). Silhouettes: A graphical aid to the interpretation and validation of cluster analysis. Journal of Computational and Applied Mathematics, 20(1), 53–65. [Google Scholar] [CrossRef]
- Rožman, M., Tominc, P., & Milfelner, B. (2023). Maximizing employee engagement through artificial intelligent organizational culture in the context of leadership and training of employees: Testing linear and non-linear relationships. Cogent Business & Management, 10(2), 2248732. [Google Scholar] [CrossRef]
- Santhosh, A., Unnikrishnan, R., Shibu, S., Meenakshi, K. M., & Joseph, G. (2023). AI impact on job automation. International Journal of Engineering Technology and Management Sciences, 7, 410–425. [Google Scholar] [CrossRef]
- Susilo, B. W., & Susanto, E. (2024). Employing artificial intelligence in management information systems to improve business efficiency. Journal of Management and Informatics, 3(2), 212–229. [Google Scholar] [CrossRef]
- Tibshirani, R., Walther, G., & Hastie, T. (2001). Estimating the number of clusters in a data set via the gap statistic. The Journal of the Royal Statistical Society, Series B (Statistical Methodology), 63(2), 411–423. [Google Scholar] [CrossRef]
- Tortoise Media. (2024). The global AI index. Available online: https://www.tortoisemedia.com/intelligence/global-ai#rankings (accessed on 23 February 2025).
- Woszczyna, K., & Mania, K. (2023). The European map of artificial intelligence development policies: A comparative analysis. International Journal of Contemporary Management, 59(3), 78–87. [Google Scholar] [CrossRef]
- Yi, Z., & Ayangbah, S. (2024). The impact of AI innovation management on organizational productivity and economic growth: An analytical study. International Journal of Business Management and Economic Review, 7, 61–84. [Google Scholar] [CrossRef]
- Zahidi, S., Ratcheva, V., Hingel, G., & Brown, S. (2020). The future of jobs report 2020. World Economic Forum. Available online: https://www3.weforum.org/docs/WEF_Future_of_Jobs_2020.pdf (accessed on 3 February 2025).
























| Year | PC Components |
|---|---|
| 2021 | PC1 = 0.399 × (AI for PM) + 0.302 × (AI for IR) + 0.413 × (AI for ML) + 0.401 × (AI for NLG) + 0.392 × (AI for WA) + 0.361 × (AI for SR) + 0.367 × (AI for TM) |
| PC2 = −0.192 × (AI for PM) + 0.819 × (AI for IR) − 0.029 × (AI for ML) + 0.281 × (AI for NLG) − 0.242 × (AI for WA) − 0.106 × (AI for SR) − 0.378 × (AI for TM) | |
| 2023 | PC1 = 0.389 × (AI for PM) + 0.331 × (AI for IR) + 0.407 × (AI for ML) + 0.399 × (AI for NLG) + 0.386 × (AI for WA) + 0.375 × (AI for SR) + 0.353 × (AI for TM) |
| PC2 = 0.104 × (AI for PM) + 0.720 × (AI for IR) − 0.104 × (AI for ML) + 0.268 × (AI for NLG) − 0.148 × (AI for WA) − 0.241 × (AI for SR) − 0.555 × (AI for TM) | |
| 2024 | PC1 = 0.382 × (AI for PM) + 0.293 × (AI for IR) + 0.391 × (AI for ML) + 0.401 × (AI for NLG) + 0.401 × (AI for WA) + 0.381 × (AI for SR) + 0.386 × (AI for TM) |
| PC2 = 0.233 × (AI for PM) + 0.838 × (AI for IR) − 0.240 × (AI for ML) + 0.061 × (AI for NLG) − 0.122 × (AI for WA) − 0.213 × (AI for SR) − 0.350 × (AI for TM) |
| Year | PC Components |
|---|---|
| 2023 | PC1 = 0.343 × (AI for ICT security) + 0.386 × (AI for logistics) + 0.376 × (AI for PP) + 0.392 × (AI for MS) + 0.393 × (AI for BAM) + 0.362 × (AI for ACFM) + 0.390 × (AI for RDI) |
| PC2 = −0.641 × (AI for ICT security) + 0.190 × (AI for logistics) − 0.209 × (AI for PP) − 0.193 × (AI for MS) + 0.224 × (AI for BAM) + 0.648 × (AI for ACFM) − 0.056 × (AI for RDI) | |
| 2024 | PC1 = 0.341 × (AI for ICT security) + 0.378 × (AI for logistics) + 0.361 × (AI for PP) + 0.397 × (AI for MS) + 0.402 × (AI for BAM) + 0.393 × (AI for ACFM) + 0.369 × (AI for RDI) |
| PC2 = 0.692 × (AI for ICT security) + 0.418 × (AI for logistics) − 0.477 × (AI for PP) − 0.106 × (AI for MS) − 0.045 × (AI for BAM) − 0.133 × (AI for ACFM) − 0.295 × (AI for RDI) |
| Year | PC Components |
|---|---|
| 2023 | PC1 = 0.575 × (AI for at least one purpose) + 0.581 × (AI for at least two purposes) + 0.576 × (AI for at least three purposes) |
| PC2 = 0.725 × (AI for at least one purpose) − 0.036 × (AI for at least two purposes) − 0.688 × (AI for at least three purposes) | |
| 2024 | PC1 = 0.572 × (AI for at least one purpose) + 0.586 × (AI for at least two purposes) + 0.575 × (AI for at least three purposes) |
| PC2 = 0.742 × (AI for at least one purpose) − 0.071 × (AI for at least two purposes) − 0.667 × (AI for at least three purposes) |
| Year | PC Components |
|---|---|
| 2021 | PC1 = 0.444 × (AI developed by own employees) + 0.451 × (AI developed or modified by external providers) + 0.446 × (AI commercial software or systems modified by own employees) + 0.453 × (AI open-source software or systems modified by own employees) + 0.432 × (AI commercial soft ware or systems ready to use) |
| PC2 = 0.045 × (AI developed by own employees) − 0.437 × (AI developed or modified by external providers) + 0.571 × (AI commercial software or systems modified by own employees) − 0.686 × (AI open-source software or systems modified by own employees) + 0.033 × (AI commercial soft ware or systems ready to use) | |
| 2023 | PC1 = 0.441 × (AI developed by own employees) + 0.447 × (AI developed or modified by external providers) + 0.444 × (AI commercial software or systems modified by own employees) + 0.449 × (AI open-source software or systems modified by own employees) + 0.437 × (AI commercial soft ware or systems ready to use) |
| PC2 = 0.236 × (AI developed by own employees) − 0.609 × (AI developed or modified by external providers) + 0.439 × (AI commercial software or systems modified by own employees) − 0.582 × (AI open-source software or systems modified by own employees) + 0.130 × (AI commercial soft ware or systems ready to use) | |
| 2024 | PC1 = 0.424 × (AI developed by own employees) + 0.431 × (AI developed or modified by external providers) + 0.423 × (AI commercial software or systems modified by own employees) + 0.430 × (AI open-source software or systems modified by own employees) + 0.479 × (AI commercial soft ware or systems ready to use) |
| PC2 = 0.252 × (AI developed by own employees) + 0.356 × (AI developed or modified by external providers) − 0.187 × (AI commercial software or systems modified by own employees) − 0.292 × (AI open-source software or systems modified by own employees) + 0.807 × (AI commercial soft ware or systems ready to use) |
| Year | PC Components |
|---|---|
| 2021 | PC1 = 0.373 × (Data protection/privacy concerns) + 0.352 × (Costs too high) + 0.359 × (Data availability/quality issues) + 0.303 × (Ethical considerations) + 0.365 × (Incompatibility) + 0.349 × (Lack of expertise) + 0.363 × (Lack of legal clarity) + 0.359 × (AI not useful) |
| PC2 = 0.100 × (Data protection/privacy concerns) + 0.044 × (Costs too high) − 0.403 × (Data availability/quality issues) + 0.624 × (Ethical considerations) − 0.360 × (Incompatibility) − 0.420 × (Lack of expertise) + 0.302 × (Lack of legal clarity) + 0.199 × (AI not useful) | |
| 2023 | PC1 = 0.364 × (Data protection/privacy concerns) + 0.333 × (Costs too high) + 0.372 × (Data availability/quality issues) + 0.330 × (Ethical considerations) + 0.361 × (Incompatibility) + 0.361 × (Lack of expertise) + 0.372 × (Lack of legal clarity) + 0.332 × (AI not useful) |
| PC2 = −0.312 × (Data protection/privacy concerns) + 0.313 × (Costs too high) − 0.250 × (Data availability/quality issues) + 0.582 × (Ethical considerations) − 0.355 × (Incompatibility) − 0.328 × (Lack of expertise) + 0.058 × (Lack of legal clarity) + 0.407 × (AI not useful) | |
| 2024 | PC1 = 0.365 × (Data protection/privacy concerns) + 0.286 × (Costs too high) + 0.377 × (Data availability/quality issues) + 0.356 × (Ethical considerations) + 0.372 × (Incompatibility) + 0.360 × (Lack of expertise) + 0.370 × (Lack of legal clarity) + 0.334 × (AI not useful) |
| PC2 = −0.271 × (Data protection/privacy concerns) + 0.734 × (Costs too high) − 0.107 × (Data availability/quality issues) − 0.206 × (Ethical considerations) + 0.187 × (Incompatibility) − 0.336 × (Lack of expertise) − 0.200 × (Lack of legal clarity) + 0.382 × (AI not useful) |
| Year | PC Components |
|---|---|
| 2024 | PC1 = 0.451 × (Bias check − AI developed by own employees) + 0.442 × (Bias check − AI developed/modified by external providers) + 0.443 × (Bias check − Commercial AI modified by own employees) + 0.446 × (Bias check − Open-source AI modified by own employees) + 0.453 × (Bias check − Ready-to-use commercial AI) |
| PC2 = −0.136 × (Bias check − AI developed by own employees) − 0.521 × (Bias check − AI developed/modified by external providers) + 0.524 × (Bias check − Commercial AI modified by own employees) + 0.530 × (Bias check − Open-source AI modified by own employees) − 0.391 × (Bias check − Ready-to-use commercial AI) |
Disclaimer/Publisher’s Note: The statements, opinions and data contained in all publications are solely those of the individual author(s) and contributor(s) and not of MDPI and/or the editor(s). MDPI and/or the editor(s) disclaim responsibility for any injury to people or property resulting from any ideas, methods, instructions or products referred to in the content. |
© 2025 by the author. Licensee MDPI, Basel, Switzerland. This article is an open access article distributed under the terms and conditions of the Creative Commons Attribution (CC BY) license (https://creativecommons.org/licenses/by/4.0/).
Share and Cite
Ionașcu, C.M. Artificial Intelligence Adoption in the European Union: A Data-Driven Cluster Analysis (2021–2024). Economies 2025, 13, 145. https://doi.org/10.3390/economies13050145
Ionașcu CM. Artificial Intelligence Adoption in the European Union: A Data-Driven Cluster Analysis (2021–2024). Economies. 2025; 13(5):145. https://doi.org/10.3390/economies13050145
Chicago/Turabian StyleIonașcu, Costel Marian. 2025. "Artificial Intelligence Adoption in the European Union: A Data-Driven Cluster Analysis (2021–2024)" Economies 13, no. 5: 145. https://doi.org/10.3390/economies13050145
APA StyleIonașcu, C. M. (2025). Artificial Intelligence Adoption in the European Union: A Data-Driven Cluster Analysis (2021–2024). Economies, 13(5), 145. https://doi.org/10.3390/economies13050145

