Fully Transparent and Highly Sensitive pH Sensor Based on an a-IGZO Thin-Film Transistor with Coplanar Dual-Gate on Flexible Polyimide Substrates
Abstract
1. Introduction
2. Materials and Methods
3. Results
3.1. C–V Characteristics of the Coplanar Dual-Gate
3.2. DC Bias Coupling Test of the a-IGZO Coplanar Dual-Gate TFT
3.3. pH Sensing Characteristics of the a-IGZO Coplanar Dual-Gate TFT pH sensor
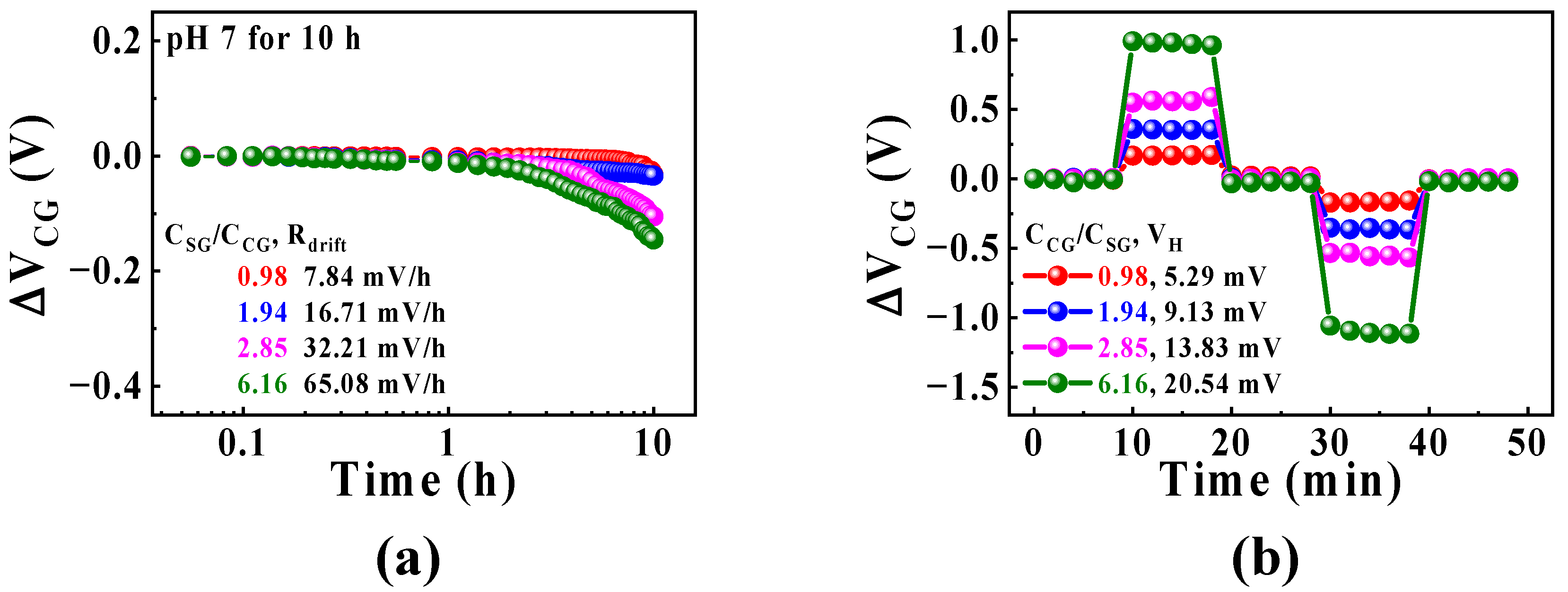
3.4. Non-Ideal Behavior of the a-IGZO Coplanar Gate TFT pH Sensor
3.5. Bending Test of the a-IGZO Coplanar Dual Gate TFT
4. Conclusions
Author Contributions
Funding
Institutional Review Board Statement
Informed Consent Statement
Data Availability Statement
Acknowledgments
Conflicts of Interest
References
- Singh, A.K.; Pandey, A.; Chakrabarti, P. Fabrication, characterization, and application of CuO nano wires as electrode for ammonia sensing in aqueous environment using extended gate-FET. IEEE Sens. J. 2021, 21, 5779–5786. [Google Scholar] [CrossRef]
- Capua, L.; Sprunger, Y.; Elettro, H.; Risch, F.; Grammoustianou, A.; Midahuen, R.; Ernst, T.; Barraud, S.; Gill, R.; Ionescu, A.M. Label-free C-reactive protein Si nanowire FET sensor arrays with super-Nernstian back-gate operation. IEEE Trans. Electron Devices 2022, 69, 2159–2165. [Google Scholar] [CrossRef]
- Dolai, S.; Tabib-Azar, M. Zika virus field effect transistor. IEEE Sens. J. 2021, 21, 4122–4128. [Google Scholar] [CrossRef]
- Bausells, J.; Carrabina, J.; Errachid, A.; Merlos, A. Ion-sensitive field-effect transistors fabricated in a commercial CMOS technology. Sens. Actuators B Chem. 1999, 57, 56–62. [Google Scholar] [CrossRef]
- Moser, N.; Lande, T.S.; Toumazou, C.; Georgiou, P. ISFETs in CMOS and emergent trends in instrumentation: A review. IEEE Sens. J. 2016, 16, 6496–6514. [Google Scholar] [CrossRef]
- Olthuis, W.; Robben, M.A.M.; Bergveld, P.; Bos, M.; van der Linden, W.E. pH sensor properties of electrochemically grown iridium oxide. Sens. Actuators B Chem. 1990, 2, 247–256. [Google Scholar] [CrossRef]
- Bergveld, P. Development of an ion-sensitive solid-state device for neurophysiological measurements. IEEE Trans. Biomed. Eng. 1970, BME-17, 70–71. [Google Scholar] [CrossRef]
- van der Spiegel, J.; Lauks, I.; Chan, P.; Babic, D. The extended gate chemically sensitive field effect transistor as multi-species microprobe. Sens. Actuators 1983, 4, 291–298. [Google Scholar] [CrossRef]
- Rao, L.; Wang, P.; Qian, Y.; Zhou, G.; Nötzel, R. Comparison of the extended gate field-effect transistor with direct potentiometric sensing for super-Nernstian InN/InGaN quantum dots. ACS Omega 2020, 5, 32800–32805. [Google Scholar] [CrossRef] [PubMed]
- Xue, M.; Mackin, C.; Weng, W.-H.; Zhu, J.; Luo, Y.; Luo, S.-X.L.; Lu, A.-Y.; Hempel, M.; McVay, E.; Kong, J.; et al. Integrated biosensor platform based on graphene transistor arrays for real-time high-accuracy ion sensing. Nat. Commun. 2022, 13, 5064. [Google Scholar] [CrossRef]
- Chen, C.-P.; Ganguly, A.; Lu, C.-Y.; Chen, T.-Y.; Kuo, C.-C.; Chen, R.-S.; Tu, W.-H.; Fischer, W.B.; Chen, K.-H.; Chen, L.-C. Ultrasensitive in situ label-free DNA detection using a GaN nanowire-based extended-gate field-effect-transistor sensor. Anal. Chem. 2011, 83, 1938–1943. [Google Scholar] [CrossRef]
- Spijkman, M.; Smits, E.C.P.; Cillessen, J.F.M.; Biscarini, F.; Blom, P.W.M.; de Leeuw, D.M. Beyond the Nernst-limit with dual-gate ZnO ion-sensitive field-effect transistors. Appl. Phys. Lett. 2011, 98, 043502. [Google Scholar] [CrossRef]
- Knopfmacher, O.; Tarasov, A.; Fu, W.; Wipf, M.; Niesen, B.; Calame, M.; Schönenberger, C. Nernst limit in dual-gated Si-nanowire FET sensors. Nano Lett. 2010, 10, 2268–2274. [Google Scholar] [CrossRef]
- Spijkman, M.-J.; Myny, K.; Smits, E.C.P.; Heremans, P.; Blom, P.W.M.; de Leeuw, D.M. Dual-gate thin-film transistors, integrated circuits and sensors. Adv. Mater. 2011, 23, 3231–3242. [Google Scholar] [CrossRef] [PubMed]
- Lee, I.-K.; Lee, K.H.; Lee, S.; Cho, W.-J. Microwave annealing effect for highly reliable biosensor: Dual-gate ion-sensitive field-effect transistor using amorphous InGaZnO thin-film transistor. ACS Appl. Mater. Interfaces 2014, 6, 22680–22686. [Google Scholar] [CrossRef] [PubMed]
- Cheng, Q.; Wang, M.; Tao, M.; Yin, R.; Li, Y.; Yang, N.; Xu, W.; Gao, C.; Hao, Y.; Yang, Z. Planar dual gate GaN HEMT cascode amplifier as a voltage readout PH sensor with high and tunable sensitivities. IEEE Electron Device Lett. 2020, 41, 485–488. [Google Scholar] [CrossRef]
- Jang, H.-J.; Gu, J.-G.; Cho, W.-J. Sensitivity enhancement of amorphous InGaZnO thin film transistor based extended gate field-effect transistors with dual-gate operation. Sens. Actuators B Chem. 2013, 181, 880–884. [Google Scholar] [CrossRef]
- Cho, S.-K.; Cho, W.-J. Ultra-high sensitivity pH-sensors using silicon nanowire channel dual-gate field-effect transistors fabricated by electrospun polyvinylpyrrolidone nanofibers pattern template transfer. Sens. Actuators B Chem. 2021, 326, 128835. [Google Scholar] [CrossRef]
- Costa, J.C.; Pouryazdan, A.; Panidi, J.; Spina, F.; Anthopoulos, T.D.; Liedke, M.O.; Schneider, C.; Wagner, A.; Münzenrieder, N. Flexible IGZO TFTs and their suitability for space applications. IEEE J. Electron Devices Soc. 2019, 7, 1182–1190. [Google Scholar] [CrossRef]
- Segev-Bar, M.; Haick, H. Flexible sensors based on nanoparticles. ACS Nano 2013, 7, 8366–8378. [Google Scholar] [CrossRef]
- Hu, B.; Chen, W.; Zhou, J. High performance flexible sensor based on inorganic nanomaterials. Sens. Actuators B Chem. 2013, 176, 522–533. [Google Scholar] [CrossRef]
- Xu, K.; Lu, Y.; Takei, K. Multifunctional skin-inspired flexible sensor systems for wearable electronics. Adv. Mater. Technol. 2019, 4, 1800628. [Google Scholar] [CrossRef]
- Nag, A.; Mukhopadhyay, S.C.; Kosel, J. Wearable flexible Sensors: A review. IEEE Sens. J. 2017, 17, 3949–3960. [Google Scholar] [CrossRef]
- Nakata, S.; Arie, T.; Akita, S.; Takei, K. Wearable, flexible, and multifunctional healthcare device with an ISFET chemical sensor for simultaneous sweat PH and skin temperature monitoring. ACS Sens. 2017, 2, 443–448. [Google Scholar] [CrossRef]
- Kamiya, T.; Hosono, H. Material characteristics can applications of transparent amorphous oxide semiconductor. NPG Asia Mater. 2010, 2, 15–22. [Google Scholar] [CrossRef]
- Han, S.-T.; Peng, H.; Sun, Q.; Venkatesh, S.; Chung, K.-S.; Lau, S.C.; Zhou, Y.; Roy, V.A.L. An overview of the development of flexible sensors. Adv. Mater. 2017, 29, 1700375. [Google Scholar] [CrossRef]
- Vilela, D.; Romeo, A.; Sánchez, S. Flexible sensors for biomedical technology. Lab A Chip 2016, 16, 402–408. [Google Scholar] [CrossRef]
- Jakob, M.H.; Gutsch, S.; Chatelle, C.; Krishnaraja, A.; Fahlteich, J.; Weber, W.; Zacharias, M. Flexible thin film PH sensor based on low-temperature atomic layer deposition. Phys. Status Solidi-Rapid Res. Lett. 2017, 11, 1700123. [Google Scholar] [CrossRef]
- Mansouri Majd, S.; Salimi, A. Ultrasensitive flexible FET-type aptasensor for CA 125 cancer marker detection based on carboxylated multiwalled carbon nanotubes immobilized onto reduced graphene oxide film. Anal. Chim. Acta 2018, 1000, 273–282. [Google Scholar] [CrossRef]
- Park, S.J.; Kwon, O.S.; Lee, S.H.; Song, H.S.; Park, T.H.; Jang, J. Ultrasensitive flexible graphene based field-effect transistor (FET)-type bioelectronic nose. Nano Lett. 2012, 12, 5082–5090. [Google Scholar] [CrossRef]
- Singh, K.; Her, J.-L.; Lou, B.-S.; Pang, S.-T.; Pan, T.-M. An extended-gate FET-based pH sensor with an InZnxOy membrane fabricated on a flexible polyimide substrate at room temperature. IEEE Electron Device Lett. 2019, 40, 804–807. [Google Scholar] [CrossRef]
- Gao, X.; Lin, L.; Liu, Y.; Huang, X. LTPS TFT process on polyimide substrate for flexible AMOLED. J. Disp. Technol. 2015, 11, 666–669. [Google Scholar] [CrossRef]
- Kamiya, T.; Nomura, K.; Hosono, H. Present status of amorphous In–Ga–Zn–O thin-film transistors. Sci. Technol. Adv. Mater. 2010, 11, 044305. [Google Scholar] [CrossRef]
- Chen, S.; Bomer, J.G.; Carlen, E.T.; van den Berg, A. Al2O3/silicon nanoISFET with near ideal Nernstian response. Nano Lett. 2011, 11, 2334–2341. [Google Scholar] [CrossRef]
- Yates, D.E.; Levine, S.; Healy, T.W. Site-binding model of the electrical double layer at the oxide/water interface. J. Chem. Soc. Faraday Trans. 1 1974, 70, 1807–1818. [Google Scholar] [CrossRef]
- Tarasov, A.; Wipf, M.; Bedner, K.; Kurz, J.; Fu, W.; Guzenko, V.A.; Knopfmacher, O.; Stoop, R.L.; Calame, M.; Schönenberger, C. True reference nanosensor realized with silicon nanowires. Langmuir 2012, 28, 9899–9905. [Google Scholar] [CrossRef] [PubMed]
- Landheer, D.; Aers, G.; McKinnon, W.R.; Deen, M.J.; Ranuares, J.C. Model for the field effect from layers of biological macromolecules on the gates of metal-oxide semiconductor transistors. J. Appl. Phys 2005, 98, 044701. [Google Scholar] [CrossRef]
- Chou, J.-C.; Liao, L.P. Study on pH at the point of zero charge of TiO2 pH ion-sensitive field effect transistor made by the sputtering method. Thin Solid Film. 2005, 476, 157–161. [Google Scholar] [CrossRef]
- Tsai, C.-N.; Chou, J.-C.; Sun, T.-P.; Hsiung, S.-K. Study on the sensing characteristics and hysteresis effect of the tin oxide pH electrode. Sens. Actuators B Chem 2005, 108, 877–882. [Google Scholar] [CrossRef]
- Jamasb, S.; Collins, S.; Smith, R.L. A physical model for drift in pH ISFETs. Sens. Actuators B Chem. 1998, 49, 146–155. [Google Scholar] [CrossRef]
- Bousse, L.; Bergveld, P. The role of buried OH sites in the response mechanism of inorganic-gate pH-sensitive ISFETs. Sens. Actuators 1984, 6, 65–78. [Google Scholar] [CrossRef]
- Cheng, J.; Wu, L.; Du, X.-W.; Jin, Q.-H.; Zhao, J.-L.; Xu, Y.-S. Flexible solution-gated graphene field effect transistor for electrophysiological recording. J. Microelectromech Syst. 2014, 23, 1311–1317. [Google Scholar] [CrossRef]
- Shin, K.; Xiong, W.; Cho, C.Y.; Cleavelin, C.R.; Schulz, T.; Schruefer, K.; Patruno, P.; Smith, L.; Liu, T.-J.K. Study of bending-induced strain effects on MuGFET performance. IEEE Electron Device Lett. 2006, 27, 671–673. [Google Scholar] [CrossRef]







| CSG/CCG | ΔVCG/ΔVSG | R2 (%) |
|---|---|---|
| 0.98 | 0.99 | 99.93 |
| 1.94 | 1.99 | 99.95 |
| 2.85 | 2.86 | 99.99 |
| 6.16 | 6.13 | 99.98 |
| CSG/CCG | Sensitivity (mV/pH) | ΔVCG/ΔVSG | VH (mV) | Rdrift (mV/h) | VH to Sensitivity (%) | Rdrift to Sensitivity (%) |
|---|---|---|---|---|---|---|
| 0.98 | 57.77 | 0.99 | 5.29 | 7.84 | 9.1 | 13.3 |
| 1.94 | 116.4 | 1.99 | 9.13 | 16.71 | 7.8 | 14.4 |
| 2.85 | 174.38 | 2.99 | 13.83 | 32.21 | 7.9 | 18.5 |
| 6.16 | 359.28 | 6.16 | 20.54 | 65.08 | 5.7 | 18.1 |
| CSG/CCG | Sensitivity before Bending (mV/pH) | Bending Cycles (Times) | Sensitivity after Bending (mV/pH) | Decrease Rate of Sensitivity after Bending (%) |
|---|---|---|---|---|
| 0.98 | 58.77 | 100 | 57.42 | 2.3 |
| 200 | 57.28 | 2.5 | ||
| 300 | 56.98 | 3.0 | ||
| 400 | 56.52 | 3.8 | ||
| 500 | 56.45 | 3.9 | ||
| 1.94 | 116.40 | 100 | 116.08 | 0.3 |
| 200 | 115.89 | 0.4 | ||
| 300 | 114.77 | 1.4 | ||
| 400 | 113.73 | 2.3 | ||
| 500 | 113.60 | 2.4 | ||
| 2.85 | 174.38 | 100 | 173.37 | 0.6 |
| 200 | 172.90 | 0.8 | ||
| 300 | 169.46 | 2.8 | ||
| 400 | 168.99 | 3.1 | ||
| 500 | 165.45 | 5.1 | ||
| 6.16 | 359.28 | 100 | 358.02 | 0.3 |
| 200 | 356.69 | 0.7 | ||
| 300 | 351.19 | 2.3 | ||
| 400 | 349.58 | 2.7 | ||
| 500 | 345.09 | 3.8 |
Disclaimer/Publisher’s Note: The statements, opinions and data contained in all publications are solely those of the individual author(s) and contributor(s) and not of MDPI and/or the editor(s). MDPI and/or the editor(s) disclaim responsibility for any injury to people or property resulting from any ideas, methods, instructions or products referred to in the content. |
© 2023 by the authors. Licensee MDPI, Basel, Switzerland. This article is an open access article distributed under the terms and conditions of the Creative Commons Attribution (CC BY) license (https://creativecommons.org/licenses/by/4.0/).
Share and Cite
Hyun, T.-H.; Cho, W.-J. Fully Transparent and Highly Sensitive pH Sensor Based on an a-IGZO Thin-Film Transistor with Coplanar Dual-Gate on Flexible Polyimide Substrates. Chemosensors 2023, 11, 46. https://doi.org/10.3390/chemosensors11010046
Hyun T-H, Cho W-J. Fully Transparent and Highly Sensitive pH Sensor Based on an a-IGZO Thin-Film Transistor with Coplanar Dual-Gate on Flexible Polyimide Substrates. Chemosensors. 2023; 11(1):46. https://doi.org/10.3390/chemosensors11010046
Chicago/Turabian StyleHyun, Tae-Hwan, and Won-Ju Cho. 2023. "Fully Transparent and Highly Sensitive pH Sensor Based on an a-IGZO Thin-Film Transistor with Coplanar Dual-Gate on Flexible Polyimide Substrates" Chemosensors 11, no. 1: 46. https://doi.org/10.3390/chemosensors11010046
APA StyleHyun, T.-H., & Cho, W.-J. (2023). Fully Transparent and Highly Sensitive pH Sensor Based on an a-IGZO Thin-Film Transistor with Coplanar Dual-Gate on Flexible Polyimide Substrates. Chemosensors, 11(1), 46. https://doi.org/10.3390/chemosensors11010046

