Identification of Degradation Products of the New Anticancer Drug Substance ONC201 by Liquid Chromatography–High-Resolution Multistage Mass Spectrometry
Abstract
1. Introduction
2. Materials and Methods
2.1. Reagents
2.2. Analytical Conditions
2.3. Forced Degradation Test
2.4. In Silico Toxicological Assessment
3. Results and Discussion
3.1. Stability Profile of ONC201 Based on Its Behaviour under Different Stress Conditions
- The guidelines ICH Q3A [25] and ICH Q3B [26] have proposed thresholds beyond which specific measures (reporting, identification and toxicological qualification) must be undertaken for the degradation products. In the precise case of ONC201, as the intake of ONC201 may not exceed 100 mg per day, the thresholds of identification applicable for the drug substance and for the drug product, calculated from peak areas in LC-UV, are 0.1% and 0.2%, respectively. Thus, it was decided that any degradation product for which the signal exceeded 0.1% relative to that obtained for ONC201 should be identified.
- In addition, to avoid considering irrelevant degradation products, none of the products formed after loss of more than 20% of ONC201 were studied, as they are considered unlikely to occur under real storage conditions. The aim was indeed to obtain as much predictive value as possible from these results.
- ONC201 was found to be stable under hydrolytic and thermal stress conditions, as no degradation products were detected.
3.2. Structural Elucidation of the Main Degradation Products
3.2.1. High-Resolution Mass Spectrometry Studies
3.2.2. Protonated ONC201 Fragmentation Pattern
- Any absence of neutral loss of the group at 119.073 Da by the RDA is an indicator that modifications have taken place on (i) the benzyl-tetrahydropyridine radical (A and B), (ii) the radical tetrahydropyridine (B), and/or (iii) the toluene radical (A) of ONC201 (Figure 2).
- Any absence of the neutral loss associated with the elimination of the group at 104.063 Da means that changes have occurred on the xylene radical of ONC201 (E).
- If these two neutral losses are present, on the other hand, we further explored the mass spectra data, in order to determine how modifications have taken place on the imidazole group (C) and/or the piperidinone group (D).
3.2.3. Proposed Structures of Degradation Products Resulting from Photolytic Stress
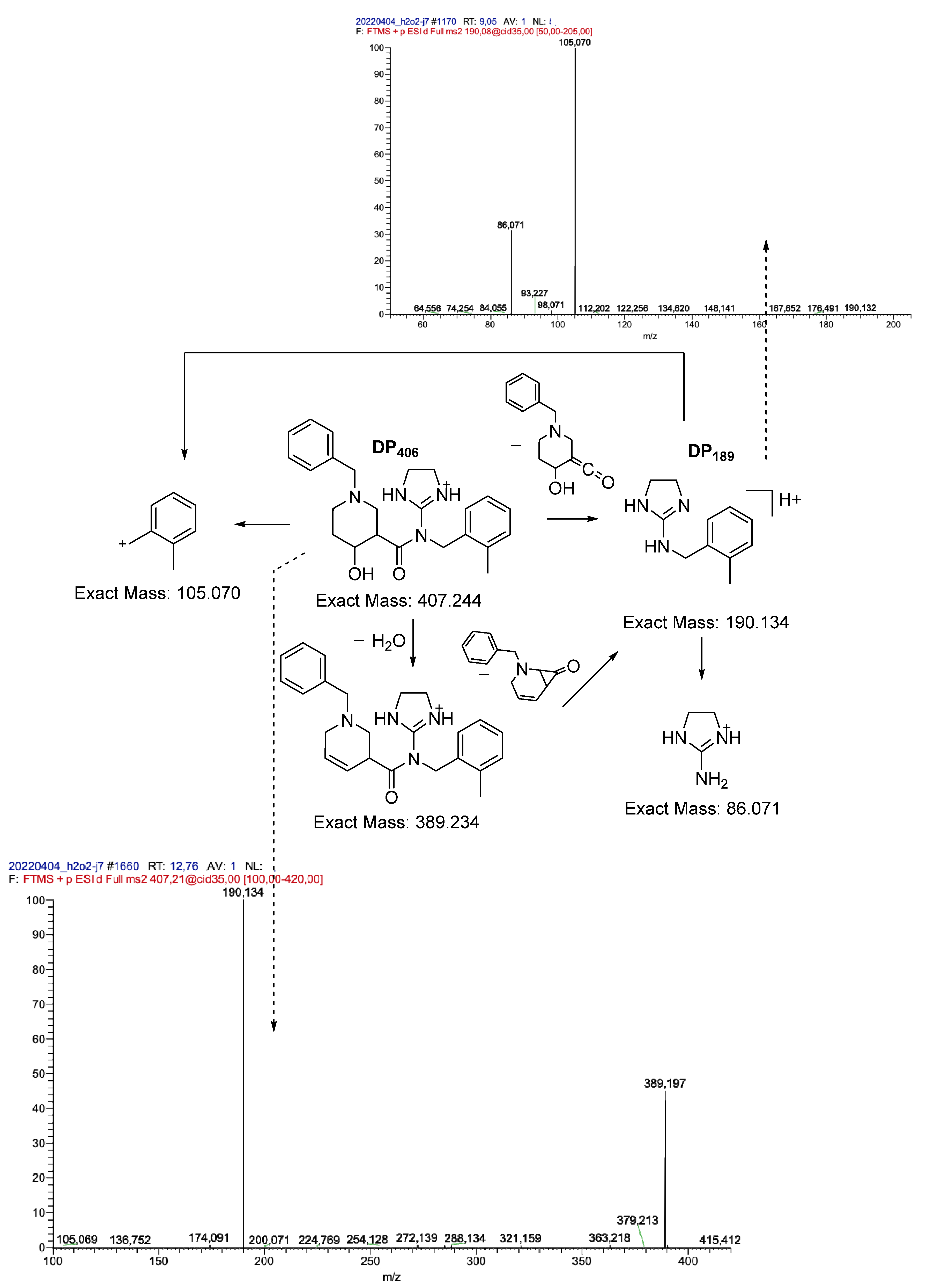
3.2.4. Structural Elucidation of Degradation Formed under Oxidative Condition
3.3. Continued Preliminary Work on Establishing Specifications for Degradation Products for Release and Stability Control
- Knowing that ONC201 is already an anti-cancer agent classified as a mutagen, according to the rule-based Toxtree software, if DPs show warning structures unrelated to the structure of ONC201, they should be controlled below a threshold of toxicological concern or a bacterial mutagenicity assessment should be performed (class 3);
- If the DPs have warning structures already present on the ONC201 structure (class 4) or simply do not have any (class 5), they are in either case considered mutagenic.
4. Conclusions
Supplementary Materials
Author Contributions
Funding
Institutional Review Board Statement
Informed Consent Statement
Data Availability Statement
Conflicts of Interest
References
- Clinicaltrials.gov. Chimerix Oral ONC201 in Recurrent Glioblastoma, H3 K27M-Mutant Glioma, and Diffuse Midline Glioma. Available online: https://clinicaltrials.gov/ct2/show/NCT02525692 (accessed on 1 March 2023).
- Clinicaltrials.gov. Chimerix ONC201 for the Treatment of Newly Diagnosed H3 K27M-Mutant Diffuse Glioma Following Completion of Radiotherapy: A Randomized, Double-Blind, Placebo-Controlled, Multicenter Study. Available online: https://clinicaltrials.gov/ct2/show/NCT05580562 (accessed on 1 March 2023).
- Clinicaltrials.gov. Winer, I. Phase II Study of ONC201 Plus Weekly Paclitaxel in Patients with Platinum-Resistant Refractory or Recurrent Epithelial Ovarian, Fallopian Tube, or Primary Peritoneal Cancer. Available online: https://clinicaltrials.gov/ct2/show/NCT04055649 (accessed on 1 March 2023).
- Clinicaltrials.gov. National Cancer Institute (NCI) Phase 1 Trial of ONC201 for Chemoprevention of Colorectal Cancer. Available online: https://clinicaltrials.gov/ct2/show/NCT05630794 (accessed on 1 March 2023).
- Bonner, E.R.; Waszak, S.M.; Grotzer, M.A.; Mueller, S.; Nazarian, J. Mechanisms of imipridones in targeting mitochondrial metabolism in cancer cells. Neuro. Oncol. 2021, 23, 542–556. [Google Scholar] [CrossRef] [PubMed]
- Allen, J.E.; Crowder, R.; El-Deiry, W.S. First-In-Class Small Molecule ONC201 Induces DR5 and Cell Death in Tumor but Not Normal Cells to Provide a Wide Therapeutic Index as an Anti-Cancer Agent. PLoS ONE 2015, 10, e0143082. [Google Scholar] [CrossRef] [PubMed]
- Clinicaltrials.gov. Gustave Roussy, Cancer Campus, Grand Paris Biological Medicine for Diffuse Intrinsic Pontine Glioma (DIPG) Eradication. Available online: https://clinicaltrials.gov/ct2/show/NCT05476939 (accessed on 1 March 2023).
- Kurmi, M.; Sahu, A.; Ladumor, M.K.; Kumar Bansal, A.; Singh, S. Stability behaviour of antiretroviral drugs and their combinations. 9: Identification of incompatible excipients. J. Pharm. Biomed. Anal. 2019, 166, 174–182. [Google Scholar] [CrossRef] [PubMed]
- Kurmi, M.; Sahu, A.; Balhara, A.; Singh, I.P.; Kulkarni, S.; Singh, N.K.; Garg, P.; Singh, S. Stability behaviour of antiretroviral drugs and their combinations. 11: Characterization of interaction products of zidovudine and efavirenz, and evaluation of their anti HIV-1 activity, and physiochemical and ADMET properties. J. Pharm. Biomed. Anal. 2020, 178, 112911. [Google Scholar] [CrossRef] [PubMed]
- Singh, D.K.; Sahu, A.; Wani, A.A.; Bharatam, P.V.; Kotimoole, C.N.; Batkulwar, K.B.; Deshpande, A.Y.; Giri, S.; Singh, S. Stability behaviour of antiretroviral drugs and their combinations. 10: LC-HRMS, LC-MSn, LC-NMR and NMR characterization of fosamprenavir degradation products and in silico determination of their ADMET properties. Eur. J. Pharm. Biopharm. 2019, 142, 165–178. [Google Scholar] [CrossRef]
- Rajput, N.; Soni, F.; Sahu, A.K.; Jadav, T.; Sharma, S.; Sengupta, P. Degradation kinetics and characterization of major degradants of binimetinib employing liquid chromatography-high resolution mass spectrometry. J. Pharm. Biomed. Anal. 2022, 215, 114753. [Google Scholar] [CrossRef]
- Chavan, B.B.; Sawant, V.; Borkar, R.M.; Ragampeta, S.; Talluri, M.V.N.K. Isolation and structural characterization of degradation products of afatinib dimaleate by LC-Q-TOF/MS/MS and NMR: Cytotoxicity evaluation of afatinib and isolated degradation products. J. Pharm. Biomed. Anal. 2019, 166, 139–146. [Google Scholar] [CrossRef]
- Golla, V.M.; Kushwah, B.S.; Dhiman, V.; Velip, L.; Samanthula, G. LC-HRMS and NMR studies for characterization of forced degradation impurities of ponatinib, a tyrosine kinase inhibitor, insights into in-silico degradation and toxicity profiles. J. Pharm. Biomed. Anal. 2023, 227, 115280. [Google Scholar] [CrossRef]
- Secretan, P.-H.; Annereau, M.; Kini-Matondo, W.; Prost, B.; Prudhomme, J.; Bournane, L.; Paul, M.; Yagoubi, N.; Sadou-Yayé, H.; Do, B. Unequal Behaviour between Hydrolysable Functions of Nirmatrelvir under Stress Conditions: Structural and Theoretical Approaches in Support of Preformulation Studies. Pharmaceutics 2022, 14, 1720. [Google Scholar] [CrossRef]
- Bouchema, T.S.; Annereau, M.; Vieillard, V.; Boquet, R.; Coelho, G.A.; Castelli, F.; Solgadi, A.; Paul, M.; Yagoubi, N.; Secretan, P.-H.; et al. Identification of the Major Degradation Pathways of Selumetinib. Pharmaceutics 2022, 14, 2651. [Google Scholar] [CrossRef]
- da Silva, J.W.V.; Ribeiro, J.I.; de Souza, L.X.; da Silva Aquino, K.A.; Kishishita, J.; Sobrinho, J.L.S.; Leal, L.B.; de Castro, W.V.; de Santana, D.P.; Bedor, D.C.G. Development of the stability-indicating method, structural elucidation of new photodegradation products from terconazole by LC-MS TOF, and in vitro toxicity. J. Pharm. Biomed. Anal. 2022, 216, 114794. [Google Scholar] [CrossRef] [PubMed]
- EMA ICH Q1A (R2) Stability Testing of New Drug Substances and Products-Scientific Guideline. Available online: https://www.ema.europa.eu/en/ich-q1a-r2-stability-testing-new-drug-substances-drug-products-scientific-guideline (accessed on 29 March 2023).
- Baertschi, S.W.; Alsante, K.M.; Reed, R.A. Pharmaceutical Stress Testing: Predicting Drug Degradation, 2nd ed.; CRC Press: Boca Raton, FL, USA, 2016; ISBN 978-0-429-13608-5. [Google Scholar]
- Blessy, M.; Patel, R.D.; Prajapati, P.N.; Agrawal, Y.K. Development of forced degradation and stability indicating studies of drugs—A review. J. Pharm. Anal. 2014, 4, 159–165. [Google Scholar] [CrossRef] [PubMed]
- Liu, Y.; Romijn, E.P.; Verniest, G.; Laukens, K.; De Vijlder, T. Mass spectrometry-based structure elucidation of small molecule impurities and degradation products in pharmaceutical development. TrAC Trends Anal. Chem. 2019, 121, 115686. [Google Scholar] [CrossRef]
- EMA ICH Q1B Photostability Testing of New Active Substances and Medicinal Products-Scientific Guideline. Available online: https://www.ema.europa.eu/en/ich-q1b-photostability-testing-new-active-substances-medicinal-products-scientific-guideline (accessed on 29 March 2023).
- EMA ICH M7 Assessment and Control of DNA Reactive (Mutagenic) Impurities in Pharmaceuticals to Limit Potential Carcinogenic Risk-Scientific Guideline. Available online: https://www.ema.europa.eu/en/ich-m7-assessment-control-dna-reactive-mutagenic-impurities-pharmaceuticals-limit-potential (accessed on 28 March 2023).
- Patlewicz, G.; Jeliazkova, N.; Safford, R.J.; Worth, A.P.; Aleksiev, B. An evaluation of the implementation of the Cramer classification scheme in the Toxtree software. SAR QSAR Environ. Res. 2008, 19, 495–524. [Google Scholar] [CrossRef] [PubMed]
- Toropov, A.A.; Toropova, A.P.; Raska, I.; Leszczynska, D.; Leszczynski, J. Comprehension of drug toxicity: Software and databases. Comput. Biol. Med. 2014, 45, 20–25. [Google Scholar] [CrossRef] [PubMed]
- EMA ICH Q3A (R2) Impurities in New Drug Substances-Scientific Guideline. Available online: https://www.ema.europa.eu/en/ich-q3a-r2-impurities-new-drug-substances-scientific-guideline (accessed on 28 March 2023).
- EMA ICH Q3B (R2) Impurities in New Drug Products-Scientific Guideline. Available online: https://www.ema.europa.eu/en/ich-q3b-r2-impurities-new-drug-products-scientific-guideline (accessed on 28 March 2023).
- Śliwka-Kaszyńska, M.; Anusiewicz, I.; Skurski, P. The Mechanism of a Retro-Diels–Alder Fragmentation of Luteolin: Theoretical Studies Supported by Electrospray Ionization Tandem Mass Spectrometry Results. Molecules 2022, 27, 1032. [Google Scholar] [CrossRef] [PubMed]
- Cuyckens, F.; Claeys, M. Mass spectrometry in the structural analysis of flavonoids. J. Mass Spectrom. 2004, 39, 1–15. [Google Scholar] [CrossRef]
- Wagner, J.; Kline, C.L.; Pottorf, R.S.; Nallaganchu, B.R.; Olson, G.L.; Dicker, D.T.; Allen, J.E.; El-Deiry, W.S. The angular structure of ONC201, a TRAIL pathway-inducing compound, determines its potent anti-cancer activity. Oncotarget 2014, 5, 12728–12737. [Google Scholar] [CrossRef]
- Wasserman, H.H.; Stiller, K.; Floyd, M.B. The reactions of heterocyclic systems with singlet oxygen. Photosensitized oxygenation of imidazoles. Tetrahedron Lett. 1968, 9, 3277–3280. [Google Scholar] [CrossRef]
- Huang, Y.; Su, B.-N.; Marshall, J.; Miller, S.A. Forced Oxidative Degradation Pathways of the Imidazole Moiety of Daclatasvir. J. Pharm. Sci. 2019, 108, 3312–3318. [Google Scholar] [CrossRef]
- Seburg, R.A.; Ballard, J.M.; Hwang, T.-L.; Sullivan, C.M. Photosensitized degradation of losartan potassium in an extemporaneous suspension formulation. J. Pharm. Biomed. Anal. 2006, 42, 411–422. [Google Scholar] [CrossRef] [PubMed]
- Pan, H. A non-covalent dimer formed in electrospray ionisation mass spectrometry behaving as a precursor for fragmentations: Non-covalent dimer as a precursor for ESI-MS fragmentations. Rapid Commun. Mass Spectrom. 2008, 22, 3555–3560. [Google Scholar] [CrossRef] [PubMed]
- Wan, D.; Yang, H.; Yan, C.; Song, F.; Liu, Z.; Liu, S. Differentiation of glucose-containing disaccharides isomers by fragmentation of the deprotonated non-covalent dimers using negative electrospray ionization tandem mass spectrometry. Talanta 2013, 115, 870–875. [Google Scholar] [CrossRef] [PubMed]
- Müller, L.; Mauthe, R.J.; Riley, C.M.; Andino, M.M.; Antonis, D.D.; Beels, C.; DeGeorge, J.; De Knaep, A.G.M.; Ellison, D.; Fagerland, J.A.; et al. A rationale for determining, testing, and controlling specific impurities in pharmaceuticals that possess potential for genotoxicity. Regul. Toxicol. Pharmacol. 2006, 44, 198–211. [Google Scholar] [CrossRef]











| Accurate Mass (Name) | Best Plausible Molecular Formula | Number of Double Bond or Rings Equivalent | Presence of Daughter Ion or Neutral Loss Characteristic of | ||
|---|---|---|---|---|---|
| Retro Diels Alder (RDA) | O-xylene | Benzyl | |||
| 387.216 (ONC201) | C24H27N4O+ | 13 | Yes | Yes | Yes |
| 190.133 (DP189) | C11H16N3+ | 5.5 | No | Yes | No |
| 293.140 (DP292) | C17H17N4O+ | 11.5 | No | Yes | No |
| 383.186 (DP382-1) | C24H23N4O+ | 15 | No | Yes | Yes |
| 383.186 (DP382-2) | C24H23N4O+ | 15 | No | Yes | No |
| 383.186 (DP382-3) | C24H23N4O+ | 15 | No | Yes | No |
| 385.202 (DP384-1) | C24H25N4O+ | 14 | Yes | Yes | Yes |
| 385.202 (DP384-2) | C24H25N4O+ | 14 | No | No | Yes |
| 387.216 (ONC201 isomer) | C24H27N4O+ | 13 | Yes | Yes | Yes |
| 399.181 (DP398-1) | C24H23N4O2+ | 15 | No | Yes | Yes |
| 399.181 (DP398-2) | C24H23N4O2+ | 15 | No | Yes | No |
| 399.181 (DP398-3) | C24H23N4O2+ | 15 | No | Yes | No |
| 419.200 (DP418-1) | C24H26N4O3+ | 14 | Yes | Yes | Yes |
| 419.200 (DP418-2) | C24H26N4O3+ | 14 | No | No | Yes |
| Accurate Mass (Name) | Best Plausible Molecular Formula | Number of Double Bond or Rings Equivalent | Presence of Daughter Ion or Neutral Loss Characteristic Of | |
|---|---|---|---|---|
| Retro Diels Alder Rearrangement (RDA) | O-xylene Loss | |||
| 387.216 (ONC201) | C24H27N4O+ | 13 | Yes | Yes |
| 190.133 (DP189) | C11H16N3+ | 5.5 | No | Yes |
| 391.213 (DP390) | C23H27N4O2+ | 12.5 | Yes | Yes |
| 403.210 (DP402-1) | C24H27N4O2+ | 13.5 | Yes | Yes |
| 403.210 (DP402-2) | C24H27N4O2+ | 13.5 | Yes | Yes |
| 407.242 (DP406) | C24H31N4O2+ | 12.5 | No | Yes |
| 419.219 (DP418) | C24H27N4O3+ | 13 | No | Yes |
| 421.222 (DP420) | C24H29N4O3+ | 12.5 | No | No |
| 437.216 (DP436) | C24H29N4O4+ | 12.5 | Yes | Yes |
Disclaimer/Publisher’s Note: The statements, opinions and data contained in all publications are solely those of the individual author(s) and contributor(s) and not of MDPI and/or the editor(s). MDPI and/or the editor(s) disclaim responsibility for any injury to people or property resulting from any ideas, methods, instructions or products referred to in the content. |
© 2023 by the authors. Licensee MDPI, Basel, Switzerland. This article is an open access article distributed under the terms and conditions of the Creative Commons Attribution (CC BY) license (https://creativecommons.org/licenses/by/4.0/).
Share and Cite
Annereau, M.; Vignes, M.; Bouchema, T.S.E.; Denis, L.; Solgadi, A.; Vieillard, V.; Paul, M.; Rieutord, A.; Grill, J.; Secretan, P.-H.; et al. Identification of Degradation Products of the New Anticancer Drug Substance ONC201 by Liquid Chromatography–High-Resolution Multistage Mass Spectrometry. Chemosensors 2023, 11, 294. https://doi.org/10.3390/chemosensors11050294
Annereau M, Vignes M, Bouchema TSE, Denis L, Solgadi A, Vieillard V, Paul M, Rieutord A, Grill J, Secretan P-H, et al. Identification of Degradation Products of the New Anticancer Drug Substance ONC201 by Liquid Chromatography–High-Resolution Multistage Mass Spectrometry. Chemosensors. 2023; 11(5):294. https://doi.org/10.3390/chemosensors11050294
Chicago/Turabian StyleAnnereau, Maxime, Marina Vignes, Tahar Sif Eddine Bouchema, Lucas Denis, Audrey Solgadi, Victoire Vieillard, Muriel Paul, André Rieutord, Jacques Grill, Philippe-Henri Secretan, and et al. 2023. "Identification of Degradation Products of the New Anticancer Drug Substance ONC201 by Liquid Chromatography–High-Resolution Multistage Mass Spectrometry" Chemosensors 11, no. 5: 294. https://doi.org/10.3390/chemosensors11050294
APA StyleAnnereau, M., Vignes, M., Bouchema, T. S. E., Denis, L., Solgadi, A., Vieillard, V., Paul, M., Rieutord, A., Grill, J., Secretan, P.-H., & Do, B. (2023). Identification of Degradation Products of the New Anticancer Drug Substance ONC201 by Liquid Chromatography–High-Resolution Multistage Mass Spectrometry. Chemosensors, 11(5), 294. https://doi.org/10.3390/chemosensors11050294

