Low-Cost Electrochemical Determination of L-Ascorbic Acid Using Screen-Printed Electrodes and Development of an Electronic Tongue for Juice Analysis
Abstract
1. Introduction
2. Materials and Methods
2.1. Materials
2.1.1. Electrodes, Instruments, and Reagents
2.1.2. Solutions
2.1.3. Commercial Products
2.2. Methods
2.2.1. General Procedure for Chronoamperometric Measurements
2.2.2. Chronoamperometric Calibration Graph for L-AA
2.2.3. Chronoamperometric Determination of L-AA in Juices
2.2.4. Square Wave Voltammetric Measurements
2.2.5. Determination of L-AA in Juices by HPLC
3. Results
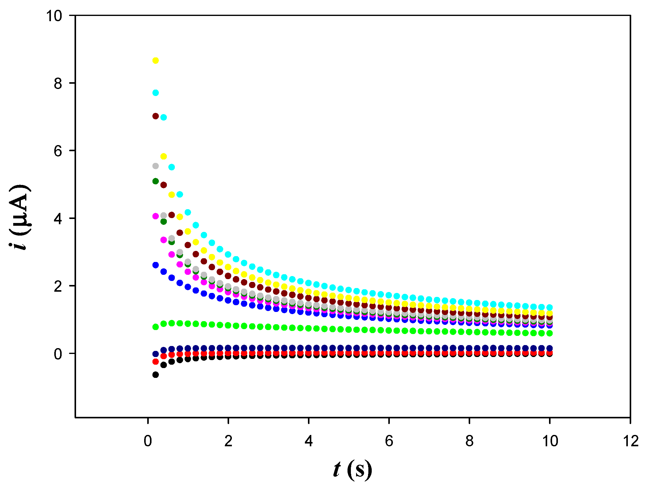
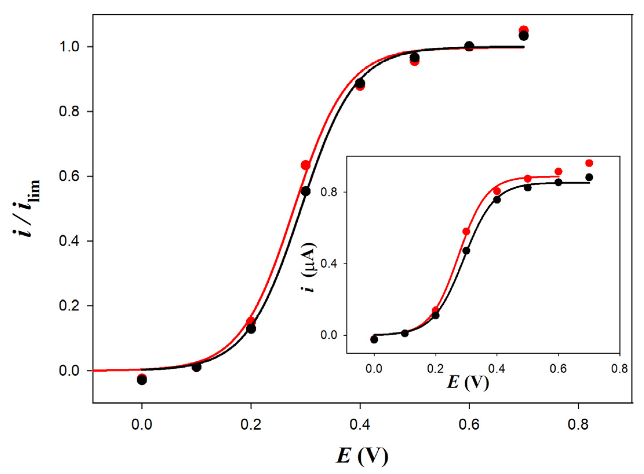
3.1. Chronoamperometric and Voltammetric Study of the Oxidation of L-AA
3.2. Influence of L-AA Concentration
3.3. Repeatability and Reproducibility
3.4. Chronoamperometric Determination of L-AA in Juices
3.4.1. Square Wave Voltammetry of Juices
3.4.2. Chronoamperometric Study of L-AA Electrochemical Oxidation in Juices
3.4.3. Comparison of the Results with Those Obtained by HPLC
3.5. Comparison with Reported Electrochemical Methods
3.6. Voltammetric Electronic Tongue for Juices
- Orange juices: The four types tested are situated at positive or slightly negative (natural juice) values of PC1, and three of them at positive PC2 values. PC2 allows for Brands 1 and 3 to be distinguished from the natural juice and from Brand 2, which can be discriminated from PC1.
- Pineapple, apple, and grape juices: Situated at positive PC1 and negative PC2 (unlike most orange juices tested), the two brands can be differentiated by their placement along PC2.
- Peach, apple, and grape juice: Positioned at negative or slightly positive PC1 values, the two brands studied can be distinguished based on their positions along PC1.
4. Conclusions
Author Contributions
Funding
Institutional Review Board Statement
Informed Consent Statement
Data Availability Statement
Conflicts of Interest
References
- Kamalasekaran, K.; Sundramoorthy, A.K. Applications of chemically modified screen-printed electrodes in food analysis and quality monitoring: A review. RSC Adv. 2024, 14, 27957–27971. [Google Scholar] [CrossRef] [PubMed]
- Paimard, G.; Ghasali, E.; Baeza, M. Screen-Printed Electrodes: Fabrication, Modification, and Biosensing Applications. Chemosensors 2023, 11, 113. [Google Scholar] [CrossRef]
- García-Miranda, A.; Rowley-Neale, S.J.; Banks, C.E. Screen-printed electrodes: Transitioning the laboratory in-to-the field. Talanta Open 2021, 3, 100032. [Google Scholar] [CrossRef]
- Hughes, G.; Westmacott, K.; Honeychurch, K.C.; Crew, A.; Pemberton, R.M.; Hart, J.P. Recent Advances in the Fabrication and Application of Screen-Printed Electrochemical (Bio) Sensors Based on Carbon Materials for Biomedical, Agri-Food and Environmental Analyses. Biosensors 2016, 6, 50. [Google Scholar] [CrossRef]
- Domínguez, O.; Alonso-Lomillo, M.A.; Arcos, M.J. Recent developments in the field of screen-printed electrodes and their related applications. Talanta 2007, 3, 202–219. [Google Scholar]
- Meng, L.; Yuan-Ting, L.; Da-Wei, L.; Yi-Tao, L. Recent developments and applications of screen-printed electrodes in environmental assays—A review. Anal. Chim. Acta 2012, 734, 31–44. [Google Scholar]
- Lamas-Ardisana, P.J.; Casuso, P.; Fernandez-Gauna, I.; Martínez-Paredes, G.; Jubete, E.; Añorga, L.; Cabañero, G.; Grande, H.J. Disposable electrochemical paper-based devices fully fabricated by screen-printing technique. Electrochem. Commun. 2017, 75, 25–28. [Google Scholar] [CrossRef]
- Westmacott, K.L.; Crew, A.; Doran, O.; Hart, J.P. A novel electroanalytical approach to the measurement of B vitamins in food supplements based on screen-printed carbon sensors. Talanta 2018, 181, 13–18. [Google Scholar] [CrossRef]
- Dosed, M.; Jirkovský, E.; Macáková, K.; Krcmová, L.K.; Javorská, L.; Pourová, J.; Mercolini, L.; Remião, F.; Nováková, L.; Mladenka, P. Vitamin C—Sources, Physiological Role, Kinetics, Deficiency, Use, Toxicity, and Determination. Nutrients 2021, 13, 615. [Google Scholar] [CrossRef]
- Yin, X.; Chen, K.; Cheng, H.; Chen, X.; Feng, S.; Song, Y.; Liang, L. Chemical Stability of Ascorbic Acid Integrated into Commercial Products: A Review on Bioactivity and Delivery Technology. Antioxidants 2022, 11, 153. [Google Scholar] [CrossRef]
- Arya, S.P.; Mahajan, M.; Jain, P. Photometric methods for the determination of vitamin C. Anal. Sci. 1998, 14, 889–895. [Google Scholar] [CrossRef]
- Güçlü, K.; Sözgen, K.; Tütem, E.; Özyürek, M.; Apak, R. Spectrophotometric determination of ascorbic acid using copper (II)–neocuproine reagent in beverages and pharmaceuticals. Talanta 2005, 65, 1226–1232. [Google Scholar] [CrossRef] [PubMed]
- Fontannaz, P.; Kilinç, T.; Heudi, O. HPLC-UV determination of total vitamin C in a wide range of fortified food products. Food Chem. 2006, 94, 626–631. [Google Scholar] [CrossRef]
- Iwase, H.; Ono, I. Determination of ascorbic acid in food by column liquid chromatography with electrochemical detection using eluent for pre-run sample stabilization. J. Chromatogr. A 1998, 806, 361–364. [Google Scholar] [CrossRef]
- Tonelli, D.; Ballarin, B.; Guadagnini, L.; Mignani, A.; Scavetta, E. A novel potentiometric sensor for l-ascorbic acid based on molecularly imprinted polypyrrole. Electrochim. Acta 2011, 56, 7149–7154. [Google Scholar] [CrossRef]
- O’Connell, P.J.; Gormally, C.; Pravda, M.; Guilbault, G.G. Development of an amperometric L-ascorbic acid (vitamin C) sensor based on electropolymerised aniline for pharmaceutical and food analysis. Anal. Chim. Acta 2001, 431, 239–247. [Google Scholar] [CrossRef]
- Kumar, S.S.; Narayanan, S.S. Amperometric Sensor for the Determination of Ascorbic Acid Based on Cobalt Hexacyanoferrate Modified Electrode Fabricated through a New Route. Chem. Pharm. Bull. 2006, 54, 963–967. [Google Scholar] [CrossRef]
- Emran, M.Y.; Shenashen, M.A.; Abdelwahab, A.A.; Abdelmottaleb, M.; El-Safty, S.A. Facile synthesis of microporous sulfur-doped carbon spheres as electrodes for ultrasensitive detection of ascorbic acid in food and pharmaceutical products. New J. Chem. 2018, 42, 5037–5044. [Google Scholar] [CrossRef]
- Okiei, W.O.; Ogunlesi, M.; Azeez, L.; Obakachi, V.; Osunsanmi, M.; Nkenchor, G. The voltammetric and titrimetric determination of ascorbic acid levels in tropical fruit samples. Int. J. Electrochem. Sci. 2009, 4, 276–287. [Google Scholar] [CrossRef]
- Pisoschi, A.M.; Danet, A.F.; Kalinowski, S. Ascorbic acid determination in commercial fruit juice samples by cyclic voltammetry. J. Autom. Methods Manag. Chem. 2008, 2008, 937651. [Google Scholar] [CrossRef]
- King, D.; Friend, J.; Kariuki, J. Measuring vitamin C content of commercial orange juice using a pencil lead electrode. J. Chem. Educ. 2010, 87, 507–509. [Google Scholar] [CrossRef]
- Nezamzadeh, A.; Amini, M.K.; Faghihian, H. Square-wave voltammetric determination of ascorbic acid based on its electrocatalytic oxidation at zeolite-modified carbon-paste electrodes. Int. J. Electrochem. Sci. 2007, 2, 583–594. [Google Scholar] [CrossRef]
- Xiang, L.; Ping, H.; Zhao, L.; Ma, Z.; Pan, L. Rapid determination of ascorbic acid in fresh vegetables and fruits with electrochemically treated screen-printed carbon electrodes. In Computer and Computing Technologies in Agriculture IV, Proceedings of the 4th IFIP TC 12 Conference, CCTA 2010, Nanchang, China, 22–25 October 2010; Springer: Berlin/Heidelberg, Germany, 2010; pp. 234–242. [Google Scholar]
- Ali, A.; Morsi, I.; Sharkas, M. Determination of Ascorbic Acid Level in Orange Juice using an Open-source Potentiostat and Screen-Printed Electrodes. In Proceedings of the 5th International Confererence on Sensor Networks (SENSORNETS), Rome, Italy, 19–21 February 2016; pp. 58–63. [Google Scholar]
- López-Pastor, J.A.; Martínez-Sánchez, A.; Aznar-Poveda, J.; García-Sánchez, A.J.; García-Haro, J.; Aguayo, E. Quick and cost-effective estimation of vitamin C in multifruit juices using voltammetric methods. Sensors 2020, 20, 676. [Google Scholar] [CrossRef] [PubMed]
- Zhao, X.; Zhang, W.; Chen, H.; Chen, Y.; Huang, G. Disposable electrochemical ascorbic acid sensor based on molecularly imprinted poly (o-phenylenediamine)-modified dual channel screen-printed electrode for orange juice analysis. Food Anal. Methods 2014, 7, 1557–1563. [Google Scholar] [CrossRef]
- Fuenmayor, C.A.; Benedetti, S.; Pellicanò, A.; Cosio, M.S.; Mannino, S. Direct in situ determination of ascorbic acid in fruits by screen-printed carbon electrodes modified with nylon-6 nanofibers. Electroanalysis 2014, 26, 704–710. [Google Scholar] [CrossRef]
- Gopalakrishnan, A.; Sha, R.; Vishnu, N.; Kumar, R.; Badhulika, S. Disposable, efficient and highly selective electrochemical sensor based on Cadmium oxide nanoparticles decorated screen-printed carbon electrode for ascorbic acid determination in fruit juices. Nano-Struct. Nano-Objects 2018, 16, 96–103. [Google Scholar] [CrossRef]
- Jadav, J.K.; Umrania, V.V.; Rathod, K.J.; Golakiya, B.A. Development of silver/carbon screen-printed electrode for rapid determination of vitamin C from fruit juices. LWT 2018, 88, 152–158. [Google Scholar] [CrossRef]
- Bard, A.J.; Faulkner, L.R.; White, H.S. Electrochemical Methods: Fundamentals and Applications; John Wiley & Sons: Hoboken, NJ, USA, 2022. [Google Scholar]
- Molina, A.; González, J. Pulse Voltammetry in Physical Electrochemistry and Electroanalysis; Monographs in electrochemistry; Springer: Dordrecht, The Netherlands, 2016. [Google Scholar]
- Tomes, J. Polarographic studies with the dropping mercury cathode. LXVII. Equation of the polarographic wave in the electrodeposition of hydrogen from strong and weak acids. Coll. Czech. Chem. Commun. 1937, 9, 150–167. [Google Scholar] [CrossRef]
- Kairy, P.; Hossain, M.M.; Khan, M.A.R.; Almahri, A.; Rahman, M.M.; Hasnat, M.A. Electrocatalytic oxidation of ascorbic acid in the basic medium over electrochemically functionalized glassy carbon surface. Surf. Interfaces 2022, 33, 102200. [Google Scholar] [CrossRef]
- Aldaz, A.; Alquie, A.M. Production of a radical in electrochemical oxidation of L-ascorbic acid on different electrodes. J. Electroanal. Chem. 1973, 47, 532–534. [Google Scholar] [CrossRef]
- Tur’yan, Y.I.; Kohen, R. Formal redox potentials of the dehydro-L-ascorbic acid/L-ascorbic acid system. J. Electroanal. Chem. 1995, 380, 273–277. [Google Scholar] [CrossRef]
- Compton, R.G.; Matysik, F.M. Sonovoltammetric behaviour of ascorbic acid and dehydroascorbic acid at glassy carbon electrodes: Analysis using pulsed sonovoltammetry. Electroanalysis 1996, 8, 218–222. [Google Scholar] [CrossRef]
- Hu, I.F.; Kuwana, T. Oxidative mechanism of ascorbic acid at glassy carbon electrodes. Anal. Chem. 1986, 58, 3235–3239. [Google Scholar] [CrossRef]
- Deakin, M.R.; Kovach, P.M.; Stutts, K.J.; Wightman, R.M. Heterogeneous mechanisms of the oxidation of catechols and ascorbic acid at carbon electrodes. Anal. Chem. 1986, 58, 1474–1480. [Google Scholar] [CrossRef]











| Juice | Chronoamperometric Method Mean ± S * (mg L−1) | HPLC (mg L−1) |
|---|---|---|
| Orange (Brand 3) | 209.0 ± 7.8 | 231.4 |
| Pineapple, apple, and grape (Brand 3) | 132.6 ± 1.4 | 108.0 |
| Mediterranean fruits and milk (Brand 3) | 165.1 ± 5.0 | 210.8 |
| Peach, apple, grape, and others (Brand 3) | 69.2 ± 3.7 | 59.3 |
| Tropical fruits and milk (Brand 3) | 223.5 ± 4.9 | 250.1 |
| Apple (Brand 1) | 33.4 ± 11.0 | 30.9 |
| Orange (Brand 1) | 462.6 ± 2.8 | 545.2 |
| Orange (Brand 2) | 593.3 ± 8.8 | 552.9 |
| Pineapple, apple, and grape (Brand 2) | 712.1 ± 2.9 | 631.9 |
| Peach, apple, and grape (Brand 2) | 545.4 ± 6.1 | 487.5 |
| Reference | Electrode | Technique * | Range (M) | LOD (M) | Samples |
|---|---|---|---|---|---|
| 25 | SPE-Pt | CV | 5 × 10−5–1 × 10−3 | 1.25 × 10−7 | Multifruit juices |
| 16 | GC–electropolymerized aniline | A | 4 × 10−7–2 × 10−3 | 4 × 10−7 | Commercial fresh and from concentrate juices |
| FI-A | 5 × 10−6–1 × 10−4 | 2.5 × 10−6 | |||
| 19 | Glassy carbon | CV | 1 × 10−3–3 × 10−3 | - | Juicy and non-juicy fruits |
| 20 | Pt disk | CV | 1 × 10−4–1 × 10−2 | 9 × 10−5 | Natural and commercial juices and producers |
| 21 | Pencil lead | CV | 1.9 × 10−7–4.5 × 10−6 | - | A commercial orange juice |
| 22 | Zeolite-modified carbon paste | SWV | 4.0 × 10−7–1.2 × 10−3 | 2 × 10−8 | Citrus fruit juices |
| 23 | Electrochemically pretreated carbon SPE | CV | 1 × 10−4–1 × 10−3 | 5 × 10−6 | One orange and one cabbage |
| 26 | Molecularly imprinted carbon SPE | SWV | 4.5 × 10−7–1.35 × 10−5 | 1.1 × 10−7 | A commercial orange juice |
| 1.35 × 10−5–4.09 × 10−4 | |||||
| 27 | Modified carbon SPE nanofibers | A | 2.8 × 10−4–7.4 × 10−3 | Fruits directly in situ | |
| 29 | Carbon SPE (homemade) | CV | 2 × 10−4–1.6 × 10−3 | 2 × 10−4 | Commercial juice from eight different fruits |
| Proposed method | Carbon SPE (commercial) | ChA | 2 × 10−5–1 × 10−3 | 7 × 10−7 | Commercial juice from different fruits |
| 28 | Modified carbon SPE-CdO nanoparticles | DPV | 5 × 10−6–1.5 × 10−4 | 5.4 × 10−8 | A commercial fruit juice |
Disclaimer/Publisher’s Note: The statements, opinions and data contained in all publications are solely those of the individual author(s) and contributor(s) and not of MDPI and/or the editor(s). MDPI and/or the editor(s) disclaim responsibility for any injury to people or property resulting from any ideas, methods, instructions or products referred to in the content. |
© 2024 by the authors. Licensee MDPI, Basel, Switzerland. This article is an open access article distributed under the terms and conditions of the Creative Commons Attribution (CC BY) license (https://creativecommons.org/licenses/by/4.0/).
Share and Cite
El Anzi, L.; García, M.S.; Laborda, E.; Ruiz, A.; Ortuño, J.Á. Low-Cost Electrochemical Determination of L-Ascorbic Acid Using Screen-Printed Electrodes and Development of an Electronic Tongue for Juice Analysis. Chemosensors 2024, 12, 237. https://doi.org/10.3390/chemosensors12110237
El Anzi L, García MS, Laborda E, Ruiz A, Ortuño JÁ. Low-Cost Electrochemical Determination of L-Ascorbic Acid Using Screen-Printed Electrodes and Development of an Electronic Tongue for Juice Analysis. Chemosensors. 2024; 12(11):237. https://doi.org/10.3390/chemosensors12110237
Chicago/Turabian StyleEl Anzi, Laila, María Soledad García, Eduardo Laborda, Alberto Ruiz, and Joaquín Ángel Ortuño. 2024. "Low-Cost Electrochemical Determination of L-Ascorbic Acid Using Screen-Printed Electrodes and Development of an Electronic Tongue for Juice Analysis" Chemosensors 12, no. 11: 237. https://doi.org/10.3390/chemosensors12110237
APA StyleEl Anzi, L., García, M. S., Laborda, E., Ruiz, A., & Ortuño, J. Á. (2024). Low-Cost Electrochemical Determination of L-Ascorbic Acid Using Screen-Printed Electrodes and Development of an Electronic Tongue for Juice Analysis. Chemosensors, 12(11), 237. https://doi.org/10.3390/chemosensors12110237

