Electrochemical Disposable Printed Aptasensor for Sensitive Ciprofloxacin Monitoring in Milk Samples
Abstract
1. Introduction
2. Materials and Methods
2.1. Chemicals and Materials
2.2. Instrumentation
2.3. Fabrication of Screen-Printed Carbon Electrodes (SPCEs)
2.4. Synthesis of AuNPs
2.5. Immobilization of the Aptamer Sequence on the Working Electrode Surface and Operation of the Aptasensor
2.6. Optimization of Analytical Conditions of the Aptasensor
2.7. Obtaining the Analytical Curve for the Aptasensor
2.8. Selectivity, Repeatability, and Reproducibility of the Aptasensor
2.9. Determination of CPX in Milk Samples
3. Results and Discussion
3.1. Characterization of AuNPs
3.2. Electrochemical Characterization of the Aptasensor
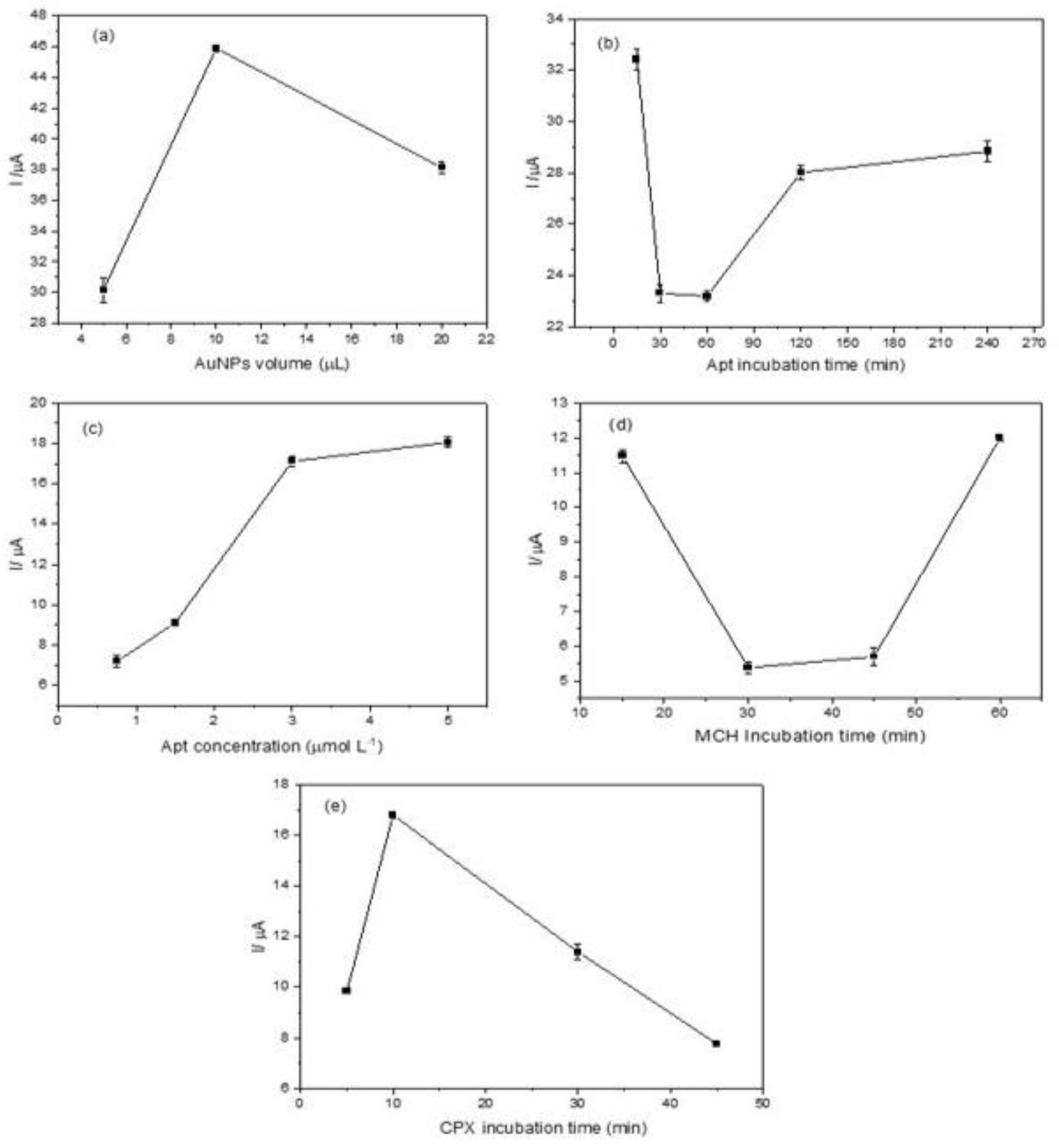
3.3. Aptasensor Optimization
3.3.1. AuNP Volume Optimization
3.3.2. Optimization of Incubation Time and Aptamer Sequence Concentration (Apt)
3.3.3. MCH Incubation Time
3.3.4. CPX Incubation Time
3.4. Analytical Curve for the Aptasensor
3.5. Evaluation of Selectivity, Repeatability, and Reproducibility of the Aptasensor
3.6. Application of Aptasensor in Milk Samples
4. Conclusions
Supplementary Materials
Author Contributions
Funding
Institutional Review Board Statement
Informed Consent Statement
Data Availability Statement
Acknowledgments
Conflicts of Interest
Abbreviations
| MRL | Maximum Residue Limit (MRL) |
| CPX | Ciprofloxacin |
| SPEs | Screen-Printed Electrodes |
| DNA | Deoxyribonucleic Acid |
| RNA | Ribonucleic Acid |
| SELEX | Systematic Evolution of Ligands by Exponential Enrichment |
| AuNPs | Gold Nanoparticles |
| TET | Tetracycline |
| DPV | Differential Pulse Voltammetry |
| LOD | Detection Limit |
| MCH | 6-mercapto-1-hexanol |
| PET | Polyethylene Terephthalate |
| SPCE | Screen-Printed Carbon Electrode |
| Apt | Aptamer |
| LSPR | Localized Surface Plasmon Resonance |
| LOQ | Quantification Limit |
| RSD | Relative Standard Deviation |
References
- Vercelli, C.; Amadori, M.; Gambino, G.; Re, G. A review on the most frequently used methods to detect antibiotic residues in bovine raw milk. Int. Dairy J. 2023, 144, 105695. [Google Scholar] [CrossRef]
- Joshi, A.; Kim, K.-H. Recent advances in nanomaterial-based electrochemical detection of antibiotics: Challenges and future perspectives. Biosens. Bioelectron. 2020, 153, 112046. [Google Scholar] [CrossRef]
- Santamarina-García, G.; Amores, G.; Gandarias, N.; Hernández, I.; Virto, M. Cross-sectional, commercial testing, and chromatographic study of the occurrence of antibiotic residues throughout an artisanal raw milk cheese production chain. Food Chem. 2024, 442, 138445. [Google Scholar] [CrossRef]
- Gao, Y.; Chen, Y.; Li, Z.; Lu, Q.; Chen, Y.; Jiang, Y.; Fang, X.; Song, L.; Mao, X. Sensitive detection of ciprofloxacin in the livestock manure by a portable smartphone platform based on Eu-MOFs@hydrogel composites. Microchem. J. 2025, 211, 113086. [Google Scholar] [CrossRef]
- Feng, X.; You, F.; Yuan, R.; Ding, L.; Wang, T.; Min, Y.; Wang, K. Self-validating photoelectrochemical/photoelectrochromic visual sensing platform for ciprofloxacin precise detection in milk. Anal. Chim. Acta 2024, 1330, 343282. [Google Scholar] [CrossRef] [PubMed]
- Zhai, S.; Bai, M.; Yue, F.; Wang, H.; Huang, J.; Dong, H.; Yuan, B.; Li, Z.; Zhang, P.; Zhao, M.; et al. Strip biosensors based on broad-spectrum aptamers and cationic polymers for the on-site rapid detection of tetracycline antibiotics residues in milk. Food Chem. 2025, 464 Pt 2, 141743. [Google Scholar] [CrossRef]
- Uddin, M.N.; Hasnaine, A.; Haque, M.S.; Das, S.; Uddin, M.; Chakraborty, D.; Mostafa, M. Development of an HPLC-PDA Method for the Simultaneous Estimation of Three Antibiotics in Pharmaceutical Formulations and Bovine Milk and Health Risk Assessment. J. Food Prot. 2024, 87, 100279. [Google Scholar] [CrossRef]
- Elgendy, K.; Zaky, M.; Alaa Eldin, T.; Fadel, S. Rapid HPLC determination of ciprofloxacin, ofloxacin, and marbofloxacin alone or in a mixture. Results Chem. 2023, 5, 100749. [Google Scholar] [CrossRef]
- Khaled, O.; Ryad, L.; Nagi, M.; Eissa, F. Multiclass method for detecting 41 antibiotic residues in bovine liver, muscle, and milk using LC-Q-Orbitrap-HRMS. J. Food Compos. Anal. 2024, 132, 106299. [Google Scholar] [CrossRef]
- Adane, W.D.; Chandravanshi, B.S.; Tessema, M. Multi-elemental nanocomposite electrochemical sensor for the simultaneous determination of azithromycin and enrofloxacin residues in food and water samples. Microchem. J. 2025, 210, 113042. [Google Scholar] [CrossRef]
- Adane, W.D.; Chandravanshi, B.S.; Tessema, M. Hypersensitive electrochemical sensor based on thermally annealed gold–silver alloy nanoporous matrices for the simultaneous determination of sulfathiazole and sulfamethoxazole residues in food samples. Food Chem. 2024, 457, 140071. [Google Scholar] [CrossRef] [PubMed]
- Varatharajan, P.; Rajaji, U.; Kutii Rani, S.; Vasimalai, N.; Govindasamy, M. Ultrasonic synthesis of MOF-based hybrid composite for electrochemical detection of furazolidone antibiotic in food and biological samples. Surf. Interfaces 2024, 55, 105384. [Google Scholar] [CrossRef]
- Wongpakdee, T.; Nacapricha, D.; McCord, B. Modification of screen-printed electrodes using gold nanostructures for SERS detection of low explosives. Forensic Chem. 2025, 42, 100636. [Google Scholar] [CrossRef]
- Silva, F.W.L.; Name, L.L.; Tiba, D.Y.; Braz, B.F.; Santelli, R.E.; Canevari, T.C.; Cincotto, F.H. High sensitivity, low-cost, and disposability: A novel screen-printed electrode developed for direct electrochemical detection of the antibiotic ceftriaxone. Talanta 2024, 266, 125075. [Google Scholar] [CrossRef]
- Hannah, S.; Addington, E.; Alcorn, D.; Shu, W.; Hoskisson, P.A.; Corrigan, D.K. Rapid antibiotic susceptibility testing using low-cost, commercially available screen-printed electrodes. Biosens. Bioelectron. 2019, 145, 111696. [Google Scholar] [CrossRef]
- Ribeiro, B.V.; Ferreira, L.F.; Franco, D.L. Advances in biosensor development for the determination of antibiotics in cow’s milk—A review. Talanta Open 2022, 6, 100145. [Google Scholar] [CrossRef]
- Sumitha, M.S.; Xavier, T.S. Recent advances in electrochemical biosensors—A brief review. Hybrid Adv. 2023, 2, 100023. [Google Scholar] [CrossRef]
- Lee, Y.Y.; Sriram, B.; Wang, S.-F.; Kogularasu, S.; Chang-Chien, G.-P. A comprehensive review on emerging role of rare earth oxides in electrochemical biosensors. Microchem. J. 2023, 193, 109140. [Google Scholar] [CrossRef]
- Mathavan, S.; Tam, Y.; Mustaffa, K.M.F.; Tye, G. Aptamer based immunotherapy: A potential solid tumor therapeutic. Front. Immunol. 2025, 16, 1536569. [Google Scholar] [CrossRef]
- da Silva, D.N.; Pereira, A.C. Relevant Aspects in the Development of Electrochemical Aptasensors for the Determination of Antibiotics—A Review. Electrochem 2023, 4, 553–567. [Google Scholar] [CrossRef]
- El Hage, R.; El Hage, A.; El Hage, M.; Karam, M.; El Hage, M.; El Hage, C.; El Hage, R.; El Hage, A. Enhancing antibiotic detection via an aptasensor. Biosensors 2025, 15, 345. [Google Scholar]
- Zhao, Y.; Wang, Y.; Li, Y.; Li, J.; Wu, Y.; Zhang, Y.; Wang, J. An electrochemical aptasensor based on AuPt@PEI-g-C3N4 combined with a rolling circle amplification strategy for ultrasensitive detection of ciprofloxacin. Microchem. J. 2024, 197, 109871. [Google Scholar]
- Zhang, L.; Wang, X.; Luo, J.; Ma, C.; Zhang, H. Electrochemical detection of ciprofloxacin using a graphene oxide–ZnO nanocomposite modified electrode. Microchem. J. 2023, 189, 108512. [Google Scholar]
- Lai, H.; Ming, P.; Wu, M.; Wang, S.; Sun, D.; Zhai, H. An electrochemical aptasensor based on P-Ce-MOF@MWCNTs as signal amplification strategy for highly sensitive detection of zearalenone. Food Chem. 2023, 423, 136331. [Google Scholar] [CrossRef] [PubMed]
- Chi, C.; Lin, X.; Sun, Q.; Huang, X.; Bo, S.; Huang, Z.; Zhou, S. A study on fast detection methods for tetracycline antibiotic residues based on magnetic nanoparticles and electrochemical aptasensors. Alex. Eng. J. 2025, 110, 322–328. [Google Scholar] [CrossRef]
- Abnous, K.; Danesh, N.M.; Alibolandi, M.; Ramezani, M.; Taghdisi, S.M.; Emrani, A.S. A novel electrochemical aptasensor for ultrasensitive detection of fluoroquinolones based on single-stranded DNA-binding protein. Sens. Actuators B Chem. 2017, 240, 100–106. [Google Scholar] [CrossRef]
- da Silva, D.N.; de Oliveira Cândido, T.C.; Pereira, A.C. Simple and disposable device based on gold nanoparticles modified screen-printed carbon electrode for detection of ciprofloxacin. J. Solid State Electrochem. 2025, 29, 901–914. [Google Scholar] [CrossRef]
- Oliveira, A.E.F.; Pereira, A.C.; Campos de Resende, M.A.; Ferreira, L.F. Fabrication of a Simple and Cheap Screen-Printed Silver/Silver Chloride (Ag/AgCl) Quasi-Reference Electrode. Electroanalysis 2022, 34, 809. [Google Scholar] [CrossRef]
- Kelly, K.L.; Coronado, E.; Zhao, L.L.; Schatz, G.C. The Optical Properties of Metal Nanoparticles: The Influence of Size, Shape, and Dielectric Environment. J. Phys. Chem. B 2003, 107, 668–677. [Google Scholar] [CrossRef]
- Link, S.; El-Sayed, M.A. Spectral Properties and Relaxation Dynamics of Surface Plasmon Electronic Oscillations in Gold and Silver Metallic Nanoparticles. J. Phys. Chem. B 1999, 103, 8410–8426. [Google Scholar] [CrossRef]
- Haiss, C.; Thanh, N.T.K.; Aveyard, J.; Fernig, D.G. Determination of Gold Nanoparticle Size Via UV-Vis Spectroscopy. Anal. Chem. 2007, 79, 4215–4221. [Google Scholar] [CrossRef] [PubMed]
- Love, J.C.; Estroff, L.A.; Kriebel, J.K.; Nuzzo, R.G.; Whitesides, G.M. Self-assembled monolayers of thiolates on metals as a form of nanotechnology. Chem. Rev. 2005, 105, 1103–1169. [Google Scholar] [CrossRef] [PubMed]
- Liu, X.; Atwater, M.A.; Wang, J.V.; Huo, Q. Extinction Coefficient of Gold Nanoparticles with Different Sizes and Different Capping Ligands. Colloids Surf. B 2007, 58, 3–7. [Google Scholar] [CrossRef]
- Wiaderldewicz, R.; Ruiz-Carrillo, A. Mismatch and blunt to protruding-end joining by DNA ligases. Nucleic Acids Res. 1987, 15, 7831–7848. [Google Scholar] [CrossRef]
- Willner, I.; Zayats, M. Electronic and electrochemical communication with redox enzymes and proteins using supramolecular assemblies. Angew. Chem. Int. Ed. 2007, 46, 2508–2585. [Google Scholar]
- Plaxco, K.W.; Soh, H.T. Observing proteins with electrochemical aptamer-based sensors. Trends Biotechnol. 2011, 29, 17–23. [Google Scholar]
- Alhindawi, M.; Rhouati, A.; Noordin, R.; Cialla-May, D.; Popp, J.; Zourob, M. Selection of ssDNA aptamers and construction of an aptameric electrochemical biosensor for detecting Giardia intestinalis cyst protein. Sens. Diagn. 2025, 4, 82–89. [Google Scholar] [CrossRef]
- Khosropour, H.; Maeboonruan, N.; Sriprachuabwong, C.; Tuantranont, A.; Laiwattanapaisal, W. A new double signal on electrochemical aptasensor based on gold nanoparticles/graphene nanoribbons/MOF-808 as enhancing nanocomposite for ultrasensitive and selective detection of carbendazim. OpenNano 2022, 8, 100086. [Google Scholar] [CrossRef]
- Ricci, F.; Plaxco, K.W. Using electrochemical methods to monitor DNA interactions and DNA-based structures. Chem. Soc. Rev. 2009, 38, 2372–2381. [Google Scholar]
- Liu, Y.; Gao, F.; Zhang, Q.; Li, J.; Liu, M. A gold nanoparticle-based electrochemical aptasensor for sensitive detection of malathion in environmental samples. Biosens. Bioelectron. 2024, 233, 115609. [Google Scholar]
- Yang, Y.; Yan, W.; Guo, Y.; Wang, X.; Zhang, F.; Yu, L.; Guo, C.; Fang, G. Sensitive and selective electrochemical aptasensor via diazonium-coupling reaction for label-free determination of oxytetracycline in milk samples. Sens. Actuators Rep. 2020, 2, 100009. [Google Scholar] [CrossRef]
- dos Santos, S.M.V.; Oliveira, P.R.; Oliveira, M.C.; Bergamini, M.F.; Marcolino-Jr, L.H. Eletrodos impressos construídos por serigrafia utilizando negro de fumo como material condutor. Rev. Virtual Quím. 2017, 9, 626. [Google Scholar] [CrossRef]
- Chauhan, R.; Gill, A.S.; Nate, Z.; Karpoormath, R. Highly selective electrochemical detection of ciprofloxacin using reduced graphene oxide/poly(phenol red) modified glassy carbon electrode. J. Electroanal. Chem. 2020, 871, 114254. [Google Scholar] [CrossRef]
- Matsunaga, T.; Kondo, T.; Osasa, T.; Kotsugai, A.; Shitanda, I.; Hoshi, Y.; Itagaki, M.; Aikawa, T.; Tojo, T.; Yuasa, M. Sensitive electrochemical detection of ciprofloxacin at screen-printed diamond electrodes. Carbon 2020, 159, 247–254. [Google Scholar] [CrossRef]
- Sadeghi, S.; Javanshiri-Ghasemabadi, J. Bimetallic metal-organic framework/Ni-doped ZnO nanomaterials modified carbon paste electrode for selective electrochemical determination of ciprofloxacin. RSC Adv. 2024, 14, 7836–7849. [Google Scholar] [CrossRef]
- Jiwanti, P.K.; Sukardi, D.K.A.; Sari, A.P.; Tomisaki, M.; Wafiroh, S.; Hartati, S.; Arramel, Y.H.; Wong, P.M.; Juan, J.C. Fabrication and characterization of rGO-SnO2 nanocomposite for electrochemical sensor of ciprofloxacin. Sens. Int. 2024, 5, 100276. [Google Scholar] [CrossRef]






| Technique/Electrode | Linear Range (μmol L−1) | LOD (μmol L−1) | Reference |
|---|---|---|---|
| DPV/rGO/PPR/GCE a | 0.002–0.05 and 0.05–400 1–170 | 0.002 | [43] |
| LSV/O-BDDP-printed electrodes b | 1–30 | 0.59 | [44] |
| DPV/Cu/Ce-MOF/NZP/CPE c | 0.75–100 | 0.14 | [45] |
| SWV/SPE/rGO-SnO2 d | 30–100 | 2.03 | [46] |
| DPV/SPCE-AuNPs-Apt-MCH-CPX | 0.01–0.05 | 0.003 | This work |
| Added Concentration (nmol L−1) | Found Concentration (nmol L−1) | * RSD (%) | Recovery (%) |
|---|---|---|---|
| 11 | 11.2 | 3.1 | 101.8 |
| 21 | 22.4 | 1.6 | 106.7 |
| 36 | 36.5 | 1.3 | 101.4 |
Disclaimer/Publisher’s Note: The statements, opinions and data contained in all publications are solely those of the individual author(s) and contributor(s) and not of MDPI and/or the editor(s). MDPI and/or the editor(s) disclaim responsibility for any injury to people or property resulting from any ideas, methods, instructions or products referred to in the content. |
© 2025 by the authors. Licensee MDPI, Basel, Switzerland. This article is an open access article distributed under the terms and conditions of the Creative Commons Attribution (CC BY) license (https://creativecommons.org/licenses/by/4.0/).
Share and Cite
Silva, D.N.d.; Cândido, T.C.d.O.; Pereira, A.C. Electrochemical Disposable Printed Aptasensor for Sensitive Ciprofloxacin Monitoring in Milk Samples. Chemosensors 2025, 13, 235. https://doi.org/10.3390/chemosensors13070235
Silva DNd, Cândido TCdO, Pereira AC. Electrochemical Disposable Printed Aptasensor for Sensitive Ciprofloxacin Monitoring in Milk Samples. Chemosensors. 2025; 13(7):235. https://doi.org/10.3390/chemosensors13070235
Chicago/Turabian StyleSilva, Daniela Nunes da, Thaís Cristina de Oliveira Cândido, and Arnaldo César Pereira. 2025. "Electrochemical Disposable Printed Aptasensor for Sensitive Ciprofloxacin Monitoring in Milk Samples" Chemosensors 13, no. 7: 235. https://doi.org/10.3390/chemosensors13070235
APA StyleSilva, D. N. d., Cândido, T. C. d. O., & Pereira, A. C. (2025). Electrochemical Disposable Printed Aptasensor for Sensitive Ciprofloxacin Monitoring in Milk Samples. Chemosensors, 13(7), 235. https://doi.org/10.3390/chemosensors13070235

