Label-Free Optical Biosensing Using Low-Cost Electrospun Polymeric Nanofibers
Abstract
1. Introduction
2. Materials and Methods
2.1. Reagents
2.2. Nanofiber Fabrication and Stabilization
2.3. Flowing Experiments
2.4. Biofunctionalization
2.5. Optical Setup
2.6. Data Processing
3. Results and Discussion
3.1. Bulk Sensitivity and Structural Characterization of NF Layers
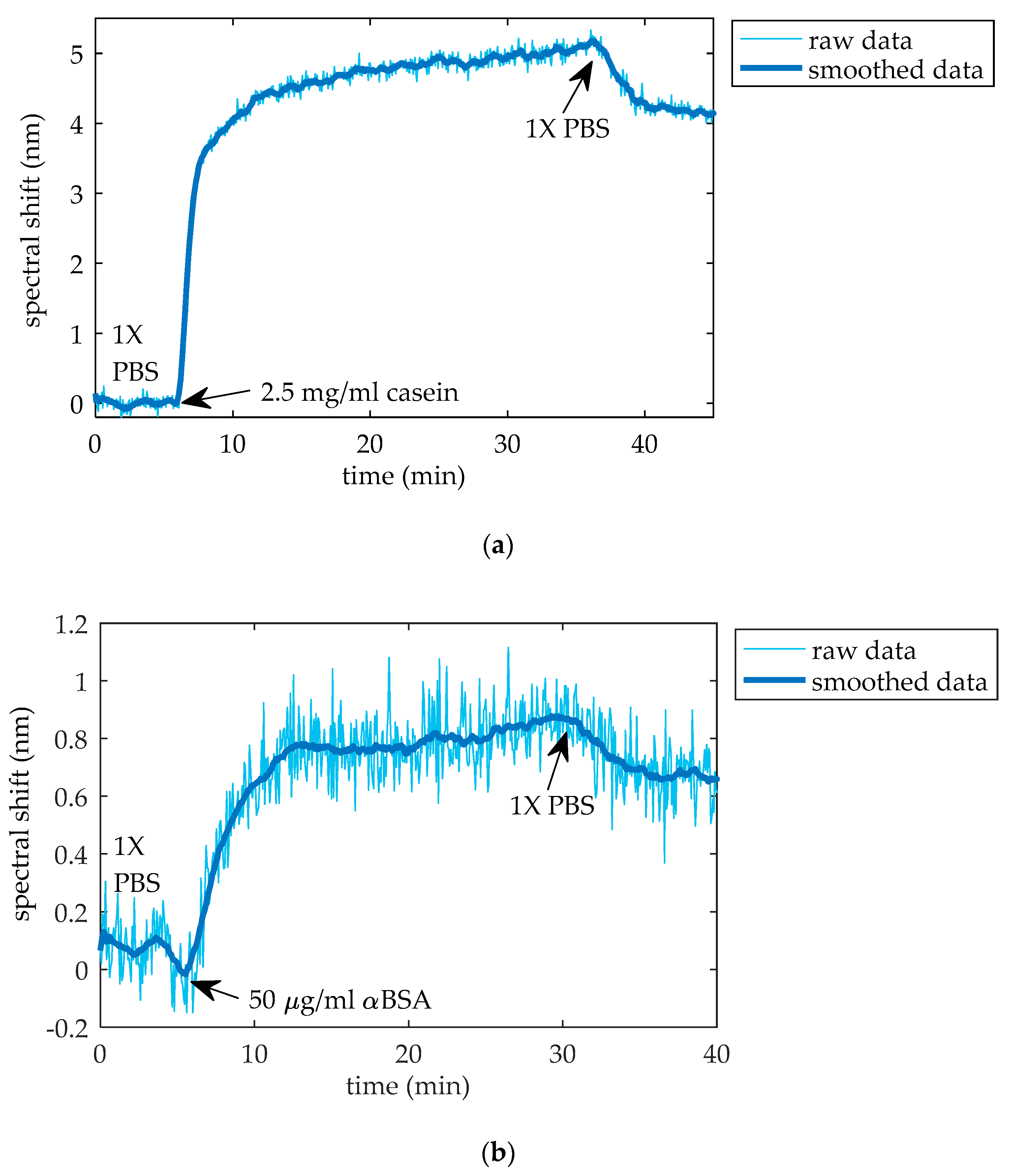
3.2. In-Flow Biofunctionalization of NFs Surface
3.3. In-Flow BSA Biodetection
4. Conclusions
Author Contributions
Funding
Conflicts of Interest
References
- Kenry; Lim, C.T. Nanofiber technology: Current status and emerging developments. Prog. Polym. Sci. 2017, 70, 1–17. [Google Scholar] [CrossRef]
- Al-Enizi, A.M.; Zagho, M.M.; Elzatahry, A.A. Polymer-based electrospun nanofibers for biomedical applications. Nanomaterials 2018, 8, 259. [Google Scholar] [CrossRef] [PubMed]
- Bonso, J.S.; Kalaw, G.D.; Ferraris, J.P. High surface area carbon nanofibers derived from electrospun PIM-1 for energy storage applications. J. Mater. Chem. A 2014, 2, 418–424. [Google Scholar] [CrossRef]
- Najafi, M.; Frey, M.W. Electrospun nanofibers for chemical separation. Nanomaterials 2020, 10, 982. [Google Scholar] [CrossRef]
- Matulevicius, J.; Kliucininkas, L.; Martuzevicius, D.; Krugly, E.; Tichonovas, M.; Baltrusaitis, J. Design and characterization of electrospun polyamide nanofiber media for air filtration applications. J. Nanomater. 2014, 2014, 859656. [Google Scholar] [CrossRef]
- Ding, J.; Zhang, J.; Li, J.; Li, D.; Xiao, C.; Xiao, H.; Yang, H.; Zhuang, X.; Chen, X. Electrospun polymer biomaterials. Prog. Polym. Sci. 2019, 90, 1–34. [Google Scholar] [CrossRef]
- Wei, L.; Sun, R.; Liu, C.; Xiong, J.; Qin, X. Mass production of nanofibers from needleless electrospinning by a novel annular spinneret. Mater. Des. 2019, 179, 107885. [Google Scholar] [CrossRef]
- Teo, W.E.; Inai, R.; Ramakrishna, S. Technological advances in electrospinning of nanofibers. Sci. Technol. Adv. Mater. 2011, 12, 013002. [Google Scholar] [CrossRef]
- Ponce-Alcántara, S.; Martín-Sánchez, D.; Pérez-Márquez, A.; Maudes, J.; Murillo, N.; García-Rupérez, J. Optical sensors based on polymeric nanofibers layers created by electrospinning. Opt. Mater. Express 2018, 8, 3163–3175. [Google Scholar] [CrossRef]
- Martin-Sanchez, D.; Angelova, T.; Garcia-Ruperez, J. Simultaneous Refractive Index Sensing Using an Array of Suspended Porous Silicon Membranes. IEEE Sens. J. 2020, 20, 8497–8504. [Google Scholar] [CrossRef]
- Santos, A.; Balderrama, V.S.; Alba, M.; Formentín, P.; Ferré-Borrull, J.; Pallarès, J.; Marsal, L.F. Tunable fabry-pérot interferometer based on nanoporous anodic alumina for optical biosensing purposes. Nanoscale Res. Lett. 2012, 7, 370. [Google Scholar] [CrossRef] [PubMed]
- Martínez-Pérez, P.; García-Rupérez, J. Commercial polycarbonate track-etched membranes as substrates for low-cost optical sensors. Beilstein J. Nanotechnol. 2019, 10, 677–683. [Google Scholar] [CrossRef] [PubMed]
- Chen, C.; Wang, J. Optical biosensors: An exhaustive and comprehensive review. Analyst 2020, 145, 1605–1628. [Google Scholar] [CrossRef] [PubMed]
- Ponce-Alcantara, S.; Martin-Sanchez, D.; Kovylina, M.; Perez-Marquez, A.; Maudes, J.; Murillo, N.; Garcia-Ruperez, J. Dual refractive index and viscosity sensing using polymeric nanofibers optical structures. IEEE Sens. J. 2019, 19, 11850–11857. [Google Scholar] [CrossRef]
- Ponce-Alcántara, S.; Martínez-Pérez, P.; Pérez-Márquez, A.; Maudes, J.; Murillo, N.; García-Rupérez, J. Stabilization of polymeric nanofibers layers for use as real-time and in-flow photonic sensors. Sensors 2019, 19, 3847. [Google Scholar] [CrossRef]
- Sharma, S.; Byrne, H.; O’Kennedy, R.J. Antibodies and antibody-derived analytical biosensors. Essays Biochem. 2016, 60, 9–18. [Google Scholar]
- Choe, W.; Durgannavar, T.A.; Chung, S.J. Fc-binding ligands of immunoglobulin G: An overview of high affinity proteins and peptides. Materials 2016, 9, 994. [Google Scholar] [CrossRef]
- Peraile, I.; Lorenzo-Lozano, P.; Murillo, N.; Maudes, J.; Rozas, G.; González-López, L.; Cabria, J.C.; Gil-García, M. Biofunctionalization of nylon nanofibers to be used in immunobiosensor for biological warfare agents detecting. In Global Progress in Applied Microbiology: A Multidisciplinary Approach; Formatex Research Center: Badajoz, Spain, 2018; pp. 18–22. ISBN 978-84-947512-2-6. [Google Scholar]
- Schürmann, M.; Scholze, J.; Müller, P.; Guck, J.; Chan, C.J. Cell nuclei have lower refractive index and mass density than cytoplasm. J. Biophotonics 2016, 9, 1068–1076. [Google Scholar] [CrossRef]
- Martínez-Pérez, P.; Gómez-Gómez, M.; Angelova, T.; Griol, A.; Hurtado, J.; Bellieres, L.; García-Rupérez, J. Continuous detection of increasing concentrations of thrombin employing a label-free photonic crystal aptasensor. Micromachines 2020, 11, 464. [Google Scholar] [CrossRef]
- Martín-Sánchez, D.; Ponce-Alcántara, S.; Martínez-Pérez, P.; García-Rupérez, J. Macropore Formation and Pore Morphology Characterization of Heavily Doped p-Type Porous Silicon. J. Electrochem. Soc. 2019, 166, B9–B12. [Google Scholar] [CrossRef]
- Law, C.S.; Lim, S.Y.; Abell, A.D.; Voelcker, N.H.; Santos, A. Nanoporous anodic alumina photonic crystals for optical chemo-and biosensing: Fundamentals, advances, and perspectives. Nanomaterials 2018, 8, 788. [Google Scholar] [CrossRef] [PubMed]
- Varma, M.M. Polymer thin film structures for ultra-low cost biosensing. Optik 2012, 123, 1400–1403. [Google Scholar] [CrossRef]
- Ali, L.; Mohammed, M.U.; Khan, M.; Yousuf, A.H.B.; Chowdhury, M.H. High-Quality Optical Ring Resonator-Based Biosensor for Cancer Detection. IEEE Sens. J. 2020, 20, 1867–1875. [Google Scholar] [CrossRef]
- Mohammed, N.A.; Hamed, M.M.; Khalaf, A.A.M.; Alsayyari, A.; El-Rabaie, S. High-sensitivity ultra-quality factor and remarkable compact blood components biomedical sensor based on nanocavity coupled photonic crystal. Results Phys. 2019, 14, 102478. [Google Scholar] [CrossRef]








Publisher’s Note: MDPI stays neutral with regard to jurisdictional claims in published maps and institutional affiliations. |
© 2020 by the authors. Licensee MDPI, Basel, Switzerland. This article is an open access article distributed under the terms and conditions of the Creative Commons Attribution (CC BY) license (http://creativecommons.org/licenses/by/4.0/).
Share and Cite
Martínez-Pérez, P.; Ponce-Alcántara, S.; Murillo, N.; Pérez-Márquez, A.; Maudes, J.; Peraile, I.; González-López, L.; Gil-García, M.; Lorenzo-Lozano, P.; García-Rupérez, J. Label-Free Optical Biosensing Using Low-Cost Electrospun Polymeric Nanofibers. Chemosensors 2020, 8, 119. https://doi.org/10.3390/chemosensors8040119
Martínez-Pérez P, Ponce-Alcántara S, Murillo N, Pérez-Márquez A, Maudes J, Peraile I, González-López L, Gil-García M, Lorenzo-Lozano P, García-Rupérez J. Label-Free Optical Biosensing Using Low-Cost Electrospun Polymeric Nanofibers. Chemosensors. 2020; 8(4):119. https://doi.org/10.3390/chemosensors8040119
Chicago/Turabian StyleMartínez-Pérez, Paula, Salvador Ponce-Alcántara, Nieves Murillo, Ana Pérez-Márquez, Jon Maudes, Inés Peraile, Laura González-López, Matilde Gil-García, Paloma Lorenzo-Lozano, and Jaime García-Rupérez. 2020. "Label-Free Optical Biosensing Using Low-Cost Electrospun Polymeric Nanofibers" Chemosensors 8, no. 4: 119. https://doi.org/10.3390/chemosensors8040119
APA StyleMartínez-Pérez, P., Ponce-Alcántara, S., Murillo, N., Pérez-Márquez, A., Maudes, J., Peraile, I., González-López, L., Gil-García, M., Lorenzo-Lozano, P., & García-Rupérez, J. (2020). Label-Free Optical Biosensing Using Low-Cost Electrospun Polymeric Nanofibers. Chemosensors, 8(4), 119. https://doi.org/10.3390/chemosensors8040119

