Nanocrystalline Oxides NixCo3−xO4: Sub-ppm H2S Sensing and Humidity Effect
Abstract
1. Introduction
2. Materials and Methods
3. Results and Discussion
3.1. Characteristics of Nanocrystalline Co3O4 and NixCo3−xO4 Samples
3.2. Sensor Properties for H2S Detection
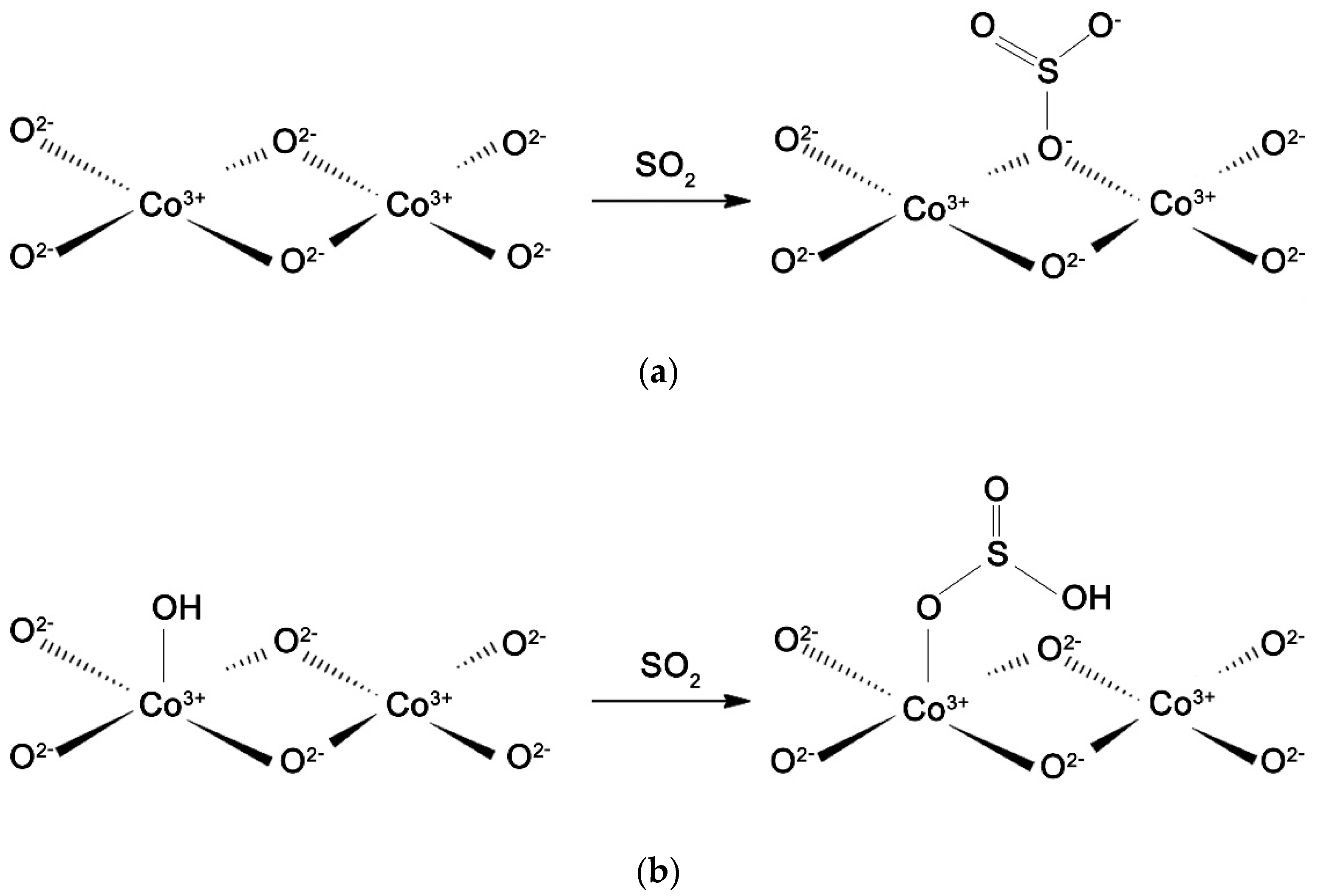
3.3. DRIFT Spectroscopy Investigation in a Hydrogen Sulfide Atmosphere
3.3.1. Interaction of Co3O4 with H2S in Dry Air
3.3.2. Interaction of Co3O4 with H2S in Humid Air
3.3.3. Interaction of Ni0.1Co2.9O4 with H2S in Dry and Humid Air
3.3.4. DRIFT Spectra Baseline Absorption and Sensor Signal
4. Conclusions
Author Contributions
Funding
Institutional Review Board Statement
Informed Consent Statement
Data Availability Statement
Acknowledgments
Conflicts of Interest
References
- Dey, A. Semiconductor metal oxide gas sensors: A review. Mater. Sci. Eng. B 2018, 229, 206–217. [Google Scholar] [CrossRef]
- Korotcenkov, G. Metal oxides for solid-state gas sensors: What determines our choice? Mater. Sci. Eng. B 2007, 139, 1–23. [Google Scholar] [CrossRef]
- Llobet, E.; Brunet, J.; Pauly, A.; Ndiaye, A.; Varenne, C. Nanomaterials for the Selective Detection of Hydrogen Sulfide in Air. Sensors 2017, 17, 391. [Google Scholar] [CrossRef] [PubMed]
- Advani, G.N.; Nanis, L. Effects of humidity on hydrogen sulfide detection by SnO2 solid state gas sensors. Sens. Actuators 1981, 2, 201–206. [Google Scholar] [CrossRef]
- Grossmann, K.; Pavelko, R.G.; Barsan, N.; Weimar, U. Interplay of H2, water vapor and oxygen at the surface of SnO2 based gas sensors—An operando investigation utilizing deuterated gases. Sens. Actuators B Chem. 2012, 166, 787–793. [Google Scholar] [CrossRef]
- Staerz, A.; Berthold, C.; Russ, T.; Wicker, S.; Weimar, U.; Barsan, N. The oxidizing effect of humidity on WO3 based sensors. Sens. Actuators B Chem. 2016, 237, 54–58. [Google Scholar] [CrossRef]
- Platonov, V.; Rumyantseva, M.; Khmelevsky, N.; Gaskov, A. Electrospun ZnO/Pd Nanofibers: CO Sensing and Humidity Effect. Sensors 2020, 20, 7333. [Google Scholar] [CrossRef]
- Wang, Y.; Duan, G.; Zhu, Y.; Zhang, H.; Xu, Z.; Dai, Z.; Cai, W. Room temperature H2S gas sensing properties of In2O3 micro/nanostructured porous thin film and hydrolyzation-induced enhanced sensing mechanism. Sens. Actuators B Chem. 2016, 228, 74–84. [Google Scholar] [CrossRef]
- Itoh, T.; Matsubara, I.; Tamaki, J.; Kanematsu, K.; Shin, W.; Izu, N.; Nishibori, M. Effect of high-humidity aging on performance of tungsten oxide-type aromatic compound sensors. Sens. Mater. 2012, 24, 13–19. [Google Scholar]
- Shalev, G. The Electrostatically Formed Nanowire: A Novel Platform for Gas-Sensing Applications. Sensors 2017, 17, 471. [Google Scholar] [CrossRef] [PubMed]
- Henning, A.; Molotskii, M.; Swaminathan, N.; Vaknin, Y.; Godkin, A.; Shalev, G.; Rosenwaks, Y. Electrostatic Limit of Detection of Nanowire-Based Sensors. Small 2015, 11, 4931–4937. [Google Scholar] [CrossRef]
- Arshak, K.; Moore, E.; Lyons, G.; Harris, J.; Clifford, S. A review of gas sensors employed in electronic nose applications. Sens. Rev. 2004, 24, 181–198. [Google Scholar] [CrossRef]
- Urasińska-Wójcik, B.; Gardner, J.W. H2S Sensing in Dry and Humid H2 Environment With p-Type CuO Thick-Film Gas Sensors. IEEE Sens. J. 2018, 18, 3502–3508. [Google Scholar] [CrossRef]
- Schwarz, M.; Faisal, F.; Mohr, S.; Hohner, C.; Werner, K.; Xu, T.; Skála, T.; Tsud, N.; Prince, K.C.; Matolín, V.; et al. Structure-Dependent Dissociation of Water on Cobalt Oxide. J. Phys. Chem. Lett. 2018, 9, 2763–2769. [Google Scholar] [CrossRef] [PubMed]
- Liotta, L.F.; Wu, H.; Pantaleo, G.; Venezia, A.M. Co3O4 nanocrystals and Co3O4–MOx binary oxides for CO, CH4 and VOC oxidation at low temperatures: A review. Catal. Sci. Technol. 2013, 3, 3085–3102. [Google Scholar] [CrossRef]
- Baidya, T.; Murayama, T.; Nellaiappan, S.; Katiyar, N.K.; Bera, P.; Safonova, O.; Lin, M.; Priolkar, K.R.; Kundu, S.; Rao, B.S. Ultra-low-temperature CO oxidation activity of octahedral site cobalt species in Co3O4 based catalysts: Unravelling the origin of the unique catalytic property. J. Phys. Chem. C 2019, 123, 19557–19571. [Google Scholar] [CrossRef]
- Wang, H.-F.; Kavanagh, R.; Guo, Y.-L.; Guo, Y.; Lu, G.; Hua, P. Origin of extraordinarily high catalytic activity of Co3O4 and its morphological chemistry for CO oxidation at low temperature. J. Catal. 2012, 296, 110–119. [Google Scholar] [CrossRef]
- Wang, Z.; Wang, W.; Zhang, L.; Jiang, D. Surface oxygen vacancies on Co3O4 mediated catalytic formaldehyde oxidation at room temperature. Catal. Sci. Technol. 2015, 6, 3845–3853. [Google Scholar] [CrossRef]
- Vladimirova, S.A.; Prikhodko, K.Y.; Rumyantseva, M.N.; Konstantinova, E.A.; Chizhov, A.S.; Khmelevsky, N.O.; Gaskov, A.M. Nanocrystalline complex oxides NixCo3-xO4: Cations distribution impact on electrical and gas sensor behavior. J. Alloys Compd. 2020, 828, 154420. [Google Scholar] [CrossRef]
- Krotova, A.; Prikhodko, K.; Vladimirova, S.; Filatova, D. Determination of nickel, zinc and cobalt in advanced materials based on NixCo3-xO4and ZnxCo3-xO4by inductively coupled plasma mass spectrometry (ICP-MS) and X-Ray fluorescence. Inorg. Mater. 2019, 55, 1343–1346. [Google Scholar] [CrossRef]
- Chizhov, A.; Rumyantseva, M.; Vasiliev, R.; Filatova, D.; Drozdov, K.; Krylov, I.; Marchevsky, A.; Karakulina, O.; Abakumov, A.; Gaskov, A. Visible light activation of room temperature NO2 gas sensors based on ZnO, SnO2 and in 2O3 sensitized with CdSe quantum dots. Thin Solid Film. 2016, 618, 253–262. [Google Scholar] [CrossRef]
- World Health Organization (WHO). Air Quality Guidelines for Europe, 2nd ed.; WHO Regional Publications: Copenhagen, Denmark, 2000; Volume 91. [Google Scholar]
- Davydov, A. Molecular Spectroscopy of Oxide Catalyst Surfaces; Wiley: Hoboken, NJ, USA, 2003; pp. 139–157. [Google Scholar]
- Kataoka, S.; Lee, E.; Tejedor-Tejedor, M.I.; Anderson, M.A. Photocatalytic degradation of hydrogen sulfide and in situ FT-IR analysis of reaction products on surface of TiO2. Appl. Catal. B Environ. 2005, 61, 159–163. [Google Scholar] [CrossRef]
- Piéplu, A.; Saur, O.; Lavalley, J.-C. IR Study of H2S and SO2 Adsorption on Ferric Oxide. Prog. Fourier Transform. Spectrosc. 1997, 14, 707–709. [Google Scholar] [CrossRef]
- Jin, T.; Machida, M.; Yamaguchi, T.; Tanabe, K. Infrared study of sulfur-containing iron oxide. Behavior of sulfur during reduction and oxidation. Inorg. Chem. 1984, 23, 4396–4398. [Google Scholar] [CrossRef]
- Wang, J.; Chen, L.; Ballesteros, R.L.; de la Fuente, J.M.; Domínguez, J. Evaluation of crystalline structure and SO2 storage capacity of a series of composition-sensitive De-SO2 catalysts. J. Mol. Catal. A Chem. 2003, 194, 181–193. [Google Scholar] [CrossRef]
- Waqif, M.; Saad, A.M.; Bensitel, M.; Bachelier, J.; Saur, O.; Lavalley, J.-C. Comparative study of SO2 adsorption on metal oxides. J. Chem. Soc. Faraday Trans. 1992, 88, 2931–2936. [Google Scholar] [CrossRef]
- Laniecki, M.; Ziolek, M.; Karge, H.G. Effect of water on the formation of HSO3—Ions upon SO2 adsorption onto Faujasite-type zeolites. J. Phys. Chem. 1987, 91, 4–6. [Google Scholar] [CrossRef]
- Baraton, M.-I.; Merhari, L. Determination of the gas sensing potentiality of nanosized powders by FTIR spectrometry. Scr. Mater. 2001, 44, 1643–1648. [Google Scholar] [CrossRef]
- Du, X.; Du, Y.; George, S.M. CO Gas Sensing by Ultrathin Tin Oxide Films Grown by Atomic Layer Deposition Using Transmission FTIR Spectroscopy. J. Phys. Chem. A 2008, 112, 9211–9219. [Google Scholar] [CrossRef]

















| Sample | Structural Type/Lattice Constant a (Å) | XRD Particles Size d (nm) | BET Specific Surface Area SBET (m2 g−1) | |
|---|---|---|---|---|
| Co3O4 | 0 | normal spinel 8.0575(14) | 11 ± 2 | 48 ± 3 |
| Ni0.04Co2.96O4 | 1.24 ± 0.06 | normal spinel 8.0681(12) | 12 ± 1 | 44 ± 3 |
| Ni0.07Co2.93O4 | 2.4 ± 0.1 | normal spinel 8.0734(17) | 9 ± 1 | 56 ± 4 |
| Ni0.1Co2.9O4 | 3.3 ± 0.2 | normal spinel 8.0800(30) | 10 ± 1 | 53 ± 3 |
| Sample | LDC, ppb | Sensitivity (Signal per Concentration), ppm−1 |
|---|---|---|
| Co3O4 | 120 | 0.74 |
| Ni0.04Co2.96O4 | 100 | 0.60 |
| Ni0.07Co2.93O4 | 150 | 0.60 |
| Ni0.1Co2.9O4 | 120 | 0.51 |
| Surface Groups | Adsorption Bands, cm−1 | |||
|---|---|---|---|---|
| Co3O4 | Ni0.1Co2.9O4 | |||
| 0% R.H. | 60% R.H. | 0% R.H. | 60% R.H. | |
| OH | 3400 (broad.) | 3430 (broad.) | 3440 (broad.) | 3430 (broad.) |
| H2O | 1616 | 1621 | 1621 | 1618 |
| SO42− | 1340, 1124 | − | 1346 | − |
| SO32− | 1030 | 1030, 1050 | 1030, 1050 | 1030, 1050 |
| HSO3− | 1290, 1154 | 1270, 1154 | 1287, 1145 | 1275, 1154 |
| SO2(ads) | 1330 | 1306 | 1327 | 1306 |
Publisher’s Note: MDPI stays neutral with regard to jurisdictional claims in published maps and institutional affiliations. |
© 2021 by the authors. Licensee MDPI, Basel, Switzerland. This article is an open access article distributed under the terms and conditions of the Creative Commons Attribution (CC BY) license (http://creativecommons.org/licenses/by/4.0/).
Share and Cite
Prikhodko, K.; Nasriddinov, A.; Vladimirova, S.; Rumyantseva, M.; Gaskov, A. Nanocrystalline Oxides NixCo3−xO4: Sub-ppm H2S Sensing and Humidity Effect. Chemosensors 2021, 9, 34. https://doi.org/10.3390/chemosensors9020034
Prikhodko K, Nasriddinov A, Vladimirova S, Rumyantseva M, Gaskov A. Nanocrystalline Oxides NixCo3−xO4: Sub-ppm H2S Sensing and Humidity Effect. Chemosensors. 2021; 9(2):34. https://doi.org/10.3390/chemosensors9020034
Chicago/Turabian StylePrikhodko, Kseniya, Abulkosim Nasriddinov, Svetlana Vladimirova, Marina Rumyantseva, and Alexander Gaskov. 2021. "Nanocrystalline Oxides NixCo3−xO4: Sub-ppm H2S Sensing and Humidity Effect" Chemosensors 9, no. 2: 34. https://doi.org/10.3390/chemosensors9020034
APA StylePrikhodko, K., Nasriddinov, A., Vladimirova, S., Rumyantseva, M., & Gaskov, A. (2021). Nanocrystalline Oxides NixCo3−xO4: Sub-ppm H2S Sensing and Humidity Effect. Chemosensors, 9(2), 34. https://doi.org/10.3390/chemosensors9020034

