Comparison of Three Different Multiple Organ Dysfunction Scores for Predicting Mortality after Neonatal Cardiac Surgery
Abstract
1. Introduction
2. Materials and Methods
2.1. Study Population
2.2. Demographic and Clinical Data
2.3. Organ Dysfunction Scores
2.4. Statistical Analysis
3. Results
4. Discussion
Author Contributions
Funding
Institutional Review Board Statement
Informed Consent Statement
Data Availability Statement
Conflicts of Interest
References
- Goldshtrom, N.; Vasquez, A.M.; Chaves, D.V.; Bateman, D.A.; Kalfa, D.; Levasseur, S.; Torres, A.J.; Bacha, E.; Krishnamurthy, G. Outcomes after neonatal cardiac surgery: The impact of a dedicated neonatal cardiac program. J. Thorac. Cardiovasc. Surg. 2023, 165, 2204–2211.e4. [Google Scholar] [CrossRef]
- Seghaye, M.C.; Engelhardt, W.; Grabitz, R.G.; Faymonville, M.E.; Hörnchen, H.; Messmer, B.J.; von Bernuth, G. Multiple System Organ Failure after Open Heart Surgery in Infants and Children. Thorac. Cardiovasc. Surg. 1993, 41, 49–53. [Google Scholar] [CrossRef] [PubMed]
- Ben-Abraham, R.; Efrati, O.; Mishali, D.; Yulia, F.; Vardi, A.; Barzilay, Z.; Paret, G. Predictors for mortality after prolonged mechanical ventilation after cardiac surgery in children. J. Crit. Care 2002, 17, 235–239. [Google Scholar] [CrossRef] [PubMed]
- Brown, K.L.; Crowe, S.; Franklin, R.; McLean, A.; Cunningham, D.; Barron, D.; Tsang, V.; Pagel, C.; Utley, M. Trends in 30-day mortality rate and case mix for paediatric cardiac surgery in the UK between 2000 and 2010. Open Heart 2015, 2, e000157. [Google Scholar] [CrossRef]
- Shime, N.; Kageyama, K.; Ashida, H.; Tanaka, Y. Application of modified sequential organ failure assessment score in children after cardiac surgery. J. Cardiothorac. Vasc. Anesth. 2001, 15, 463–468. [Google Scholar] [CrossRef]
- Gonçalves, J.-P.; Severo, M.; Rocha, C.; Jardim, J.; Mota, T.; Ribeiro, A. Performance of PRISM III and PELOD-2 scores in a pediatric intensive care unit. Eur. J. Pediatr. 2015, 174, 1305–1310. [Google Scholar] [CrossRef] [PubMed]
- Leteurtre, S.; Duhamel, A.; Deken, V.; Lacroix, J.; Leclerc, F.; Groupe Francophone de Réanimation et Urgences Pédiatriques (GFRUP). Daily estimation of the severity of organ dysfunctions in critically ill children by using the PELOD-2 score. Crit. Care 2015, 19, 324. [Google Scholar] [CrossRef]
- Ödek, Ç.; Kendirli, T.; Uçar, T.; Yaman, A.; Tutar, E.; Eyileten, Z.; Taşar, M.; Ramoğlu, M.; Ateş, C.; Uysalel, A.; et al. Predictors of Early Extubation After Pediatric Cardiac Surgery: A Single-Center Prospective Observational Study. Pediatr. Cardiol. 2016, 37, 1241–1249. [Google Scholar] [CrossRef]
- Janota, J.; Stranák, Z.; Statecná, B.; Dohnalová, A.; Sípek, A.; Simák, J. Characterization of multiple organ dysfunction syndrome in very low birthweight infants: A new sequential scoring system. Shock 2001, 15, 348–352. [Google Scholar] [CrossRef]
- Çetinkaya, M.; Köksal, N.; Özkan, H. A New Scoring System for Evaluation of Multiple Organ Dysfunction Syndrome in Premature Infants. Am. J. Crit. Care 2012, 21, 328–337. [Google Scholar] [CrossRef]
- Lelong, N.; Tararbit, K.; Le Page-Geniller, L.; Cohen, J.; Kout, S.; Foix-L’Hélias, L.; Boileau, P.; Chalumeau, M.; Goffinet, F.; Khoshnood, B.; et al. Predicting the risk of infant mortality for newborns operated for congenital heart defects: A population-based cohort (EPICARD) study of two post-operative predictive scores. Health Sci. Rep. 2021, 4, e300. [Google Scholar] [CrossRef] [PubMed]
- Russell, R.A.; Ghanayem, N.S.; Kuhn, E.M.; Jeffries, H.E.; Scanlon, M.C.; Rice, T.B. Relationship between risk-adjustment tools and the pediatric logistic organ dys-function score. World J. Pediatr. Congenit. Heart Surg. 2014, 15, 16–21. [Google Scholar] [CrossRef] [PubMed]
- Leteurtre, S.; Duhamel, A.; Salleron, J.; Grandbastien, B. PELOD-2: An update of the pediatric logistic organ dysfunction score. Crit. Care Med. 2013, 41, 1761–1773. [Google Scholar] [CrossRef]
- Mandrekar, J.N. Receiver Operating Characteristic Curve in Diagnostic Test Assessment. J. Thorac. Oncol. 2010, 5, 1315–1316. [Google Scholar] [CrossRef] [PubMed]
- DeLong, E.R.; DeLong, D.M.; Clarke-Pearson, D.L. Comparing the areas under two or more correlated receiver operating charac-teristic curves: A nonparametric approach. Biometrics 1988, 44, 837–845. [Google Scholar] [CrossRef] [PubMed]
- Youden, W.J. Index for rating diagnostic tests. Cancer 1950, 3, 32–35. [Google Scholar] [CrossRef]
- Czaja, A.S.; Scanlon, M.C.; Kuhn, E.M.; Jeffries, H.E. Performance of the Pediatric Index of Mortality 2 for pediatric cardiac surgery patients. Pediatr. Crit. Care Med. 2011, 12, 184–189. [Google Scholar] [CrossRef]
- Berger, J.T.; Holubkov, R.; Reeder, R.; Wessel, D.L.; Meert, K.; Berg, R.A.; Bell, M.J.; Tamburro, R.; Dean, J.M.; Pollack, M.M. Morbidity and mortality prediction in pediatric heart surgery: Physiological profiles and surgical complexity. J. Thorac. Cardiovasc. Surg. 2017, 154, 620–628.e6. [Google Scholar] [CrossRef]
- Bestati, N.; Leteurtre, S.; Duhamel, A.; Proulx, F.; Grandbastien, B.; Lacroix, J.; Leclerc, F. Differences in organ dysfunctions between neonates and older children: A prospective, observational, multicenter study. Crit. Care 2010, 14, R202. [Google Scholar] [CrossRef]
- Avanoğlu, A.; Ergün, O.; Bakirtaş, F.; Erdener, A. Characteristics of multisystem organ failure in neonates. Eur. J. Pediatr. Surg. 1997, 7, 263–266. [Google Scholar] [CrossRef]
- Aslan, N.; Yildizdas, D. Low Cardiac Output Syndrome After Cardiac Surgery: A Life-Threatening Condition from the Perspective of Pediatric Intensivists. Turk Kardiyol. Dern. Ars. 2022, 50, 284–292. [Google Scholar] [CrossRef] [PubMed]
- Basu, R.K.; Andrews, A.; Krawczeski, C.; Manning, P.; Wheeler, D.S.; Goldstein, S.L. Acute Kidney Injury Based on Corrected Serum Creatinine Is Associated with Increased Morbidity in Children Following the Arterial Switch Operation. Pediatr. Crit. Care Med. 2013, 14, e218–e224. [Google Scholar] [CrossRef] [PubMed]
- Sokou, R.; Tritzali, M.; Piovani, D.; Konstantinidi, A.; Tsantes, A.G.; Ioakeimidis, G.; Lampridou, M.; Parastatidou, S.; Iacovidou, N.; Kokoris, S.; et al. Comparative Performance of Four Established Neonatal Disease Scoring Systems in Pre-dicting In-Hospital Mortality and the Potential Role of Thromboelastometry. Diagnostics 2021, 11, 1955. [Google Scholar] [CrossRef] [PubMed]
- Krishnamurthy, G. Cardiopulmonary Bypass in Premature and Low Birth Weight Neonates—Implications for Postoperative Care from a Neonatologist/Intensivist Perspective. Semin. Thorac. Cardiovasc. Surg. Pediatr. Card. Surg. Annu. 2019, 22, 2–9. [Google Scholar] [CrossRef] [PubMed]
- Smith, S.D.; Tagge, E.P.; Hannakan, C.; Rowe, M.I. Characterization of neonatal multisystem organ failure in the surgical newborn. J. Pediatr. Surg. 1991, 26, 494–499. [Google Scholar] [CrossRef] [PubMed]
- Hazle, M.A.; Gajarski, R.J.; Yu, S.; Donohue, J.; Blatt, N.B. Fluid Overload in Infants Following Congenital Heart Surgery. Pediatr. Crit. Care Med. 2013, 14, 44–49. [Google Scholar] [CrossRef] [PubMed]
- Henry, B.M.; Borasino, S.; Ortmann, L.; Figueroa, M.; Rahman, A.F.; Hock, K.M.; Briceno-Medina, M.; Alten, J.A. Perioperative serum albumin and its influence on clinical outcomes in neonates and infants undergoing cardiac surgery with cardiopulmonary bypass: A multi-centre retrospective study. Cardiol. Young 2019, 29, 761–767. [Google Scholar] [CrossRef]
- Pätilä, T.; Kukkonen, S.; Vento, A.; Pettilä, V.; Suojaranta-Ylinen, R. Relation of the Sequential Organ Failure Assessment Score to Morbidity and Mortality After Cardiac Surgery. Ann. Thorac. Surg. 2006, 82, 2072–2078. [Google Scholar] [CrossRef]



| Total Cohort (n = 138) | Survivors (n = 116) | Non-Survivors (n = 22) | p Value * | |
|---|---|---|---|---|
| Infant Characteristics | ||||
| Gestational age, (weeks) (SD) | 37.6 ± 3.5 | 37.5 ± 3.39 | 38 ± 1.09 | 0.88 |
| Gender (male), n (%) | 79 (57.2) | 70 (60.3) | 9 (40.9) | 0.07 |
| Birth weight, (grams) (SD) | 3104 ± 493 | 3107 ± 491 | 3088 ± 516 | 0.59 |
| Premature, n (%) | 15 (10.9) | 13 (11.2) | 2 (9) | 0.76 |
| SGA, n (%) | 12 (8.7) | 9 (7.8) | 3 (13.6) | 0.41 |
| Weight at surgery, (grams) (SD) | 3267 ± 454 | 3276 ± 458 | 3215 ± 435 | 0.46 |
| Age at surgery, d, median (IQR) | 13 (9–19) | 13 (9–19.5) | 11.5 (6–19) | 0.28 |
| Cardiovascular diagnosis, n (%) | ||||
| Single ventricle anatomy | 41 (29.7) | 27 (23.3) | 14 (63.6) | <0.01 |
| Double ventricular anatomy | 97 (70.3) | 89 (76.7) | 8 (36.4) | |
| RACHS-1 score, n (%) | ||||
| <4 | 72 (52.2) | 66 (56.9) | 6 (27.3) | 0.02 |
| ≥4 | 66 (47.8) | 50 (43.1) | 16 (72.7) | |
| Preoperative mechanical ventilation, n (%) | 98 (71) | 80 (68.9) | 18 (81.8) | 0.3 |
| Preoperative organ failure, n (%) | 16 (11.6) | 13 (11.2) | 3 (13.6) | 0.72 |
| Perioperative Data | ||||
| Cardiopulmonary bypass (min), median (IQR) | 182 (125–211) | 182 (132–210) | 180.5 (117–220) | 0.69 |
| Aortic cross clamp (min), median (IQR) | 120 (76–146) | 121 (90–147) | 102 (53–146) | 0.14 |
| Delayed sternal closure, n (%) | 37 (26.8) | 24 (20.7) | 13 (59.1) | <0.01 |
| Postoperative Data | ||||
| Maximum VIS, day 1, median (IQR) | 25 (16.5–35) | 23 (15–35) | 25 (20–40.25) | 0.25 |
| Maximum VIS, day 2, median (IQR) | 15 (15–26) | 13 (8–20) | 31 (16.25–45.5) | 0.04 |
| Postoperative complications | ||||
| AKI, n (%) | 54 (39.1) | 40 (34.4) | 14 (63.6) | <0.01 |
| Peritoneal dialysis, n (%) | 22 (15.9) | 10 (8.6) | 12 (54.5) | <0.01 |
| Necrotizing enterocolitis, n (%) | 11 (8) | 8 (6.9) | 3 (13.6) | 0.03 |
| Chylothorax, n (%) | 3 (2.2) | 3 (2.6) | - | 1 |
| Sepsis, n (%) | 33 (23.9) | 29 (25) | 4 (18.2) | 0.48 |
| Arrythmia, n (%) | 22 (15.9) | 19 (16.3) | 2 (9.1) | 0.62 |
| Neurologic dysfunction, n (%) | 8 (5.8) | 6 (5.2) | 2 (9) | 0.21 |
| Postoperative | ||||
| NICU length of stay, day, median (IQR) | 13 (8–20) | 2 (1–7.75) | <0.01 | |
| Hospital length of stay, day, median (IQR) | 18.5 (13–27) | 2 (1–7.75) | <0.01 |
| Underlying Diagnosis, n | Total Cohort (n = 138) |
|---|---|
| TGA/TGA-VSD | 68 |
| Aortic Arch Hypoplasia/left ventricular hypoplasia | 3 |
| HLHS/HLHS variants | 25 |
| Pulmonary atresia | 8 |
| TAPVR | 4 |
| DORV-remote VSD/single ventricle | 3 |
| Aortic interruption | 5 |
| Taussig–Bing anomaly | 2 |
| Tricuspid atresia | 4 |
| Complex univentricular heart disease | 10 |
| Unbalanced complete AVSD/aortic atresia | 2 |
| Truncus arteriosus | 2 |
| Tetralogy of fallot/pulmonary atresia | 2 |
| Survivors | Non-Survivors | p Value * | |
|---|---|---|---|
| Day 1 (n = 138), median (IQR) | |||
| PELOD-2 score | 5 (4–6) | 10 (5–11) | <0.01 |
| NEOMOD score | 4 (4–5) | 7 (4–8.25) | <0.01 |
| Modified NEOMOD score | 5 (4–6) | 8 (5.75–10.25) | <0.01 |
| Day 2 (n = 131), median (IQR) | |||
| PELOD-2 score | 5 (4–6) | 9 (5.25–11) | <0.01 |
| NEOMOD score | 4 (3–5) | 7 (4.25–8) | <0.01 |
| Modified NEOMOD score | 5 (4–5.75) | 8 (6.25–9) | <0.01 |
| Day 3 (n = 126), median (IQR) | |||
| PELOD-2 score | 4 (3–6) | 7.5 (5–14) | <0.01 |
| NEOMOD score | 3 (3–4) | 6 (4–8) | <0.01 |
| Modified NEOMOD score | 4 (3–5) | 8 (5–12) | <0.01 |
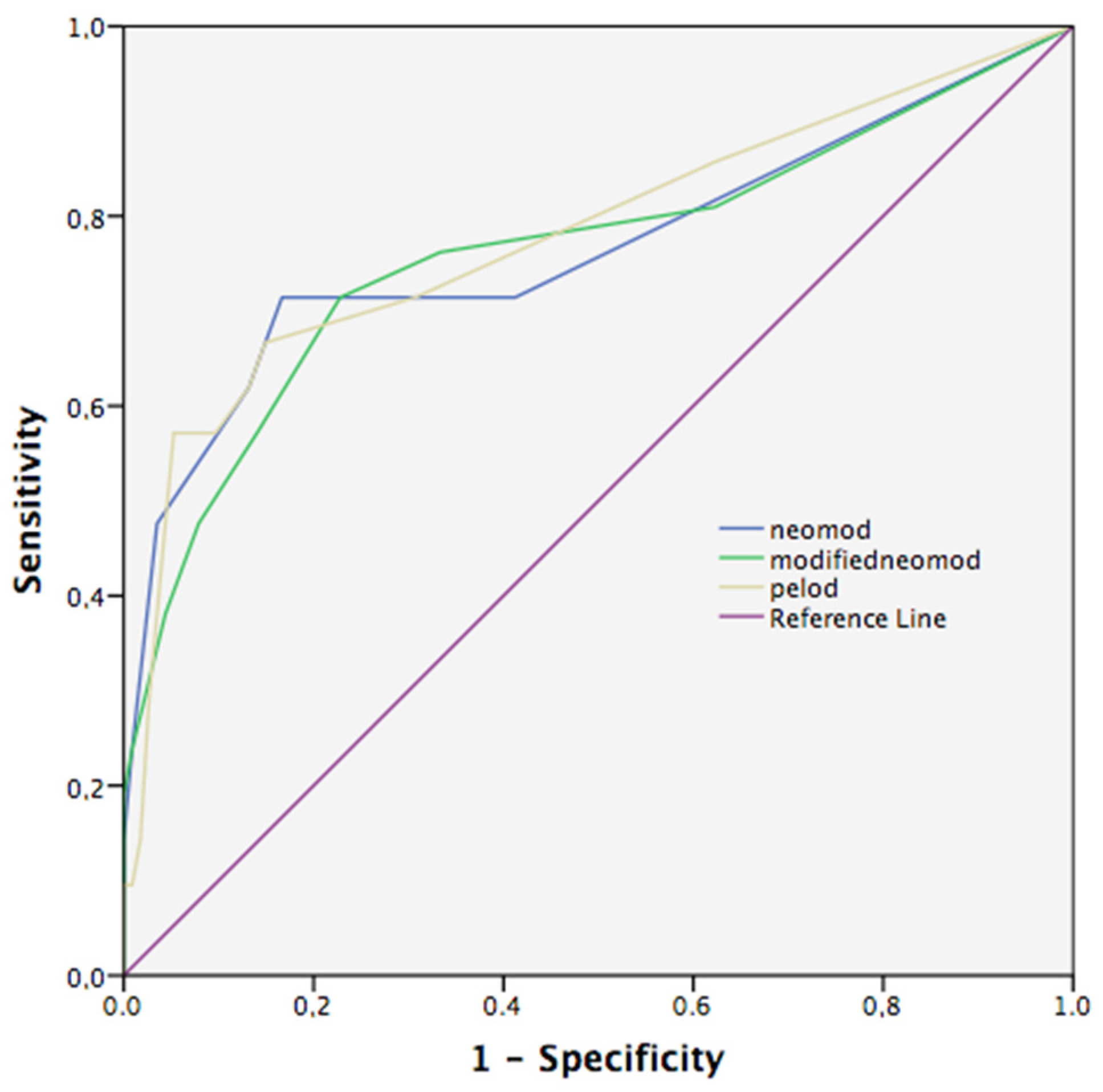
| Discriminatory Ability a | Calibration Using Hosmer–Lemeshow | |||
|---|---|---|---|---|
| Goodness-of-Fit Test b | ||||
| AUC | 95%CI | χ2 | p Value | |
| Day 1 | ||||
| PELOD-2 score | 0.78 | (0.70–0.85) | 3.98 | 0.55 |
| NEOMOD score | 0.766 | (0.69–0.84) | 5.13 | 0.08 |
| Modified NEOMOD score | 0.763 | (0.68–0.83) | 6.23 | 0.4 |
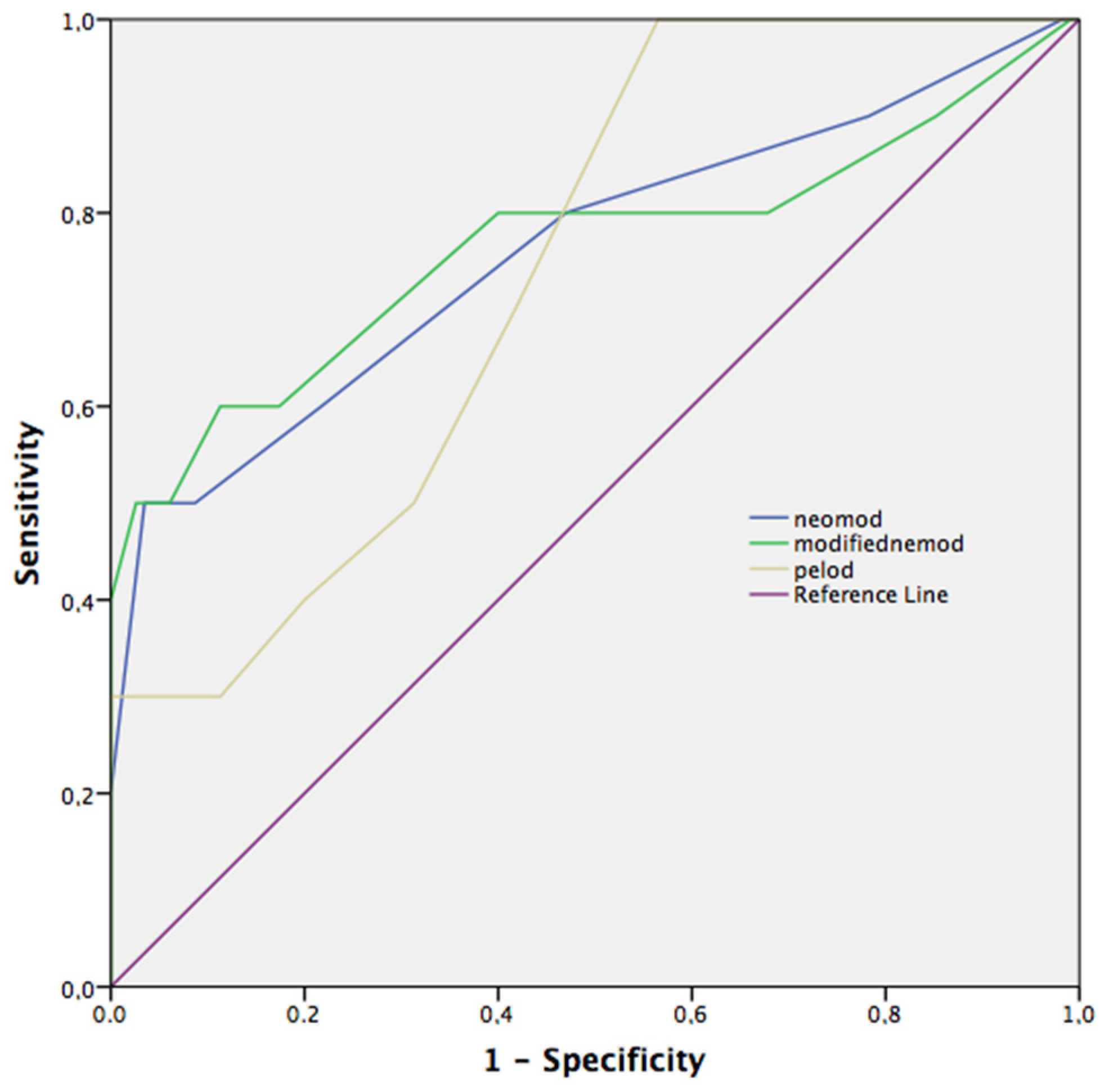
| Day 2 | ||||
| PELOD-2 score | 0.75 | (0.67–0.82) | 7.2 | 0.41 |
| NEOMOD score | 0.815 | (0.74–0.88) | 4.8 | 0.57 |
| Modified NEOMOD score | 0.824 | (0.75–0.89) | 4.69 | 0.7 |
| Day 3 | ||||
| PELOD-2 score | 0.738 | (0.62–0.87) | 8.66 | 0.28 |
| NEOMOD score | 0.753 | (0.67–0.84) | 8.17 | 0.32 |
| Modified NEOMOD score | 0.764 | (0.68–0.85) | 9 | 0.19 |
| % (95%CI) | ||||||
|---|---|---|---|---|---|---|
| Cut-Off | Youden | Sensitivity | Specificity | PPV (%) | NPV (%) | |
| Value | Index | (%) | (%) | |||
| Day 1 | ||||||
| PELOD-2 score | >9 | 0.52 | 57 (34–78) | 95 (89–98) | 67 (46–83) | 92 (88–95) |
| NEOMOD score | >5 | 0.54 | 71 (48–89) | 83 (74–89) | 43 (32–55) | 94 (89–97) |
| Modified NEOMOD score | >6 | 0.51 | 71 (48–89) | 77 (68–85) | 37 (27–47) | 94 (88–97) |
| Day 2 | ||||||
| PELOD-2 score | >8 | 0.52 | 60 (32–84) | 92 (86–96) | 50 (32–68) | 95 (91–97) |
| NEOMOD score | >6 | 0.55 | 60 (32–97) | 97 (91–99) | 69 (44–87) | 95 (91–97) |
| Modified NEOMOD score | >6 | 0.59 | 73 (45–92) | 85 (77–91) | 39 (28–53) | 96 (92–98) |
| Day 3 | ||||||
| PELOD-2 score | >3 | 0.43 | 70 (35–93) | 58 (49–67) | 13 (8–29) | 96 (90–98) |
| NEOMOD score | >6 | 0.47 | 50 (18–81) | 97 (91–99) | 56 (29–78) | 96 (92–98) |
| Modified NEOMOD score | >6 | 0.49 | 60 (26–88) | 89 (81–94) | 32 (18–49) | 96 (92–98) |
Disclaimer/Publisher’s Note: The statements, opinions and data contained in all publications are solely those of the individual author(s) and contributor(s) and not of MDPI and/or the editor(s). MDPI and/or the editor(s) disclaim responsibility for any injury to people or property resulting from any ideas, methods, instructions or products referred to in the content. |
© 2023 by the authors. Licensee MDPI, Basel, Switzerland. This article is an open access article distributed under the terms and conditions of the Creative Commons Attribution (CC BY) license (https://creativecommons.org/licenses/by/4.0/).
Share and Cite
Bezirganoglu, H.; Okur, N.; Ozdemir, F.; Gul, O.; Aldudak, B. Comparison of Three Different Multiple Organ Dysfunction Scores for Predicting Mortality after Neonatal Cardiac Surgery. Children 2023, 10, 1333. https://doi.org/10.3390/children10081333
Bezirganoglu H, Okur N, Ozdemir F, Gul O, Aldudak B. Comparison of Three Different Multiple Organ Dysfunction Scores for Predicting Mortality after Neonatal Cardiac Surgery. Children. 2023; 10(8):1333. https://doi.org/10.3390/children10081333
Chicago/Turabian StyleBezirganoglu, Handan, Nilufer Okur, Fatih Ozdemir, Ozlem Gul, and Bedri Aldudak. 2023. "Comparison of Three Different Multiple Organ Dysfunction Scores for Predicting Mortality after Neonatal Cardiac Surgery" Children 10, no. 8: 1333. https://doi.org/10.3390/children10081333
APA StyleBezirganoglu, H., Okur, N., Ozdemir, F., Gul, O., & Aldudak, B. (2023). Comparison of Three Different Multiple Organ Dysfunction Scores for Predicting Mortality after Neonatal Cardiac Surgery. Children, 10(8), 1333. https://doi.org/10.3390/children10081333

