Association of Functional Gastrointestinal Disorders with Adolescent Idiopathic Scoliosis
Abstract
1. Introduction
2. Materials and Methods
2.1. Data Source
2.2. Study Population
2.3. Primary Study Outcome
2.4. Statistical Analysis
3. Results
4. Discussion
5. Conclusions
Supplementary Materials
Author Contributions
Funding
Institutional Review Board Statement
Informed Consent Statement
Data Availability Statement
Conflicts of Interest
References
- Azar, F.M.; Beaty, J.H. Campbell’s Operative Orthopaedics, 14th ed.; Elsevier Health Sciences: Edinburgh, UK, 2020. [Google Scholar]
- Fan, Y.; To, M.K.-T.; Yeung, E.H.K.; Kuang, G.-M.; Liang, R.; Cheung, J.P.Y. Electromyographic discrepancy in paravertebral muscle activity predicts early curve progression of untreated adolescent idiopathic scoliosis. Asian Spine J. 2023, 17, 922–932. [Google Scholar]
- Babaee, T.; Moradi, V.; Hashemi, H.; Shariat, A.; Anastasio, A.T.; Khosravi, M.; Bagheripour, B. Does bracing control the progression of adolescent idiopathic scoliosis in curves higher than 40°? A systematic review and meta-analysis. Asian Spine J. 2023, 17, 203–212. [Google Scholar] [CrossRef]
- Banno, T.; Yamato, Y.; Hasegawa, T.; Yoshida, G.; Arima, H.; Oe, S.; Mihara, Y.; Ide, K.; Watanabe, Y.; Kurosu, K.; et al. Preoperative less right shoulder elevation had a higher risk of postoperative shoulder imbalance when main thoracic curve shows higher correction regardless of the upper instrumented vertebra level for patients with adolescent idiopathic scoliosis lenke type 1. Asian Spine J. 2023, 17, 166–175. [Google Scholar] [PubMed]
- Kim, H.J.; Lenke, L.G.; Pizones, J.; Castelein, R.; Trobisch, P.D.; Yagi, M.; Kelly, M.P.; Chang, D.-G. Adolescent idiopathic scoliosis: Is the feasible option of minimally invasive surgery using posterior approach? Asian Spine J. 2023. [Google Scholar] [CrossRef] [PubMed]
- Fikree, A.; Byrne, P. Management of functional gastrointestinal disorders. Clin. Med. 2021, 21, 44–52. [Google Scholar] [CrossRef]
- Ma, C.; Congly, S.E.; Novak, K.L.; Belletrutti, P.J.; Raman, M.; Woo, M.; Andrews, C.N.; Nasser, Y. Epidemiologic burden and treatment of chronic symptomatic functional bowel disorders in the united states: A nationwide analysis. Gastroenterology 2021, 160, 88–98.e84. [Google Scholar] [CrossRef] [PubMed]
- Flacco, M.E.; Manzoli, L.; De Giorgio, R.; Gasbarrini, A.; Cicchetti, A.; Bravi, F.; Altini, M.; Caio, G.P.; Ursini, F. Costs of irritable bowel syndrome in european countries with universal healthcare coverage: A meta-analysis. Eur. Rev. Med. Pharmacol. Sci. 2019, 23, 2986–3000. [Google Scholar] [PubMed]
- Black, C.J.; Drossman, D.A.; Talley, N.J.; Ruddy, J.; Ford, A.C. Functional gastrointestinal disorders: Advances in understanding and management. Lancet 2020, 396, 1664–1674. [Google Scholar] [CrossRef] [PubMed]
- Spiegel, B.; Harris, L.; Lucak, S.; Mayer, E.; Naliboff, B.; Bolus, R.; Esrailian, E.; Chey, W.D.; Lembo, A.; Karsan, H.; et al. Developing valid and reliable health utilities in irritable bowel syndrome: Results from the ibs proof cohort. Am. J. Gastroenterol 2009, 104, 1984–1991. [Google Scholar] [CrossRef] [PubMed]
- Gallant, J.N.; Morgan, C.D.; Stoklosa, J.B.; Gannon, S.R.; Shannon, C.N.; Bonfield, C.M. Psychosocial difficulties in adolescent idiopathic scoliosis: Body image, eating behaviors, and mood disorders. World Neurosurg. 2018, 116, 421–432.e421. [Google Scholar] [PubMed]
- Noonan, K.J.; Dolan, L.A.; Jacobson, W.C.; Weinstein, S.L. Long-term psychosocial characteristics of patients treated for idiopathic scoliosis. J. Pediatr. Orthop. 1997, 17, 712–717. [Google Scholar] [CrossRef]
- Schwieger, T.; Campo, S.; Weinstein, S.L.; Dolan, L.A.; Ashida, S.; Steuber, K.R. Body image and quality-of-life in untreated versus brace-treated females with adolescent idiopathic scoliosis. Spine 2016, 41, 311–319. [Google Scholar] [CrossRef] [PubMed]
- Higuchi, S.; Ikegami, S.; Oba, H.; Uehara, M.; Kuraishi, S.; Takizawa, T.; Munakata, R.; Hatakenaka, T.; Kamanaka, T.; Miyaoka, Y.; et al. Postoperative residual coronal decompensation inhibits self-image improvement in adolescent patients with idiopathic scoliosis. Asian Spine J. 2023, 17, 149–155. [Google Scholar] [PubMed]
- Lee, S.B.; Chae, H.W.; Kwon, J.W.; Sung, S.; Lee, H.M.; Moon, S.H.; Lee, B.H. Is there an association between psychiatric disorders and adolescent idiopathic scoliosis? A large-database study. Clin. Orthop. Relat. Res. 2021, 479, 1805–1812. [Google Scholar] [CrossRef]
- Caplan, A.; Walker, L.; Rasquin, A. Development and preliminary validation of the questionnaire on pediatric gastrointestinal symptoms to assess functional gastrointestinal disorders in children and adolescents. J. Pediatr. Gastroenterol. Nutr. 2005, 41, 296–304. [Google Scholar] [CrossRef]
- Boronat, A.C.; Ferreira-Maia, A.P.; Matijasevich, A.; Wang, Y.P. Epidemiology of functional gastrointestinal disorders in children and adolescents: A systematic review. World J. Gastroenterol. 2017, 23, 3915–3927. [Google Scholar] [CrossRef] [PubMed]
- Drossman, D.A. Functional gastrointestinal disorders: History, pathophysiology, clinical features and rome iv. Gastroenterology 2016, 150, 1262–1279. [Google Scholar] [CrossRef]
- Peralta-Palmezano, J.J.; Guerrero-Lozano, R. Prevalence of functional gastrointestinal disorders in school children and adolescents. Korean J. Gastroenterol. 2019, 73, 207–212. [Google Scholar] [CrossRef]
- Scarpato, E.; Kolacek, S.; Jojkic-Pavkov, D.; Konjik, V.; Zivkovic, N.; Roman, E.; Kostovski, A.; Zdraveska, N.; Altamimi, E.; Papadopoulou, A.; et al. Prevalence of functional gastrointestinal disorders in children and adolescents in the mediterranean region of europe. Clin. Gastroenterol. Hepatol. 2018, 16, 870–876. [Google Scholar] [CrossRef]
- Engel, G.L. The need for a new medical model: A challenge for biomedicine. Science 1977, 196, 129–136. [Google Scholar] [CrossRef]
- Van Oudenhove, L.; Crowell, M.D.; Drossman, D.A.; Halpert, A.D.; Keefer, L.; Lackner, J.M.; Murphy, T.B.; Naliboff, B.D.; Levy, R.L. Biopsychosocial aspects of functional gastrointestinal disorders. Gastroenterology 2016, 150, 1355–1367. [Google Scholar] [CrossRef] [PubMed]
- Nightingale, S.; Sharma, A. Functional gastrointestinal disorders in children: What is new? J. Paediatr. Child Health 2020, 56, 1724–1730. [Google Scholar] [CrossRef] [PubMed]
- Nino-Murcia, M.; Friedland, G.W. Functional abnormalities of the gastrointestinal tract in patients with spinal cord injuries: Evaluation with imaging procedures. AJR Am. J. Roentgenol. 1992, 158, 279–281. [Google Scholar] [CrossRef] [PubMed]
- Ali, M.K.; Chen, J.D.Z. Roles of heart rate variability in assessing autonomic nervous system in functional gastrointestinal disorders: A systematic review. Diagnostics 2023, 13, 293. [Google Scholar]
- Yacob, D.; Di Lorenzo, C.; Bridge, J.A.; Rosenstein, P.F.; Onorato, M.; Bravender, T.; Campo, J.V. Prevalence of pain-predominant functional gastrointestinal disorders and somatic symptoms in patients with anxiety or depressive disorders. J. Pediatr. 2013, 163, 767–770. [Google Scholar] [CrossRef]
- Walker, L.S.; Garber, J.; Greene, J.W. Somatic complaints in pediatric patients: A prospective study of the role of negative life events, child social and academic competence, and parental somatic symptoms. J. Consult. Clin. Psychol. 1994, 62, 1213–1221. [Google Scholar]
- Seino, S.; Watanabe, S.; Ito, N.; Sasaki, K.; Shoji, K.; Miura, S.; Kozawa, K.; Nakai, K.; Sato, H.; Kanazawa, M.; et al. Enhanced auditory brainstem response and parental bonding style in children with gastrointestinal symptoms. PLoS ONE 2012, 7, e32913. [Google Scholar] [CrossRef]
- Campo, J.V.; Bridge, J.; Lucas, A.; Savorelli, S.; Walker, L.; Di Lorenzo, C.; Iyengar, S.; Brent, D.A. Physical and emotional health of mothers of youth with functional abdominal pain. Arch. Pediatr. Adolesc. Med. 2007, 161, 131–137. [Google Scholar]
- Yılmaz, H.G.; Büyükaslan, A.; Kuşvuran, A.; Turan, Z.; Tuna, F.; Tunc, H.; Özdoğan, S. A new clinical tool for scoliosis risk analysis: Scoliosis tele-screening test. Asian Spine J. 2023, 17, 656–665. [Google Scholar]
- Barone, G.; Giudici, F.; Manzini, F.; Pironti, P.; Viganò, M.; Minoia, L.; Archetti, M.; Zagra, A.; Scaramuzzo, L. Adolescent idiopathic scoliosis surgery: Postoperative functional outcomes at 32 years mean follow-up. Children 2024, 11, 52. [Google Scholar] [CrossRef]
- Sung, S.; Chae, H.-W.; Lee, H.S.; Kim, S.; Kwon, J.-W.; Lee, S.-B.; Moon, S.-H.; Lee, H.-M.; Lee, B.H. Incidence and surgery rate of idiopathic scoliosis: A nationwide database study. Int. J. Environ. Res. Public Health 2021, 18, 8152. [Google Scholar] [PubMed]
- Roggio, F.; Trovato, B.; Sortino, M.; Onesta, M.P.; Petrigna, L.; Musumeci, G. The role of muscle biomarkers in adolescent idiopathic scoliosis. J. Clin. Med. 2023, 12, 7616. [Google Scholar] [PubMed]
- Ciortescu, I.; Nemteanu, R.; Hincu, C.; Gheorghe, L.; Plesa, A. An underrated diagnosis of superior mesenteric artery syndrome: A case report. Diagnostics 2022, 12, 2159. [Google Scholar] [CrossRef]
- Wong, L.H.; Sutton, T.L.; Spurrier, R.G.; Zigman, A.F.; Mayo, S.C. Post-operative superior mesenteric artery syndrome following retroperitoneal sarcoma resection. Clin. Pract. 2021, 11, 2–7. [Google Scholar] [CrossRef]
- Kim, J.Y.; Kim, H.S.; Moon, E.S.; Park, J.O.; Shin, D.E.; Lee, G.K.; Ha, J.W.; Jung, Y.S. Incidence and risk factors associated with superior mesenteric artery syndrome following surgical correction of scoliosis. Asian Spine J. 2008, 2, 27–33. [Google Scholar] [PubMed]
- Louie, P.K.; Basques, B.A.; Bitterman, A.; Shah, S.; Patel, K.; Abramchayev, I.; Lewin, J. Superior mesenteric artery syndrome as a complication of scoliosis surgery. Am. J. Orthop. 2017, 46, E124–E130. [Google Scholar]
- Samuel, E.; Lahiri, S.; Hashmi, S.; Navarro, F. Social media use in adolescents with functional abdominal pain. Front. Pediatr. 2020, 8, 592972. [Google Scholar]
- Richards, D.; Caldwell, P.H.; Go, H. Impact of social media on the health of children and young people. J. Paediatr. Child Health 2015, 51, 1152–1157. [Google Scholar] [CrossRef]
- TAN, Y.M.; Goh, K.L.; Muhidayah, R.; Ooi, C.L.; Salem, O. Prevalence of irritable bowel syndrome in young adult malaysians: A survey among medical students. J. Gastroenterol. Hepatol. 2003, 18, 1412–1416. [Google Scholar]
- Gallas, S.; Knaz, H.; Methnani, J.; Maatallah Kanzali, M.; Koukane, A.; Bedoui, M.H.; Latiri, I. Prevalence and risk factors of functional gastrointestinal disorders in early period medical students: A pilot study in tunisia. Libyan J. Med. 2022, 17, 2082029. [Google Scholar] [CrossRef]


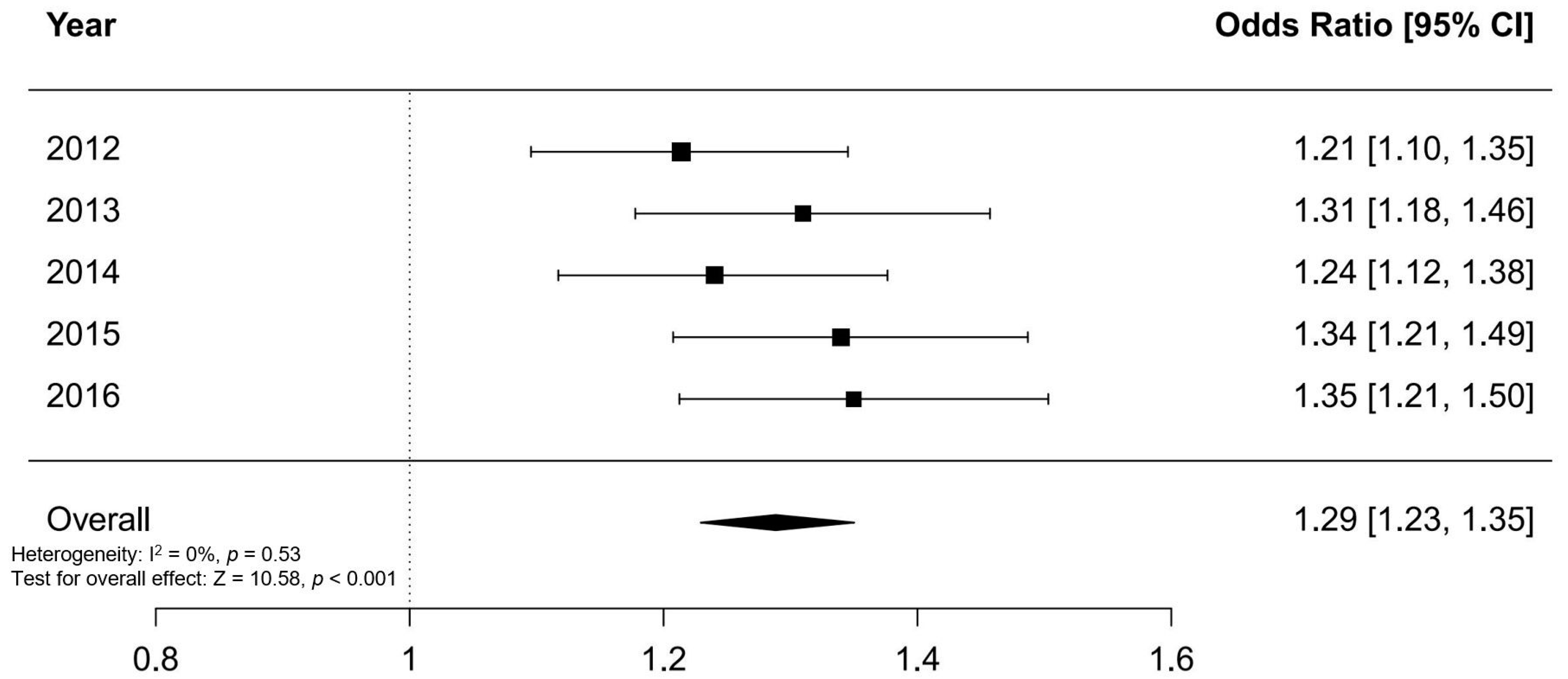
| Year | Prevalence in AIS Group, % (n *) | Prevalence in Control Group, % (n †) | Adjusted Odds Ratio (95% CI) | p Value |
|---|---|---|---|---|
| 2012 | 24.6 (498/2023) | 21.0 (39,190/186,757) | 1.21 (1.10–1.35) | <0.001 |
| 2013 | 24.9 (478/1918) | 20.0 (36,099/180,183) | 1.31 (1.18–1.46) | <0.001 |
| 2014 | 23.0 (460/2004) | 19.1 (33,455/175,626) | 1.24 (1.12–1.38) | <0.001 |
| 2015 | 23.9 (452/1892) | 18.8 (31,655/168,653) | 1.34 (1.21–1.49) | <0.001 |
| 2016 | 23.7 (438/1851) | 18.5 (30,217/163,796) | 1.35 (1.21–1.50) | <0.001 |
| Variables | AIS (n = 1892) | Control (n = 168,653) | Adjusted Odds Ratio (95% CI) | p Value |
|---|---|---|---|---|
| FGIDs, % (n) | ||||
| Without FGID | 76 (1440) | 81 (136,998) | ||
| With FGID | 24 (452) | 19 (31,655) | 1.34 (1.21–1.49) | <0.001 |
| Gender, % (n) | ||||
| Boys | 38 (726) | 51 (86,781) | ||
| Girls | 62 (1166) | 49 (81,872) | 1.69 (1.54–1.85) | <0.001 |
| Age, % (n) | ||||
| 10–12 y | 21 (396) | 29 (49,370) | ||
| 13–15 y | 38 (721) | 29 (48,266) | 1.83 (1.62–2.07) | <0.001 |
| 16–19 y | 41 (775) | 42 (71,017) | 1.33 (1.17–1.50) | <0.001 |
| Insurance type, % (n) | ||||
| National health insurance | 97 (1838) | 96 (162,526) | ||
| Medical aid | 3 (54) | 4 (6127) | 0.75 (0.57–0.99) | 0.040 |
| Residential district, % (n) | ||||
| Metropolitan | 24 (449) | 16 (26,706) | ||
| City | 30 (576) | 25 (41,569) | 0.83 (0.73–0.94) | 0.003 |
| Rural | 46 (867) | 59 (100,375) | 0.52 (0.46–0.58) | <0.001 |
Disclaimer/Publisher’s Note: The statements, opinions and data contained in all publications are solely those of the individual author(s) and contributor(s) and not of MDPI and/or the editor(s). MDPI and/or the editor(s) disclaim responsibility for any injury to people or property resulting from any ideas, methods, instructions or products referred to in the content. |
© 2024 by the authors. Licensee MDPI, Basel, Switzerland. This article is an open access article distributed under the terms and conditions of the Creative Commons Attribution (CC BY) license (https://creativecommons.org/licenses/by/4.0/).
Share and Cite
Lee, S.-B.; Chae, H.-W.; Kwon, J.-W.; Sung, S.; Moon, S.-H.; Suk, K.-S.; Kim, H.-S.; Park, S.-Y.; Lee, B.H. Association of Functional Gastrointestinal Disorders with Adolescent Idiopathic Scoliosis. Children 2024, 11, 118. https://doi.org/10.3390/children11010118
Lee S-B, Chae H-W, Kwon J-W, Sung S, Moon S-H, Suk K-S, Kim H-S, Park S-Y, Lee BH. Association of Functional Gastrointestinal Disorders with Adolescent Idiopathic Scoliosis. Children. 2024; 11(1):118. https://doi.org/10.3390/children11010118
Chicago/Turabian StyleLee, Soo-Bin, Hyun-Wook Chae, Ji-Won Kwon, Sahyun Sung, Seong-Hwan Moon, Kyung-Soo Suk, Hak-Sun Kim, Si-Young Park, and Byung Ho Lee. 2024. "Association of Functional Gastrointestinal Disorders with Adolescent Idiopathic Scoliosis" Children 11, no. 1: 118. https://doi.org/10.3390/children11010118
APA StyleLee, S.-B., Chae, H.-W., Kwon, J.-W., Sung, S., Moon, S.-H., Suk, K.-S., Kim, H.-S., Park, S.-Y., & Lee, B. H. (2024). Association of Functional Gastrointestinal Disorders with Adolescent Idiopathic Scoliosis. Children, 11(1), 118. https://doi.org/10.3390/children11010118

