Ponte Osteotomies in the Surgical Treatment of Adolescent Idiopathic Scoliosis: A Systematic Review of the Literature and Meta-Analysis of Comparative Studies
Abstract
1. Introduction
2. Materials and Methods
2.1. Eligibility Criteria
2.2. Search Strategy
- (adolescent AND idiopathic AND scoliosis) OR (AIS) AND (ponte OR (ponte AND osteotomy) OR (ponte AND osteotomies) OR (multiple AND asymmetric AND ponte AND osteotomies) OR MAPO);
- ((scoliosis AND adolescent) OR AIS)) and (ponte OR (ponte AND osteotomy) OR (ponte AND osteotomies) OR MAPO OR (posterior AND column AND osteotomies) OR (posterior AND column AND osteotomy) OR (PCO)).
2.3. Study Selection
2.4. Data Collection Process
3. Results
3.1. Baseline Studies Characteristics and Quality Assessment
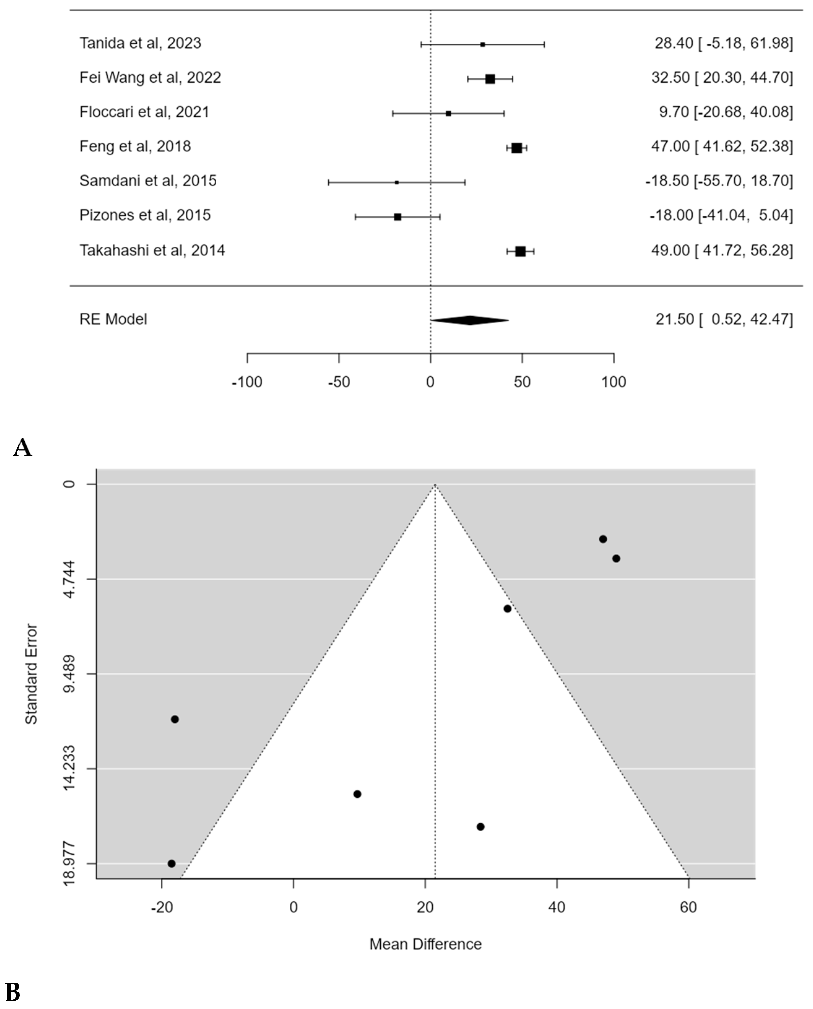
3.2. Thoracic Kyphosis Change
3.3. Coronal Deformity Correction Rate
3.4. Surgical Time and Blood Loss
3.5. Complications
4. Discussion
5. Conclusions
Author Contributions
Funding
Institutional Review Board Statement
Informed Consent Statement
Data Availability Statement
Conflicts of Interest
References
- Guo, X.; Chau, W.-W.; Chan, Y.-L.; Cheng, J.C.-Y. Relative anterior spinal overgrowth in adolescent idiopathic scoliosis. Results of disproportionate endochondral-membranous bone growth. J. Bone Jt. Surg. Br. 2003, 85, 1026–1031. [Google Scholar] [CrossRef] [PubMed]
- Bodendorfer, B.M.; Shah, S.A.; Bastrom, T.P.; Lonner, B.S.; Yaszay, B.; Samdani, A.F.; Miyanji, F.; Cahill, P.J.; Sponseller, P.D.; Betz, R.R.; et al. Restoration of Thoracic Kyphosis in Adolescent Idiopathic Scoliosis Over a Twenty-year Period: Are We Getting Better? Spine 2020, 45, 1625–1633. [Google Scholar] [CrossRef]
- Watanabe, K.; Nakamura, T.; Iwanami, A.; Hosogane, N.; Tsuji, T.; Ishii, K.; Nakamura, M.; Toyama, Y.; Chiba, K.; Matsumoto, M. Vertebral derotation in adolescent idiopathic scoliosis causes hypokyphosis of the thoracic spine. BMC Musculoskelet. Disord. 2012, 13, 99. [Google Scholar] [CrossRef] [PubMed]
- Mladenov, K.V.; Vaeterlein, C.; Stuecker, R. Selective posterior thoracic fusion by means of direct vertebral derotation in adolescent idiopathic scoliosis: Effects on the sagittal alignment. Eur. Spine J. 2011, 20, 1114–1117. [Google Scholar] [CrossRef]
- Di Silvestre, M.; Lolli, F.; Bakaloudis, G.; Maredi, E.; Vommaro, F.; Pastorelli, F. Apical vertebral derotation in the posterior treatment of adolescent idiopathic scoliosis: Myth or reality? Eur. Spine J. 2013, 22, 313–323. [Google Scholar] [CrossRef] [PubMed]
- Kim, Y.J.; Lenke, L.G.; Kim, J.; Bridwell, K.H.; Cho, S.K.; Cheh, G.; Sides, B. Comparative analysis of pedicle screw versus hybrid instrumentation in posterior spinal fusion of adolescent idiopathic scoliosis. Spine 2006, 31, 291–298. [Google Scholar] [CrossRef] [PubMed]
- Lowenstein, J.E.; Matsumoto, H.; Vitale, M.G.; Weidenbaum, M.; Gomez, J.A.; Lee, F.Y.-I.; Hyman, J.E.; Roye, D.P., Jr. Coronal and Sagittal Plane Correction in Adolescent Idiopathic Scoliosis: A comparison between all pedicle screw versus hybrid thoracic hook lumbar screw constructs. Spine 2007, 32, 448–452. [Google Scholar] [CrossRef]
- Bernstein, P.; Hentschel, S.; Platzek, I.; Hühne, S.; Ettrich, U.; Hartmann, A.; Seifert, J. Thoracal flat back is a risk factor for lumbar disc degeneration after scoliosis surgery. Spine J. 2014, 14, 925–932. [Google Scholar] [CrossRef]
- Hwang, S.W.; Samdani, A.F.; Tantorski, M.; Cahill, P.; Nydick, J.; Fine, A.; Betz, R.R.; Antonacci, M.D. Cervical sagittal plane decompensation after surgery for adolescent idiopathic scoliosis: An effect imparted by postoperative thoracic hypokyphosis. J. Neurosurg. Spine 2011, 15, 491–496. [Google Scholar] [CrossRef]
- Demura, S.; Yaszay, B.; Carreau, J.H.; Upasani, V.V.; Bastrom, T.P.; Bartley, C.E.; Newton, P.O. Maintenance of Thoracic Kyphosis in the 3D Correction of Thoracic Adolescent Idiopathic Scoliosis Using Direct Vertebral Derotation. Spine Deform. 2013, 1, 46–50. [Google Scholar] [CrossRef]
- Faldini, C.; Viroli, G.; Barile, F.; Manzetti, M.; Ialuna, M.; Traversari, M.; Vita, F.; Ruffilli, A. One stage correction via the Hi-PoAD technique for the management of severe, stiff, adolescent idiopathic scoliosis curves > 90°. Spine Deform. 2023, 11, 957–967. [Google Scholar] [CrossRef] [PubMed]
- Ponte, A.; Orlando, G.; Siccardi, G.L. The True Ponte Osteotomy: By the One Who Developed It. Spine Deform. 2018, 6, 2–11. [Google Scholar] [CrossRef] [PubMed]
- Moher, D.; Liberati, M.; Tetzlaff, J.; Altman, D.G.; PRISMA Group. Preferred reporting items for systematic reviews and meta-analyses: The PRISMA statement. PLoS Med. 2009, 6, e1000097. [Google Scholar] [CrossRef] [PubMed]
- Sterne, J.A.C.; Hernán, M.A.; Reeves, B.C.; Savović, J.; Berkman, N.D.; Viswanathan, M.; Henry, D.; Altman, D.G.; Ansari, M.T.; Boutron, I.; et al. ROBINS-I: A tool for assessing risk of bias in non-randomised studies of interventions. BMJ 2016, 355, i4919. [Google Scholar] [CrossRef]
- Halanski, M.A.; Cassidy, J.A. Do multilevel Ponte osteotomies in thoracic idiopathic scoliosis surgery improve curve correction and restore thoracic kyphosis? J. Spinal Disord. Tech. 2013, 26, 252–255. [Google Scholar] [CrossRef]
- Harfouch, E.B.; Bunyan, R.F.; Al Faraidy, M.; Alnemari, H.H.; Bashir, S. Ponte osteotomies increase risk of intraoperative neuromonitoring alerts in adolescent idiopathic scoliosis surgery. Surg. Neurol. Int. 2022, 13, 154. [Google Scholar] [CrossRef] [PubMed]
- Wang, F.; Chen, K.; Ji, T.; Ma, Y.; Huang, H.; Zhou, P.; Wei, X.; Chen, Z.; Bai, Y. Do hypokyphotic adolescent idiopathic scoliosis patients treated with Ponte osteotomy obtain a better clinical efficacy? A preliminary retrospective study. J. Orthop. Surg. Res. 2022, 17, 491. [Google Scholar] [CrossRef] [PubMed]
- Floccari, L.V.; Poppino, K.; Greenhill, D.A.; Sucato, D.J. Ponte osteotomies in a matched series of large AIS curves increase surgical risk without improving outcomes. Spine Deform. 2021, 9, 1411–1418. [Google Scholar] [CrossRef]
- Feng, J.; Zhou, J.; Huang, M.; Xia, P.; Liu, W. Clinical and radiological outcomes of the multilevel Ponte osteotomy with posterior selective segmental pedicle screw constructs to treat adolescent thoracic idiopathic scoliosis. J. Orthop. Surg. Res. 2018, 13, 305. [Google Scholar] [CrossRef]
- Samdani, A.F.; Bennett, J.T.; Singla, A.R.; Marks, M.C.; Pahys, J.M.; Lonner, B.S.; Miyanji, F.; Shah, S.A.; Shufflebarger, H.L.; Newton, P.O.; et al. Do Ponte Osteotomies Enhance Correction in Adolescent Idiopathic Scoliosis? An Analysis of 191 Lenke 1A and 1B Curves. Spine Deform. 2015, 3, 483–488. [Google Scholar] [CrossRef]
- Takahashi, J.; Ikegami, S.; Kuraishi, S.; Shimizu, M.; Futatsugi, T.; Kato, H. Skip pedicle screw fixation combined with Ponte osteotomy for adolescent idiopathic scoliosis. Eur. Spine J. 2014, 23, 2689–2695. [Google Scholar] [CrossRef] [PubMed]
- Tanida, S.; Masamoto, K.; Tsukanaka, M.; Futami, T. No short-term clinical improvement and mean 6° of thoracic kyphosis correction using limited-level Ponte osteotomy near T7 for Lenke type 1 and 2 adolescent idiopathic scoliosis: A preliminary study. J. Pediatr. Orthop. B 2023, 32, 537–546. [Google Scholar] [CrossRef] [PubMed]
- Pizones, J.; Sánchez-Mariscal, F.; Zúñiga, L.; Izquierdo, E. Ponte osteotomies to treat major thoracic adolescent idiopathic scoliosis curves allow more effective corrective maneuvers. Eur. Spine J. 2015, 24, 1540–1546. [Google Scholar] [CrossRef]
- Dodwell, E.R.; Pathy, R.; Widmann, R.F.; Green, D.W.; Scher, D.M.; Blanco, J.S.; Doyle, S.M.; Daluiski, A.; Sink, E.L. Reliability of the Modified Clavien-Dindo-Sink Complication Classification System in Pediatric Orthopaedic Surgery. JBJS Open Access 2018, 3, e0020. [Google Scholar] [CrossRef] [PubMed]
- Kuklo, T.R.; Potter, B.K.; Schroeder, T.M.; O’brien, M.F. Comparison of manual and digital measurements in adolescent idiopathic scoliosis. Spine 2006, 31, 1240–1246. [Google Scholar] [CrossRef]
- Mirzashahi, B.; Moosavi, M.; Rostami, M. Outcome of Posterior-Only Approach for Severe Rigid Scoliosis: A Retrospective Report. Int. J. Spine Surg. 2020, 14, 232–238. [Google Scholar] [CrossRef] [PubMed]
- Koerner, J.D.; Patel, A.; Zhao, C.; Schoenberg, C.B.; Mishra, A.; Vives, M.J.; Sabharwal, S. Blood loss during posterior spinal fusion for adolescent idiopathic scoliosis. Spine 2014, 39, 1479–1487. [Google Scholar] [CrossRef]
- Dong, Y.; Tang, N.; Wang, S.; Zhang, J.; Zhao, H. Risk factors for blood transfusion in adolescent patients with scoliosis undergoing scoliosis surgery: A study of 722 cases in a single center. BMC Musculoskelet. Disord. 2021, 22, 13. [Google Scholar] [CrossRef] [PubMed]
- Yoo, J.S.; Ahn, J.; Karmarkar, S.S.; Lamoutte, E.H.; Singh, K. The use of tranexamic acid in spine surgery. Ann. Transl. Med. 2019, 7, S172. [Google Scholar] [CrossRef] [PubMed]
- Iorio, J.; Bennett, J.T.; Orlando, G.; Singla, A.; Dakwar, E.; Bonet, H.; Samdani, A.F. Does Amicar affect blood loss in patients with adolescent idiopathic scoliosis treated with pedicle screws and Ponte osteotomies? Surg. Technol. Int. 2013, 23, 291–295. [Google Scholar]
- Baird, E.O.; McAnany, S.J.; Lu, Y.; Overley, S.C.; Qureshi, S.A. Hemostatic Agents in Spine Surgery: A Critical Analysis Review. JBJS Rev. 2015, 3. [Google Scholar] [CrossRef]
- Lee, C.S.; Hwang, C.-J.; Lee, D.-H.; Cho, J.H.; Park, S. Risk Factors and Exit Strategy of Intraoperative Neurophysiological Monitoring Alert During Deformity Correction for Adolescent Idiopathic Scoliosis. Glob. Spine J. 2023, 21925682231164344. [Google Scholar] [CrossRef] [PubMed]
- Buckland, A.J.; Moon, J.Y.; Betz, R.R.; Lonner, B.S.; Newton, P.O.; Shufflebarger, H.L.; Errico, T.J.; Harms Study Group. Ponte Osteotomies Increase the Risk of Neuromonitoring Alerts in Adolescent Idiopathic Scoliosis Correction Surgery. Spine 2019, 44, E175–E180. [Google Scholar] [CrossRef] [PubMed]
- Feng, B.; Qiu, G.; Shen, J.; Zhang, J.; Tian, Y.; Li, S.; Zhao, H.; Zhao, Y. Impact of multimodal intraoperative monitoring during surgery for spine deformity and potential risk factors for neurological monitoring changes. J. Spinal Disord. Tech. 2012, 25, E108–E114. [Google Scholar] [CrossRef]
- Perdriolle, R.; Le Borgne, P.; Dansereau, J.; de Guise, J.; Labelle, H. Idiopathic scoliosis in three dimensions: A succession of two-dimensional deformities? Spine 2001, 26, 2719–2726. [Google Scholar] [CrossRef] [PubMed]
- Parvaresh, K.C.; Osborn, E.J.; Reighard, F.G.; Doan, J.; Bastrom, T.P.; Newton, P.O. Predicting 3D Thoracic Kyphosis Using Traditional 2D Radiographic Measurements in Adolescent Idiopathic Scoliosis. Spine Deform. 2017, 5, 159–165. [Google Scholar] [CrossRef]
- Monazzam, S.; Newton, P.O.; Bastrom, T.P.; Yaszay, B.; Harms Study Group. Multicenter Comparison of the Factors Important in Restoring Thoracic Kyphosis During Posterior Instrumentation for Adolescent Idiopathic Scoliosis. Spine Deform. 2013, 1, 359–364. [Google Scholar] [CrossRef]








| Author | Study Design | Level of Evidence | Patients N° (M/F) | Inclusion Criteria | Mean Patient Age (Years) | Lenke Types | Mean Risser Sign | Internal Fixation System | Posterior Release | Number of POs |
|---|---|---|---|---|---|---|---|---|---|---|
| Tanida 2023 (P) [22] | Retrospective comparative cohort study | III | 19 (3/16) | AIS patients with Lenke 1 or 2 patterns, who underwent PSF | 15.4 ± 2.8 | I: 6 II: 13 | / | Pedicle screws and rods | T6/7, 7/8, and 8/9 Ponte osteotomies | 3 |
| Tanida 2023 (C) [22] | 18 (4/14) | 15.6 ± 2.2 | I: 7 II: 11 | / | 0 | |||||
| Fei Wang 2022 (P) [17] | Retrospective comparative cohort study | III | 40 (4/36) | AIS patients < 18 years old, main thoracic curve > 40°, thoracic kyphosis (T5–T12) < 10° | 14.50 ± 1.77 | I: 40 (IA: 26, IB: 10, IC: 4) | 3.80 ± 0.8 | Pedicle screws and rods | Peri-apical Ponte osteotomies | 3 |
| Fei Wang 2022 (C) [17] | 40 (2/38) | 15.13 ± 1.57 | I: 40 (IA: 18, IB: 16, IC: 6) | 4.00 ± 0.8 | / | 0 | ||||
| Harfouch 2022 (P) [16] | Retrospective comparative cohort study | III | 40 (8/32) | Consecutive patients affected by AIS and treated with PSF | 16.7 ± 3.4 | I: 14 II: 12 III: 7 IV: 5 V: 0 VI: 2 | / | Pedicle screws and rods | Peri-apical Ponte osteotomies | 4–6 |
| Harfouch 2022 (C) [16] | 40 (6/34) | 16.1 ± 2.6 | I: 15 II: 12 III: 5 IV: 4 V: 0 VI: 4 | / | / | 0 | ||||
| Floccari 2021 (P) [18] | Prospective comparative matched cohort study | III | 34 (8/26) | AIS patients treated with PSF and receiving at least 2 POs, matched with analogous group who underwent PSF without the use of POs | 14.6 ± 2.3 | I: 11 (IA: 6, IB: 5) II: 16 (IIA: 13, IIB: 2, IIC: 1) III: 4 (IIIC: 4) VI: 3 | / | Pedicle screws and rods | Peri-apical Ponte osteotomies | 3.5 (2–9) |
| Floccari 2021 (C) [18] | 34 (8/26) | 14.8 ± 2.0 | I: 11 (IA: 6, IB: 5) II: 16 (IIA: 13, IIB: 2, IIC: 1) III: 4 (IIIC: 4) VI: 3 | / | / | 0 | ||||
| Feng 2018 (P) [19] | Retrospective comparative cohort study | III | 32 (10/22) | AIS patients affected by Lenke 1–4 curves treated with PSF | 15.1 ± 1.9 | Lenke types 1–4, details not mentioned | 3.30 ± 0.90 | Pedicle screws and rods | Multilevel Ponte osteotomies (at each segment of the thoracic curve) | / |
| Feng 2018 (C) [19] | 33 (10/23) | 15.7 ± 1.9 | 3.10 ± 1.0 | Soft tissues release | 0 | |||||
| Samdani,2015 (P) [20] | Retrospective comparative cohort study | III | 125 (27/98) | Prospective consecutive patients affected by Lenke 1A and 1B curves treated with PSF with at least 2 years of follow up | 14.8 ± 2.3 | I: 127 (IA: 91, IB:34) | / | Pedicle screws and rods | Ponte osteotomies | 4.3 ± 1.5 |
| Samdani, 2015 (C) [20] | 66 (10/56) | 14.6 ± 2.1 | I: 56 (IA: 50, IB: 16) | / | Partial facetectomies with removal of inferior articular facets | 0 | ||||
| Pizones 2015 (P) [23] | Historically controlled cohort study | III | 43 (9/34) | Prospective series of patients affected by thoracic AIS who underwent PSF with POs compared with historical series of patients who underwent PSF alone | 14.9 ± 2.1 | I-IV (not mentioned details) | / | Sublaminar wires and hybrid instrumentation | Ponte osteotomies | / |
| Pizones 2015 (C) [23] | 30 (5/25) | 15.2 ± 2.3 | I-IV (not mentioned details) | / | Not mentioned | 0 | ||||
| Takahashi 2014 (P) [21] | Retrospective comparative cohort study | III | 17 (0/17) | Patients affected by AIS who underwent skip pedicle screw fixation with POs compared with patients who underwent skip pedicle screw fixation | 15.6 ± 2.0 | I: 11 II: 3 IV: 1 VI: 2 | / | Skip pedicle screw fixation and rods | Ponte osteotomies | 3.8 ± 1.3 |
| Takahashi 2014 (C) [21] | 21 (0/21) | 14.4 ± 2.5 | I: 15 II: 4 VI: 2 | / | Partial facetectomies with removal of inferior articular facets | 0 | ||||
| Halanski 2013 (P) [15] | Retrospective comparative cohort study | III | 17 (5/12) | Consecutive patients affected by AIS with Lenke I or II curves treated with PSF | 13.2 ± 3.0 | / | / | Pedicle screws and rods | Ponte osteotomies | / |
| Halanski 2013 (C) [15] | 18 (2/16) | 13.7 ± 2.0 | / | / | Partial facetectomies with removal of inferior articular facets | 0 |
| Author | Mean Pre-Operative Major Cobb Angle (°) | Mean Flexibility Index of Major Curve (%) | Mean Post-Operative Major Cobb Angle (°) | Mean Correction Rate (%) | Mean Pre-Operative TK (°) | Mean Post-Operative TK (°) | Mean TK Change (°) | Mean Surgical Time (min) | Mean Intraoperative Blood Loss (mL) | Mean Length of Stay (Days) | Complication Rate (%) |
|---|---|---|---|---|---|---|---|---|---|---|---|
| Tanida 2023 (P) [22] | 59.7 ± 10.3 | 45.5 ± 10.1 | 21.0 ± 6.2 | 64.4 ± 10.2 | 17.3 ± 12.7 | 30.7 ± 6.4 | 13.8 ± 9.6 | 368.2 ± 54.5 | 619.7 ± 288.0 | / | / |
| Tanida 2023 (C) [22] | 53.1 ± 5.8 | 38.7 ± 15.9 | 20.6 ± 5.3 | 61.0 ± 10.3 | 11.6 ± 10.5 | 22.3 ± 4.7 | 7.8 ± 8.0 | 339.8 ± 49.7 | 723.9 ± 285.4 | / | / |
| Fei Wang 2022 (P) [17] | 48.10 ± 3.9 | / | 15.18 ± 2.8 | / | 5.3 ± 3.2 | 24.23 ± 2.7 | 18.93 | 262.0 ± 28.8 | 1103.2 ± 115.1 | / | 2 (5%) (2 infections) |
| Fei Wang 2022 (C) [17] | 50.03 ± 4.9 | / | 20.33 ± 3.8 | / | 6.45 ± 2.9 | 19.93 ± 2.4 | 13.48 | 229.5 ± 26.8 | 979.8 ± 171.7 | / | 1 (2.5%) (1 case of abdominal pain treated with gastrointestinal decompression) |
| Harfouch 2022 (P) [16] | 67.5 ± 19.5 | / | 20.4 ± 12.5 | 71.0 ± 10.9 | 29.0 ± 13.1 | 25.2 ± 6.0 | −3.8 ± 11.6 | / | / | / | 5 (12.5%) (all IONM changes, 2 cases required two-stage surgery with temporary rod) |
| Harfouch 2022 (C) [16] | 68.1 ± 14.9 | / | 25.0 ± 11.1 | 64.2 ± 11.5 | 36.2 ± 14.9 | 17.5 ± 9.4 | −18.6 ± 10.1 | / | / | / | 0 |
| Floccari 2021 (P) [18] | 74.5 ± 15.2 | 39.6 ± 12.7 | 29.1 ± 8.6 | 66.6 ± 14.1 | 28.0 ± 16.0 | 22.6 ± 8.9 | −5.5 ± 14.0 | 296.0 ± 64.0 | 825.0 ± 511.1 | 4.4 ± 1.0 | 11 (32.4%) (of whom 5 were IONM critical changes, 6 reoperations for mechanical failures or infections) |
| Floccari 2021 (C) [18] | 70.8 ± 13.4 | 39.1 ± 10.6 | 21.3 ± 9.5 | 58.7 ± 10.3 | 27.6 ± 14.5 | 24.6 ± 9.7 | −3.0 ± 12.1 | 286.3 ± 63.8 | 861.2 ± 583.4 | 4.6 ± 1.4 | 2 (5.9%) (1 reoperation for mechanical failure, 1 for infection) |
| Feng 2018 (P) [19] | 57.6 ± 10.3 | / | 19.9 ± 1.6 | 63.9 ± 4.5 | N (18): 21.3 ± 6.7 HyperK (3): 45.3 ± 5.5 HypoK (11): 7.3 ± 1.9 | N (18): 28.4 ± 4.6 HyperK (3): 27.0 ± 2.0 HypoK (11): 18.4 ± 3.2 | N (18): 7.1 ± 10.3 HyperK (3): −18.3 ± 2.5 HypoK (11): 11.1 ± 2.9 | 243.0 ± 12.0 | 952.0 ± 124.0 | / | 1 (3.1%) (hemopneumothorax) |
| Feng 2018 (C) [19] | 56.1 ± 8.9 | / | 19.6 ± 2.9 | 65.2 ± 2.4 | N (19): 23.7 ± 5.5 HyperK (4): 43.0 ± 1.4 HypoK (11): 8.0 ± 1.4 | N (19): 24.4 ± 6.2 HyperK (4): 30.5 ± 1.3 HypoK (11): 11.5 ± 2.4 | N (19): 0.7 ± 4.6 HyperK (4): −12.5 ± 1.3 HypoK (11): 3.5 ± 2.2 | 196.0 ± 10.0 | 772.0 ± 65.0 | / | 2 (6.1%) (surgical site infections) |
| Samdani,2015 (P) [20] | 51.5 ± 8.6 | 47.3 ± 22.1 | 16.8 ± 6.3 | 67.1 ± 11.8 | 18.7 ± 13.0 | 21.8 ± 7.9 | 3.0 ± 11.6 | 277.4 ± 98.9 | 970.1 ± 566.5 | 5.3 ± 1.2 | / |
| Samdani, 2015 (C) [20] | 50.8 ± 8.1 | 54.5 ± 22.8 | 19.4 ± 7.0 | 61.8 ± 12.6 | 23.2 ± 12.3 | 22.8 ± 9.4 | −0.4 ± 9.9 | 295.9 ± 136.4 | 778.9 ± 726.1 | 5.3 ± 1.2 | / |
| Pizones 2015 (P) [23] | 60.0 ± 9.9 | / | 17.4 ± 7.5 | / | All cohort (43): 23.7 ± 13.7 N (27): 26 ± 6.1 HyperK (4): 52.2 ± 5.6 HypoK (12): 6.4 ± 2 | All cohort: 22.0 ± 6.4 N (27): 25.9 ± 6 HyperK (4): 30.5 ± 8.5 HypoK (12): 21.3 ± 5.8 | All cohort: −1.4 ± 12.5 N (27): 0.1 ± 6.9 HyperK (4): −21.7 ± 9.1 HypoK (12): 15.5 ± 7.5 | 258.0 ± 42.0 | / | 14 | / |
| Pizones 2015 (C) [23] | 60.4 ± 10.0 | / | 26.5 ± 8.0 | / | All cohort (30): 23.5 ± 11.8 N (20): 24.2 ± 7.9 HyperK (3): 46 ± 3.4 HypoK (7): 9.8 ± 0.3 | All cohort: 24.9 ± 9.9 N (20): 27.9 ± 7.5 HyperK (3): 38.5 ± 9.1 HypoK (7): 15 ± 7 | All cohort: 1.0 ± 6.1 N (20): 3.4 ± 7.2 HyperK (3): −6.5 ± 5 HypoK (7): 5.6 ± 7.9 | 276.0 ± 54.0 | / | 6.7 | / |
| Takahashi 2014 (P) [21] | 52.5 ± 10.4 | 31.7 ± 13.2 | 18.4 ± 1.6 | 62.0 ± 2.5 | 11.3 ± 11.2 | 21.8 ± 1.7 | 10.5 ± 2.4 | 236.0 ± 13.0 | 1141.0 ± 150.0 | / | / |
| Takahashi 2014 (C) [21] | 51.5 ± 9.2 | 45.1 ± 12.3 | 17.8 ± 1.0 | 63.6 ± 2.5 | 13.0 ± 9.0 | 24.2 ± 1.9 | 11.2 ± 1.9 | 187.0 ± 9.0 | 745.0 ± 120.0 | / | / |
| Halanski 2013 (P) [15] | 59.0 ± 10.0 | 33.0 ± 19.0 | 9.0 ± 6.0 | 84.0 ± 9.0 | 20.0 ± 15.0 | 28.0 ± 8.0 | 8.0 ± 11.0 | / | / | / | 1 (5.9%) (pneumothorax) |
| Halanski 2013 (C) [15] | 52.0 ± 8.0 | 41.0 ± 16.0 | 9.0 ± 4.0 | 83.0 ± 6.0 | 24.0 ± 12.0 | 25.0 ± 7.0 | 1.0 ± 10.0 | / | / | / | 1 (5.6%) (mispositioned screw that was removed) |
| Author | Clavien–Dindo–Sink Grade I n (%) (Type) | Clavien–Dindo–Sink Grade II n (%) (Type) | Clavien–Dindo–Sink Grade III n (%) (Type) | Clavien–Dindo–Sink Grade I n (%) (Type) | Clavien–Dindo–Sink Grade IVb n (%) (Type) | Overall Complications n (%) |
|---|---|---|---|---|---|---|
| Fei Wang 2022 (P) [17] | 2 (5%) (2 deep infections treated with surgical debridement and antibiotics) | 2 | ||||
| Fei Wang 2022 (C) [17] | 1 (2.5%) (1 case of abdominal pain treated with gastrointestinal decompression) | 1 (2.5%) | ||||
| Harfouch 2022 (P) [16] | 3 (7.5%) (3 transient IONM changes that did not require staged surgery) | 2 (5%) (2 IONM changes that required two-stage surgery with temporary rod) | 5 (12.5%) | |||
| Harfouch 2022 (C) [16] | 0 | |||||
| Floccari 2021 (P) [18] | 4 (11.8%) (4 transient IONM changes that did not require staged surgery) | 7 (20.6%) (1 IONM change that required two-stage surgery with temporary rod, 2 revisions for prominent implants, 1 revision for implant failure, 3 surgical debridements for surgical site infections) | 11 (32.4%) | |||
| Floccari 2021 (C) [18] | 2 (5.9) (1 reoperation for mechanical failure, 1 for infection) | 2 (5.9%) | ||||
| Feng 2018 (P) [19] | 1 (3.1%) (1 hemopneumothorax treated with symptomatic and supportive treatments) | 1 (3.1%) | ||||
| Feng 2018 (C) [19] | 2 (6.1%) (2 superficial surgical site infections treated with symptomatic and supportive treatments) | 2 (6.1%) | ||||
| Halanski 2013 (P) [15] | 1 (5.9%) (pneumothorax) | 1 (5.9%) | ||||
| Halanski 2013 (C) [15] | 1 (5.6%) (malpositioned screw that was removed) | 1 (5.6%) |
Disclaimer/Publisher’s Note: The statements, opinions and data contained in all publications are solely those of the individual author(s) and contributor(s) and not of MDPI and/or the editor(s). MDPI and/or the editor(s) disclaim responsibility for any injury to people or property resulting from any ideas, methods, instructions or products referred to in the content. |
© 2024 by the authors. Licensee MDPI, Basel, Switzerland. This article is an open access article distributed under the terms and conditions of the Creative Commons Attribution (CC BY) license (https://creativecommons.org/licenses/by/4.0/).
Share and Cite
Faldini, C.; Viroli, G.; Traversari, M.; Manzetti, M.; Ialuna, M.; Sartini, F.; Cargeli, A.; Parisi, S.C.; Ruffilli, A. Ponte Osteotomies in the Surgical Treatment of Adolescent Idiopathic Scoliosis: A Systematic Review of the Literature and Meta-Analysis of Comparative Studies. Children 2024, 11, 92. https://doi.org/10.3390/children11010092
Faldini C, Viroli G, Traversari M, Manzetti M, Ialuna M, Sartini F, Cargeli A, Parisi SC, Ruffilli A. Ponte Osteotomies in the Surgical Treatment of Adolescent Idiopathic Scoliosis: A Systematic Review of the Literature and Meta-Analysis of Comparative Studies. Children. 2024; 11(1):92. https://doi.org/10.3390/children11010092
Chicago/Turabian StyleFaldini, Cesare, Giovanni Viroli, Matteo Traversari, Marco Manzetti, Marco Ialuna, Francesco Sartini, Alessandro Cargeli, Stefania Claudia Parisi, and Alberto Ruffilli. 2024. "Ponte Osteotomies in the Surgical Treatment of Adolescent Idiopathic Scoliosis: A Systematic Review of the Literature and Meta-Analysis of Comparative Studies" Children 11, no. 1: 92. https://doi.org/10.3390/children11010092
APA StyleFaldini, C., Viroli, G., Traversari, M., Manzetti, M., Ialuna, M., Sartini, F., Cargeli, A., Parisi, S. C., & Ruffilli, A. (2024). Ponte Osteotomies in the Surgical Treatment of Adolescent Idiopathic Scoliosis: A Systematic Review of the Literature and Meta-Analysis of Comparative Studies. Children, 11(1), 92. https://doi.org/10.3390/children11010092

