The Impact of Family Functioning Factors on Smartphone Addiction and Phubbing among Muslim Adolescents in Thailand
Abstract
1. Introduction
1.1. Impacts of Smartphone Addiction
1.2. Impacts of Phubbing
1.3. Smartphone Use in Thailand
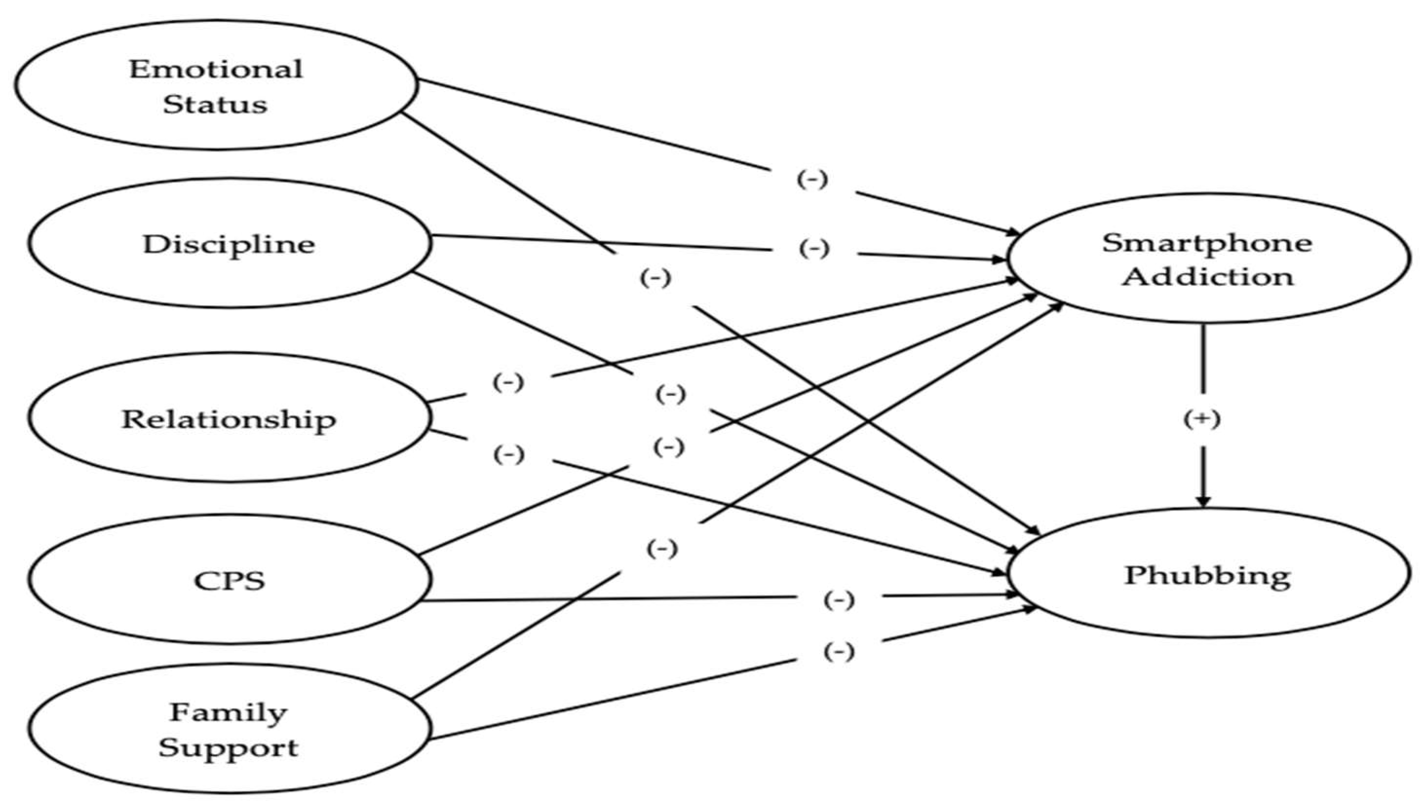
1.4. Current Study and Proposed Relationship Model
2. Materials and Methods
2.1. Research Design and Participants
2.2. Statistical Analysis
2.3. Research Instruments
2.3.1. Family State and Functioning Assessment Scale in Thai (FSFAS-25)
2.3.2. Thai Version of Smartphone Addiction Scale–Short Version (THAI-SAS-SV)
2.3.3. Phubbing
2.4. Data Collection
3. Results
3.1. Descriptive Statistics and Correlation Analysis
3.2. Verification of the Relationship Model in the Study
3.3. Path Coefficients of the Final Relationship Model in this Study
3.4. Mediating Roles of SA
4. Discussion
Limitations of This Study and Future Research
5. Conclusions
Author Contributions
Funding
Institutional Review Board Statement
Informed Consent Statement
Data Availability Statement
Conflicts of Interest
References
- Kaur, S.; Bhatt, M.; Upadhyay, C.; Gurung, C.; Rai, C.; Varghese, C.S. A cross-sectional study to assess the addiction of smartphone by students attending higher secondary school of urban community, Lucknow. Int. J. Sci. Res. (IJSR) 2019, 9. [Google Scholar]
- Goswamee, G.; Banerjee, P. A study on smartphone usage among the adolescents and its influence on the academic performance. Psychol. Educ. J. 2021, 58. Available online: http://psychologyandeducation.net/pae/index.php/pae/article/view/5440/4692 (accessed on 10 February 2024).
- Venkatesan, M.P.; Kamala, K.; Kamala. A study on smartphone addiction among school children. Ann. Rom. Soc. Cell Biol. 2021, 19897–19902. Available online: https://www.annalsofrscb.ro/index.php/journal/article/view/8788 (accessed on 10 February 2024).
- Pera, A. The psychology of addictive smartphone behavior in young adults: Problematic use, social anxiety, and depressive stress. Front. Psychiatry 2020, 11, 573473. [Google Scholar] [CrossRef] [PubMed]
- Panova, T.; Carbonell, X. Is smartphone addiction really an addiction? J. Behav. Addict. 2018, 7, 252–259. [Google Scholar] [CrossRef] [PubMed]
- Busch, P.A.; McCarthy, S. Antecedents and consequences of problematic smartphone use: A systematic literature review of an emerging research area. Comput. Hum. Behav. 2021, 114, 106414. [Google Scholar] [CrossRef]
- Notara, V.; Vagka, E.; Gnardellis, C.; Lagiou, A. The emerging phenomenon of nomophobia in young adults: A systematic review study. Addict Health 2021, 13, 120–136. [Google Scholar] [CrossRef]
- American Psychiatric Association. Diagnostic and Statistical Manual of Mental Disorders, 4th ed.; American Psychiatric Association: Washington, DC, USA, 2000. [Google Scholar]
- Karadağ, E.; Tosuntaş, S.B.; Erzen, E.; Duru, P.; Bostan, N.; Mızrak, Ş.B.; Babadağ, B. The virtual world’s current addiction: Phubbing. Addicta Turk. J. Addict. 2016, 3, 250–269. [Google Scholar] [CrossRef]
- Indrasvari, M.; Harahap, R.; Harahap, D. Analysis of the impact of smartphone use on adolescent social interactions during COVID-19. J. Penelit. Pendidik. IPA 2021, 7, 167–172. [Google Scholar] [CrossRef]
- Steinberg, L. Cognitive and affective development in adolescence. Trends Cogn. Sci. 2005, 9, 69–74. [Google Scholar] [CrossRef]
- Somerville, L.H.; Casey, B.J. Developmental neurobiology of cognitive control and motivational systems. Curr. Opin. Neurobiol. 2010, 20, 236–241. [Google Scholar] [CrossRef] [PubMed]
- Twenge, J.M.; Campbell, W.K. Associations between screen time and lower psychological well-being among children and adolescents: Evidence from a population-based study. Prev. Med. Rep. 2018, 12, 271–283. [Google Scholar] [CrossRef] [PubMed]
- Shahjehan, A.; Shah, S.I.; Qureshi, J.A.; Wajid, A. A meta-analysis of smartphone addiction and behavioral outcomes. Int. J. Manag. Stud. 2021, 28, 103–125. [Google Scholar] [CrossRef]
- Malinauskas, R.; Malinauskiene, V. A meta-analysis of psychological intervention for internet/smartphone addiction among adolescents. J. Behav. Addict. 2019, 9, 613–624. [Google Scholar] [CrossRef] [PubMed]
- Wacks, Y.; Weinstein, A.M. Excessive smartphone use is associated with health problems in adolescents and young adults. Front. Psychiatry 2021, 28, 669042. [Google Scholar] [CrossRef] [PubMed] [PubMed Central]
- Alshobaili, F.A.; AlYousefi, N.A. The effect of smartphone usage at bedtime on sleep quality among Saudi non-medical staff at King Saud University Medical City. J. Fam. Med. Prim. Care 2019, 8, 1953–1957. [Google Scholar] [CrossRef] [PubMed] [PubMed Central]
- Pantic, I. Online social networking and mental health. Cyberpsychol. Behav. Soc. Netw. 2014, 17, 652–657. [Google Scholar] [CrossRef] [PubMed]
- Seabrook, E.M.; Kern, M.L.; Richard, N. Social networking sites, depression, and anxiety: A systematic review. JMIR Ment. Health 2016, 3, e50. [Google Scholar] [CrossRef] [PubMed]
- Harwood, J.; Dooley, J.J.; Scott, A.J.; Joiner, R. Constantly connected–The effects of smart-devices on mental health. Comput. Hum. Behav. 2014, 34, 267–272. [Google Scholar] [CrossRef]
- Hartanto, A.; Yang, H. Is the smartphone a smart choice? The effect of smartphone separation on executive functions. Comput. Hum. Behav. 2016, 64, 329–336. [Google Scholar] [CrossRef]
- Yang, Z.; Asbury, Y.; Griffiths, M.D. An exploration of problematic smartphone use among Chinese university students: Associations with academic anxiety, academic procrastination, self-regulation and subjective wellbeing. Int. J. Ment. Health Addict. 2018, 17, 596–614. [Google Scholar] [CrossRef]
- Wu, R.; Guo, L.; Rong, H.; Shi, J.; Li, W.; Zhu, M.; He, Y.; Wang, W.; Lu, C. The role of problematic smartphone uses and psychological distress in the relationship between sleep quality and disordered eating behaviors among Chinese college students. Front. Psychiatry 2021, 12, 793506. [Google Scholar] [CrossRef]
- Sahin, Y.L. Comparison of users’ adoption and use cases of Facebook and their academic procrastination. Digital. Educ. Rev. 2014, 25, 127–138. Available online: https://revistes.ub.edu/index.php/der/article/view/11332 (accessed on 10 February 2024).
- Kim, Y.; Richards, J.S.; Oldehinkel, A.J. Self-control, mental health problems, and family functioning in adolescence and young adulthood: Between-person differences and within-person effects. J. Youth Adolesc. 2022, 51, 1181–1195. [Google Scholar] [CrossRef]
- Lopez-Fernandez, O.; Männikkö, N.; Kääriäinen, M.; Griffiths, M.D.; Kuss, D.J. Mobile gaming and problematic smartphone use: A comparative study between Belgium and Finland. J. Behav. Addict. 2018, 7, 88–99. [Google Scholar] [CrossRef] [PubMed] [PubMed Central]
- Karadağ, E.; Tosuntaş, Ş.B.; Erzen, E.; Duru, P.; Bostan, N.; Şahin, B.M.; Çulha, İ.; Babadağ, B. Determinants of phubbing, which is the sum of many virtual addictions: A structural equation model. J. Behav. Addict. 2015, 4, 60–74. [Google Scholar] [CrossRef] [PubMed] [PubMed Central]
- David, M.E.; Roberts, J.A. Developing and testing a scale designed to measure perceived phubbing. Int. J. Environ. Res. Public Health 2020, 17, 8152. [Google Scholar] [CrossRef] [PubMed]
- Chotpitayasunondh, V.; Douglas, K.M. How “phubbing” becomes the norm: The antecedents and consequences of snubbing via smartphone. Comput. Hum. Behav. 2016, 63, 9–18. [Google Scholar] [CrossRef]
- Capilla, G.E.; Issa, T.; Gutiérrez, E.P.; Cubo, D.S. A descriptive literature review of phubbing behaviors. Heliyon 2021, 7, e07037. [Google Scholar] [CrossRef] [PubMed] [PubMed Central]
- Dwyer, R.J.; Kushlev, K.; Dunn, E.W. Smartphone use undermines enjoyment of face-to-face social interactions. J. Exp. Soc. Psychol. 2018, 78, 233–239. [Google Scholar] [CrossRef]
- Misra, S.; Cheng, L.; Genevie, J.; Yuan, M. The iPhone effect the quality of in-person social interactions in the presence of mobile devices. Environ. Behav. 2014, 48, 275–298. [Google Scholar] [CrossRef]
- Przybylski, A.K.; Weinstein, N. Can you connect with me now? how the presence of mobile communication technology influences face-to-face conversation quality. J. Soc. Pers. Relatsh. 2013, 30, 237–246. [Google Scholar] [CrossRef]
- Cameron, A.F.; Webster, J. Relational outcomes of multicommunicating: Integrating incivility and social exchange perspectives. Organ. Sci. 2011, 22, 754–771. [Google Scholar] [CrossRef]
- Roberts, J.A.; David, M.E. My life has become a major distraction from my cell phone: Partner phubbing and relationship satisfaction among romantic partners. Comput. Hum. Behav. 2016, 54, 134–141. [Google Scholar] [CrossRef]
- Harfield, A.; Nang, H.; Nakrang, J.; Viriyapong, R. A survey of technology usage by primary and secondary school children in Thailand. Elev. Int. Conf. Elearning Knowl.-Based Soc. 2014, 11–13. Available online: http://mobcomlab.s3.amazonaws.com/uploads/elearning2014-harfield.pdf (accessed on 23 February 2024).
- Chinwong, D.; Sukwuttichai, P.; Saenjum, C.; Klinjun, N.; Chinwong, S. Smartphone use and addiction among pharmarcy students in Northern Thailand: A cross-sectional study. Healthcare 2023, 11, 1264. [Google Scholar] [CrossRef]
- D’souza, J.; Sharma, S. Smartphone addiction in relation to academic performance of students in Thailand. J. Community Dev. Res. (Humanit. Soc. Sci.) 2020, 13, 31–41. Available online: https://www.journal.nu.ac.th/JCDR/article/view/Vol-13-No-2-2020-31-41/1678 (accessed on 23 February 2024).
- Tangmunkongvorakul, A.; Musumari, P.M.; Thongpibul, K.; Srithanaviboonchai, K.; Techasrivichien, T.; Suguimoto, S.P.; Ono-Kihara, M.; Kihara, M. Association of excessive smartphone use with psychological well-being among university students in Chiang Mai, Thailand. PLoS ONE 2019, 14, e0210294. [Google Scholar] [CrossRef] [PubMed]
- Deepsouthwatch. 2024. Available online: https://deepsouthwatch.org/th/node/12816 (accessed on 20 February 2024).
- Bowen, M. Family Therapy in Clinical Practice; Jason Aronson: New York, NY, USA; London, UK, 1978. [Google Scholar]
- Kerr, M.E.; Bowen, M. Family Evaluation; W. W. Norton: New York, NY, USA, 1988. [Google Scholar]
- Bowen, M. The use of family theory in clinical practice. Compr. Psychiatry 1966, 7, 345–374. [Google Scholar] [CrossRef]
- Epstein, N.B.; Bishop, D.S.; Baldwin, L.M. McMaster model of family functioning: A view of the normal family. In Normal Family Processes; Walsh, F., Ed.; Guilford Press: New York, NY, USA, 1982; pp. 115–141. [Google Scholar]
- Miller, I.W.; Ryan, C.E.; Keitner, G.I.; Bishop, D.S.; Epstein, N.B. The McMaster approach to families: Theory, assessment, treatment and research. J. Fam. Ther. 2000, 22, 168–189. [Google Scholar] [CrossRef]
- Supphapitiphon, S.; Buathong, N.; Suppapitiporn, S. Reliability and validity of the family state and functioning assessment scale. Chula Med. J. 2019, 63, 103–109. [Google Scholar] [CrossRef]
- Barbara, M. Structural Equation Modeling with AMOS, EQS, and LISREL: Comparative Approaches to Testing for the Factorial Validity of a Measuring Instrument. Int. J. Test. 2001, 1, 55–86. [Google Scholar] [CrossRef]
- Kim, J.H.; Kim, M.K.; Hong, S.H. Writing Papers with Structural Equation Model; Communication Books: Seoul, Republic of Korea, 2009. [Google Scholar]
- Hanphitakphong, P.; Thawinchai, N. Validation of Thai addiction scale-short version for school students between 10 to 18 years. J. Assoc. Med. Sci. 2020, 53, 34–42. Available online: https://he01.tcithaijo.org/index.php/bulletinAMS/article/view/235102 (accessed on 10 February 2024).
- Kwon, M.; Kim, D.J.; Cho, H.; Yang, S. The smartphone addiction scale: Development and validation of a short version for adolescents. PLoS ONE 2013, 8, e83558. [Google Scholar] [CrossRef] [PubMed]
- Błachnio, A.; Przepiórka, A.; Gorbaniuk, O.; Bendayan, R.; McNeill, M.; Angeluci, A.; Abreu, A.M.; Ben-Ezra, M.; Benvenuti, M.; Blanca, M.J.; et al. Measurement invariance of the Phubbing Scale across 20 countries. Int. J. Psychol. 2021, 56, 885–894. [Google Scholar] [CrossRef] [PubMed]
- Sutrisna, I.P.B.; Ardjana, I.G.A.; Supriyadi, S.; Setyawati, L. Good family function decrease internet addiction and increase academic performance in senior high school students. J. Clin. Cult. Psychiatry 2020, 1, 28–31. [Google Scholar] [CrossRef]
- Davey, S.; Davey, A. Assessment of smartphone addiction in Indian adolescents. A mixed method study by systematic review and meta analysis approach. Int. J. Prev. Med. 2014, 5, 1500–1511. [Google Scholar] [PubMed] [PubMed Central]
- Long, L.; Liu, T.-Q.; Liao, Y.-H.; Qi, C.; He, H.-Y.; Chen, S.-B.; Billieux, J. Prevalence and corelates of problematic smartphone use in a large random sample of Chinese undergraduates. BMC Psychiatry 2016, 16, 408. [Google Scholar] [CrossRef]
- Fatkuriyah, L.; Sun-Mi, C. The relationship among parenting style, self-regulation, and smartphone addiction proneness in Indonesian junior high school students. Indones. J. Nurs. Pract. 2021, 5, 1. [Google Scholar] [CrossRef]
- Lee, C.; Lee, S.-H. Prevalence and predictors of smartphone addiction proneness among Korean adolescents. Child. Youth Serv. Rev. 2017, 77, 10–17. [Google Scholar] [CrossRef]
- Buctot, D.B.; Kim, N.; Kim, J.J. Factors associated with smartphone addiction prevalence and its predictive capacity for health-related quality of life among Filipino adolescents. Child. Youth Serv. Rev. 2020, 100, 104758. [Google Scholar] [CrossRef]
- Gil, S.-Y.; Kim, M.-S.; Park, K.-W.; Lee, H.-J.; Park, W.-J.; Oh, M.-K. Associations between family function and smartphone addiction proneness in middle school student. Korean Acad. Fam. Med. 2020, 10, 103–109. [Google Scholar] [CrossRef]
- Shi, X.; Wang, J.; Zou, H. Family functioning and internet addiction among Chinese adolescents: The mediating roles of self-esteem and loneliness. Comput. Hum. Behav. 2017, 76, 201–210. [Google Scholar] [CrossRef]
- Mangialavori, S.; Russo, C.; Jimeno, M.V.; Ricarte, J.J.; D’Urso, G.; Barni, D.; Cacioppo, M. Insecure attachment styles and unbalanced family functioning as risk factors of problematic smartphone use in Spanish young adults: A relative weight analysis. Eur. J. Investig. Health Psychol. Educ. 2021, 11, 1011–1021. [Google Scholar] [CrossRef] [PubMed]
- Niu, G.; Yao, L.; Wu, L.; Tian, Y.; Xu, L.; Sun, X. Parental phubbing and adolescent problematic mobile phone use: The role of parent-child relationship and self-control. Child. Youth Serv. Rev. 2020, 116, 105247. [Google Scholar] [CrossRef]
- Castaño-Pulgarín, S.A.; Otero, K.L.M.; Herrera-López, H.M. Risks on the internet: The role of family support in Colombian adolescents. Electron. J. Res. Educ. Psychol. 2021, 19, 145–164. [Google Scholar] [CrossRef]
- Iqbal, A.; Firdous, R.; Hussain, T. Social media and family integration: Perception of college students of Faisalabad. Glob. Reg. Rev. 2021, 6, 12–19. [Google Scholar] [CrossRef]
- Kim, E.; Cho, I.; Kim, E.J. Structural equation model of smartphone addiction based on adult attachment theory: Mediating effects of loneliness and depression. Asian Nurs. Res. 2014, 11, 92–97. [Google Scholar] [CrossRef]
- Bronfenbrenner, U. The Ecology of Human Development: Experiments by Nature and Design; Harvard University Press: Cambridge, MA, USA, 1979. [Google Scholar]
- Jahng, K.E. Maternal abusive parenting and young South Korean adolescents’problematic smartphone use: The moderating effects of time spent hangingout with peers and trusting peer relationship. Child. Youth Serv. Rev. 2019, 98, 96–104. [Google Scholar] [CrossRef]





| Variables | 1 | 2 | 3 | 4 | 5 | 6 | 7 |
|---|---|---|---|---|---|---|---|
| 1. Discipline | - | 0.59 ** | 0.03 | 0.10 ** | 0.38 ** | −0.09 * | −0.08 * |
| 2. CPS | - | 0.16 ** | 0.17 ** | 0.48 ** | 0.01 | −0.07 | |
| 3. Relationship | - | 0.40 ** | 0.17 ** | −0.03 | −0.10 ** | ||
| 4. Emotional status | - | 0.20 ** | −0.21 ** | −0.20 ** | |||
| 5. Family support | - | 0.02 | −0.06 | ||||
| 6. Smartphone addiction | - | 0.38 ** | |||||
| 7. Phubbing | - | ||||||
| Mean | 18.69 | 17.18 | 12.69 | 10.50 | 5.82 | 36.82 | 22.05 |
| Standard deviation | 4.72 | 3.69 | 2.79 | 2.74 | 1.52 | 8.41 | 6.43 |
| Skewness | −0.09 | −0.22 | −0.64 | −0.12 | −0.34 | −0.18 | 0.01 |
| Kurtosis | −0.09 | −0.38 | −0.33 | −0.52 | −0.60 | −0.27 | 0.05 |
| Cronbach’s α | 8.2 | 0.74 | 0.71 | 65 | 0.63 | 0.78 | 0.78 |
| Indirect Effect Paths | Estimate | p | 95% Bias-Corrected CI | |
|---|---|---|---|---|
| Lower | Upper | |||
| Discipline ⟶ SA ⟶ Phubbing | −0.26 | 0.004 | −0.595 | −0.045 |
| Relationship ⟶ SA ⟶ Phubbing | 0.17 | 0.064 | −0.005 | 0.585 |
| Emotional Status ⟶ SA ⟶ Phubbing | −0.48 | 0.003 | −0.070 | 0.003 |
Disclaimer/Publisher’s Note: The statements, opinions and data contained in all publications are solely those of the individual author(s) and contributor(s) and not of MDPI and/or the editor(s). MDPI and/or the editor(s) disclaim responsibility for any injury to people or property resulting from any ideas, methods, instructions or products referred to in the content. |
© 2024 by the authors. Licensee MDPI, Basel, Switzerland. This article is an open access article distributed under the terms and conditions of the Creative Commons Attribution (CC BY) license (https://creativecommons.org/licenses/by/4.0/).
Share and Cite
Kim, Y.; Dhammasaccakarn, W.; Laeheem, K.; Rinthaisong, I. The Impact of Family Functioning Factors on Smartphone Addiction and Phubbing among Muslim Adolescents in Thailand. Children 2024, 11, 522. https://doi.org/10.3390/children11050522
Kim Y, Dhammasaccakarn W, Laeheem K, Rinthaisong I. The Impact of Family Functioning Factors on Smartphone Addiction and Phubbing among Muslim Adolescents in Thailand. Children. 2024; 11(5):522. https://doi.org/10.3390/children11050522
Chicago/Turabian StyleKim, Yejin, Wanchai Dhammasaccakarn, Kasetchai Laeheem, and Idsaratt Rinthaisong. 2024. "The Impact of Family Functioning Factors on Smartphone Addiction and Phubbing among Muslim Adolescents in Thailand" Children 11, no. 5: 522. https://doi.org/10.3390/children11050522
APA StyleKim, Y., Dhammasaccakarn, W., Laeheem, K., & Rinthaisong, I. (2024). The Impact of Family Functioning Factors on Smartphone Addiction and Phubbing among Muslim Adolescents in Thailand. Children, 11(5), 522. https://doi.org/10.3390/children11050522
